Submitted:
28 July 2025
Posted:
29 July 2025
Read the latest preprint version here
Abstract
Keywords:
1. Introduction
2. Materials and Methods
2.1. Underwater Glider Data
2.2. Satellite Altimeter Data
2.3. Typhoon Information
2.4. Mesoscale Eddy Identification Method
2.5. Numerical Model Configuration
3. Results and Discussion
3.1. Evolution analysis of the AE in the Northern SCS Based on Satellite Altimeter Data
3.2. Vertical Thermohaline analysis of Mesoscale Eddy Based on Underwater Glider Observations

3.3. Vertical Structural Changes of the Mesoscale Eddy Under Typhoon Influence
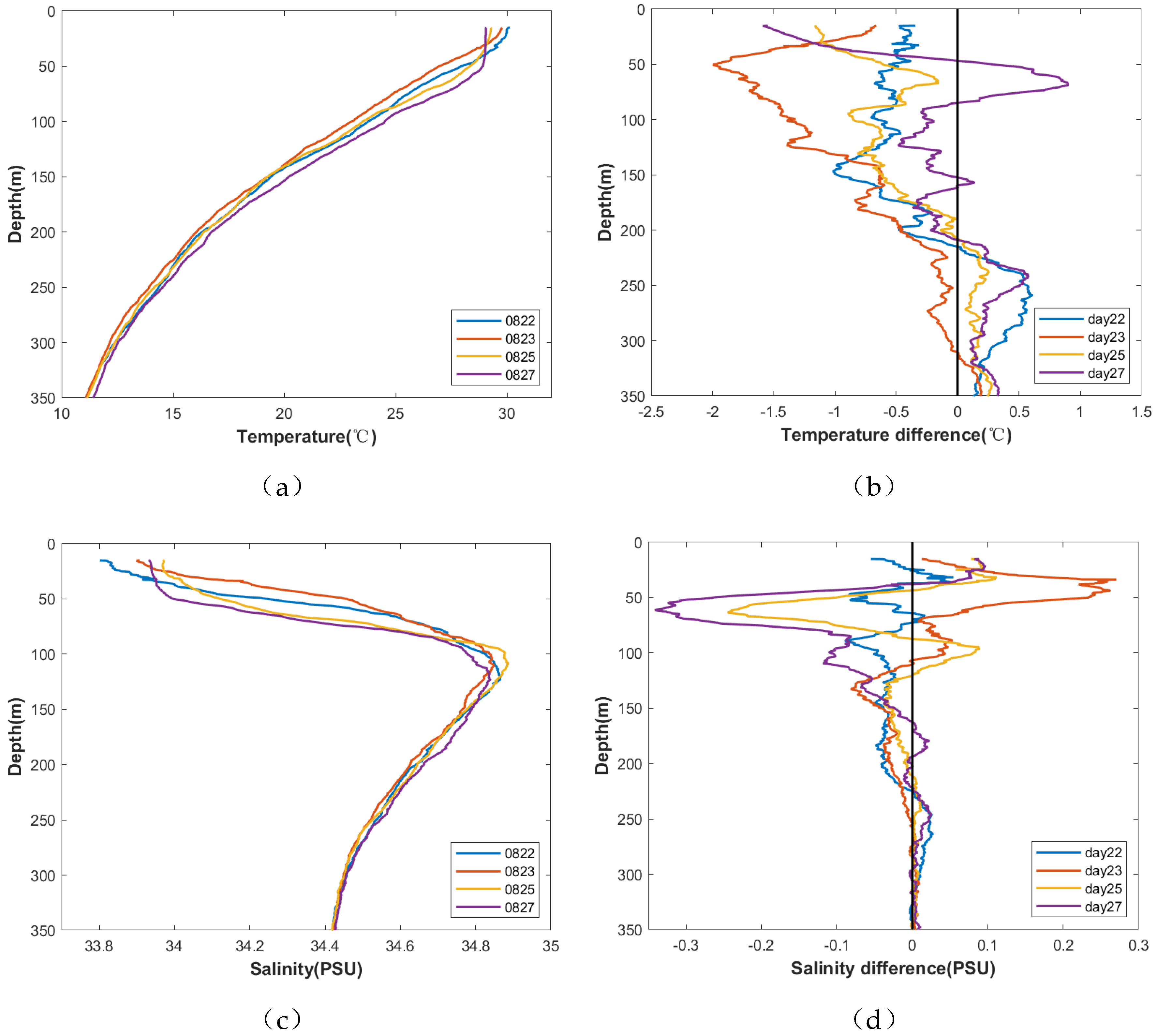
3.3.1 Typhoon-Induced Thermohaline Variations Revealed by Underwater Gliders
3.3.2. Numerical Experiment Design and Result Validation

3.3.3. Typhoon Impacts on the Vertical Structure of the Anticyclonic Eddy: Numerical Evidence
4. Conclusions
Author Contributions
Funding
Institutional Review Board Statement
Informed Consent Statement
Data Availability Statement
Acknowledgments
Conflicts of Interest
References
- Chelton, D.B.; Schlax, M.G.; Samelson, R.M. Global observations of nonlinear mesoscale eddies J. Progress in Oceanography. 2011, Vol.91, 167–216. [Google Scholar] [CrossRef]
- Yang, Y.; Wang, D.; Wang, Q.; Zeng, L.; Xing, T.; He, Y.; Shu, Y.; Chen, J.; Wang, Y. Eddy-Induced Transport of Saline Kuroshio Water Into the Northern South China Sea. Journal of Geophysical Research: Oceans 2019, 124, 6673–6687. [Google Scholar] [CrossRef]
- Ma, Z.; Fei, J.; Liu, L.; Huang, X.; Li, Y. An Investigation of the Influences of Mesoscale Ocean Eddies on Tropical Cyclone Intensities. J. Monthly Weather Review. 2017, Vol.145, 1181–1201. [Google Scholar] [CrossRef]
- Lin, X.; Dong, C.; Chen, D.; Liu, Y.; Yang, J.; Zou, B.; Guan, Y. Three-dimensional properties of mesoscale eddies in the South China Sea based on eddy-resolving model output. Deep Sea Research Part I: Oceanographic Research Papers 2015, 99, 46–64. [Google Scholar] [CrossRef]
- Wang, G.; Su, J.; Chu, P.C. Mesoscale eddies in the South China Sea observed with altimeter data. Geophysical Research Letters 2003, 30. [Google Scholar] [CrossRef]
- Xing, T.; Yang, Y. Three Mesoscale Eddy Detection and Tracking Methods: Assessment for the South China Sea. Journal of Atmospheric and Oceanic Technology 2021, 38, 243–258. [Google Scholar] [CrossRef]
- Martin, J.P.; Lee, C.M.; Eriksen, C.C.; Ladd, C.; Kachel, N.B. Glider observations of kinematics in a Gulf of Alaska eddy. Journal of Geophysical Research: Oceans 2009, 114. [Google Scholar] [CrossRef]
- Chunhua, Q.; Huabin, M.; Yanhui, W.; Jiancheng, Y.; Danyi, S.; Shumin, L. An irregularly shaped warm eddy observed by Chinese underwater gliders. Journal of Oceanography 2018, 75, 139–148. [Google Scholar] [CrossRef]
- Shu, Y.; Chen, J.; Li, S.; Wang, Q.; Yu, J.; Wang, D. Field-observation for an anticyclonic mesoscale eddy consisted of twelve gliders and sixty-two expendable probes in the northern South China Sea during summer 2017. Science China Earth Sciences 2018, 62, 451–458. [Google Scholar] [CrossRef]
- Qiu, C.; Mao, H.; Liu, H.; Xie, Q.; Yu, J.; Su, D.; Ouyang, J.; Lian, S. Deformation of a Warm Eddy in the Northern South China Sea. Journal of Geophysical Research: Oceans 2019, 124, 5551–5564. [Google Scholar] [CrossRef]
- Li, S.; Wang, S.; Zhang, F.; Wang, Y. Constructing the Three-Dimensional Structure of an Anticyclonic Eddy in the South China Sea Using Multiple Underwater Gliders. Journal of Atmospheric and Oceanic Technology 2019, 36, 2449–2470. [Google Scholar] [CrossRef]
- Zhang, H.; He, H.; Zhang, W.-Z.; Tian, D. Upper ocean response to tropical cyclones: a review. J. Geoscience Letters. 2021, Vol.8, 1–12. [Google Scholar] [CrossRef]
- KAWAMURA; Hiroshi. Detection of cyclonic eddy generated by looping tropical cyclone in the northern South China Sea: a case study. J. Journal of Oceanography 2004, 213–224.
- Ma, Z.; Zhang, Z.; Fei, J.; Wang, H. Imprints of Tropical Cyclones on Structural Characteristics of Mesoscale Oceanic Eddies Over the Western North Pacific. Geophysical Research Letters 2021, 48. [Google Scholar] [CrossRef]
- Huang, X.; Wang, G. Response of a Mesoscale Dipole Eddy to the Passage of a Tropical Cyclone: A Case Study Using Satellite Observations and Numerical Modeling. Remote Sensing 2022, 14. [Google Scholar] [CrossRef]
- Sun, L.; Li, Y.X.; Yang, Y.J.; Wu, Q.; Chen, X.T.; Li, Q.Y.; Li, Y.B.; Xian, T. Effects of super typhoons on cyclonic ocean eddies in the western North Pacific: A satellite data-based evaluation between 2000 and 2008. Journal of Geophysical Research: Oceans 2014, 119, 5585–5598. [Google Scholar] [CrossRef]
- Lu, Z.; Wang, G.; Shang, X. Response of a Preexisting Cyclonic Ocean Eddy to a Typhoon. Journal of Physical Oceanography 2016, 46, 2403–2410. [Google Scholar] [CrossRef]
- Walker, N.D.; Leben, R.R.; Balasubramanian, S. Hurricane-forced upwelling and chlorophyll a enhancement within cold-core cyclones in the Gulf of Mexico. Geophysical Research Letters 2005, 32. [Google Scholar] [CrossRef]
- Rudzin, J.E.; Chen, S. On the dynamics of the eradication of a warm core mesoscale eddy after the passage of Hurricane Irma (2017). Dynamics of Atmospheres and Oceans 2022, 100. [Google Scholar] [CrossRef]
- Liu, X.; Sun, C.; Zuo, J. The Interactions Between Ocean and Three Consecutive Typhoons Affecting Northeast Asia in 2020 From a Model Perspective. Journal of Geophysical Research: Atmospheres 2023, 128. [Google Scholar] [CrossRef]
- Liu, S.S.; Sun, L.; Wu, Q.; Yang, Y.J. The responses of cyclonic and anticyclonic eddies to typhoon forcing: The vertical temperature-salinity structure changes associated with the horizontal convergence/divergence. Journal of Geophysical Research: Oceans 2017, 122, 4974–4989. [Google Scholar] [CrossRef]
- Li, S.; Zhang, F.; Wang, S.; Wang, Y.; Yang, S. Constructing the three-dimensional structure of an anticyclonic eddy with the optimal configuration of an underwater glider network. Applied Ocean Research 2020, 95. [Google Scholar] [CrossRef]
- Sadarjoen, I.A.; Post, F.H. Detection, quantification, and tracking of vortices using streamline geometry. J. Computers and Graphics. 2000, Vol.24, 333–341. [Google Scholar] [CrossRef]
- Chen, G.; Hou, Y.; Chu, X. Mesoscale eddies in the South China Sea: Mean properties, spatiotemporal variability, and impact on thermohaline structure. J. Journal of Geophysical Research-Oceans. 2011, 116. [Google Scholar] [CrossRef]
- Shchepetkin, A.F.; McWilliams, J.C. The regional oceanic modeling system (ROMS): a split-explicit, free-surface, topography-following-coordinate oceanic model. J. Ocean Modelling. 2005, Vol.9, 347–404. [Google Scholar] [CrossRef]
- Shu, Y.; Xiu, P.; Xue, H.; Yao, J.; Yu, J. Glider-observed anticyclonic eddy in northern South China Sea. Aquatic Ecosystem Health & Management 2016, 19, 233–241. [Google Scholar] [CrossRef]
- Orton, P.; Georgas, N.; Blumberg, A.; Pullen, J. Detailed modeling of recent severe storm tides in estuaries of the New York City region. J. Journal of Geophysical Research-Oceans. 2012, 117. [Google Scholar] [CrossRef]
- Ni, X.; Zhang, Y.; Wang, W. Hurricane influence on the oceanic eddies in the Gulf Stream region. Nature Communications 2025, 16. [Google Scholar] [CrossRef] [PubMed]
- Zhu, X.; Guo, S.; Chang, J.; Zhang, X.; Hu, Z.; Wang, H. Full destruction of an anticyclonic eddy in the Northern South China Sea by Tropical Storm Mulan. Deep Sea Research Part I: Oceanographic Research Papers 2025, 220. [Google Scholar] [CrossRef]





















| Glider ID | Distance from Eddy Center (km) | Relative Position |
| 05 | 78.5 | Eddy boundary |
| 06 | 9.8 | Near eddy core |
| 10 | 46.7 | Intermediate transition zone |
| Glider Pair | Max ΔT (°C) | Depth (m) | Max ΔS (PSU) | Depth (m) |
| Glider 06 vs. 05 | 2.86 | 122 | 0.65 | 61 |
| Glider 10 vs. 05 | 1.67 | 94 | 0.14 | 61 |
| Glider Pair | Max ΔT (°C) | Depth (m) | Max ΔS (PSU) | Depth (m) |
| Glider 06 vs. 05 | 0.85 | 358 | 0.09 | 350 |
| Glider 10 vs. 05 | 0.72 | 361 | 0.07 | 347 |
| Date | 08-21 | 08-22 | 08-23 | 08-24 |
| (TC)Max ΔT (°C) | 0.31 | 1.15 | 1.22 | 1.68 |
| (TC)Depth(m) | 70 | 60 | 60 | 70 |
| (No TC)Max ΔT (°C) | 0.25 | 0.36 | 0.51 | 0.66 |
| (No TC)Depth(m) | 50 | 70 | 60 | 50 |
Disclaimer/Publisher’s Note: The statements, opinions and data contained in all publications are solely those of the individual author(s) and contributor(s) and not of MDPI and/or the editor(s). MDPI and/or the editor(s) disclaim responsibility for any injury to people or property resulting from any ideas, methods, instructions or products referred to in the content. |
© 2025 by the authors. Licensee MDPI, Basel, Switzerland. This article is an open access article distributed under the terms and conditions of the Creative Commons Attribution (CC BY) license (http://creativecommons.org/licenses/by/4.0/).