Submitted:
14 July 2025
Posted:
17 July 2025
You are already at the latest version
Abstract
Keywords:
1. Introduction
2. Materials and Methods:
2.1. Participants:
2.2. Questionnaire Design:
2.3. Simulation
2.4. Statistical Analysis
2.5. Ethical Approval
3. Results
3.1. Participant Characteristics:
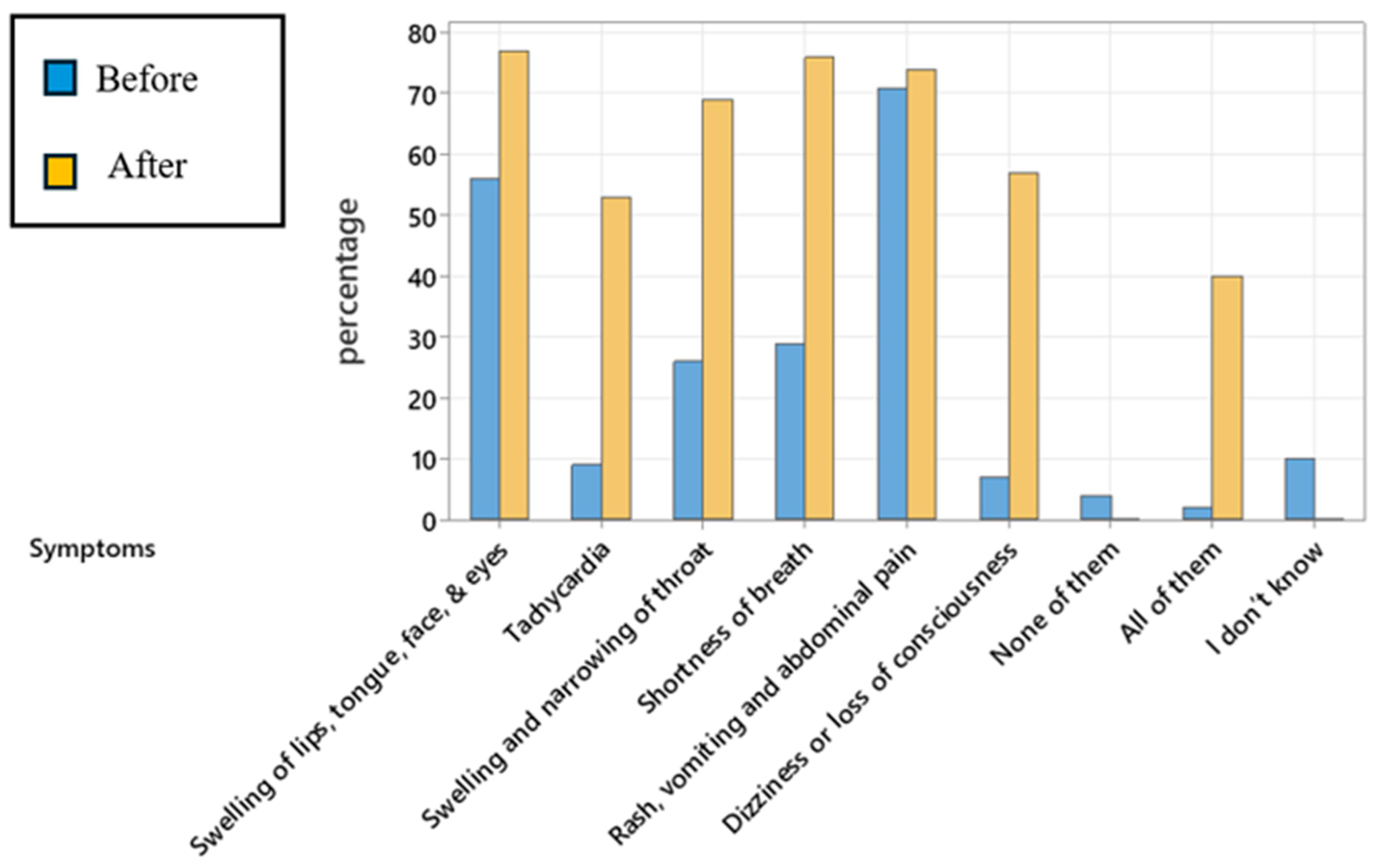
3.2. Identification of Anaphylaxis Through Recognition of Signs and Symptoms:
3.3. Assessing Attitude Toward the Guidelines and Protocols in School for the Management of Severe Allergic Reactions
3.4. Readiness to Use Epinephrine Auto-Injector:
4. Discussion:
5. Conclusion





Supplementary Materials
Author Contributions
Funding
Institutional Review Board Statement
Informed Consent Statement
Data Availability Statement
Acknowledgments
Conflicts of Interest
References
- Bartha I, Almulhem N, Santos AF. Feast for thought: A comprehensive review of food allergy 2021-2023. J Allergy Clin Immunol. 2024;153(3):576-94. [CrossRef]
- Alibrahim I, AlSulami M, Alotaibi T, Alotaibi R, Bahareth E, Abulreish I, et al. Prevalence of Parent-Reported Food Allergies Among Children in Saudi Arabia. Nutrients. 2024;16(16). [CrossRef]
- Ercan H, Ozen A, Karatepe H, Berber M, Cengizlier R. Primary school teachers' knowledge about and attitudes toward anaphylaxis. Pediatr Allergy Immunol. 2012;23(5):428-32.
- Gonzalez-Mancebo E, Gandolfo-Cano MM, Trujillo-Trujillo MJ, Mohedano-Vicente E, Calso A, Juarez R, et al. Analysis of the effectiveness of training school personnel in the management of food allergy and anaphylaxis. Allergol Immunopathol (Madr). 2019;47(1):60-3.
- Gohal G. Food allergy knowledge and attitudes among school teachers in Jazan, Saudi Arabia. The Open Allergy Journal. 2018;9(1). [CrossRef]
- Barni S, Mori F, Giovannini M, de Luca M, Novembre E. In situ simulation in the management of anaphylaxis in a pediatric emergency department. Intern Emerg Med. 2019;14(1):127-32. [CrossRef]
- Maddry JK, Varney SM, Sessions D, Heard K, Thaxton RE, Ganem VJ, et al. A comparison of simulation-based education versus lecture-based instruction for toxicology training in emergency medicine residents. J Med Toxicol. 2014;10(4):364-8.
- Lighthall GK, Barr J. The use of clinical simulation systems to train critical care physicians. J Intensive Care Med. 2007;22(5):257-69. [CrossRef]
- Ten Eyck RP, Tews M, Ballester JM. Improved medical student satisfaction and test performance with a simulation-based emergency medicine curriculum: a randomised controlled trial. Ann Emerg Med. 2009;54(5):684-91.
- Aslan G, Savcı Mağol DD, Bakan ABS. An investigation of the effects of the education given to teachers on food allergy and anaphylaxis management self-efficacy and level of knowledge. Health Education Journal. 2024;83(6):577-86. [CrossRef]
- Raptis G, Perez-Botella M, Totterdell R, Gerasimidis K, Michaelis LJ. A survey of school's preparedness for managing anaphylaxis in pupils with food allergy. Eur J Pediatr. 2020;179(10):1537-45.
- Asiri KA, Mahmood SE, Alostath SA, Alshammari MD, Al Sayari TA, Ahmad A, et al. Knowledge and practices regarding anaphylaxis management in children and adolescents among teachers in the Kingdom of Saudi Arabia (KSA). Science. 2021;90:23.4.
- Alsuhaibani MA, Alharbi S, Alonazy S, Almozeri M, Almutairi M, Alaqeel A. Saudi teachers' confidence and attitude about their role in anaphylaxis management. J Family Med Prim Care. 2019;8(9):2975-82. [CrossRef]
- Alomran H, Alhassan M, Alqahtani A, Aldosari S, Alhajri O, Alrshidi K. The right attitude is not enough: An assessment of knowledge, attitude, and practice of primary school teachers regarding food allergy in Al-Kharj, Saudi Arabia, 2022.
- Alzahrani L, Alshareef HH, Alghamdi HF, Melebary R, Badahdah SN, Melebary R, et al. Food Allergy: Knowledge and Attitude of Primary School Teachers in Makkah Region, Saudi Arabia. Cureus. 2023;15(9):e45203.
- Canon N, Gharfeh M, Guffey D, Anvari S, Davis CM. Role of Food Allergy Education: Measuring Teacher Knowledge, Attitudes, and Beliefs. Allergy Rhinol (Providence). 2019;10:2152656719856324.
- Dumeier HK, Richter LA, Neininger MP, Prenzel F, Kiess W, Bertsche A, et al. Knowledge of allergies and performance in epinephrine auto-injector use: a controlled intervention in preschool teachers. Eur J Pediatr. 2018;177(4):575-81. [CrossRef]
- Harper NJN, Cook TM, Garcez T, Lucas DN, Thomas M, Kemp H, et al. Anaesthesia, surgery, and life-threatening allergic reactions: management and outcomes in the 6th National Audit Project (NAP6). Br J Anaesth. 2018;121(1):172-88.
- Kolawole H, Guttormsen AB, Hepner DL, Kroigaard M, Marshall S. Use of simulation to improve management of perioperative anaphylaxis: a narrative review. Br J Anaesth. 2019;123(1):e104-e9. [CrossRef]
- Mason VM, Lyons P. Use of simulation to practice multidisciplinary anaphylaxis management. Dimens Crit Care Nurs. 2013;32(6):280-5.
- Sasaki K, Sugiura S, Matsui T, Nakagawa T, Nakata J, Kando N, et al. A workshop with practical training for anaphylaxis management improves the self-efficacy of school personnel. Allergol Int. 2015;64(2):156-60. [CrossRef]
- Rhim GS, McMorris MS. School readiness for children with food allergies. Ann Allergy Asthma Immunol. 2001;86(2):172-6.
- Sapien RE, Allen A. Emergency preparation in schools: a snapshot of a rural state. Pediatr Emerg Care. 2001;17(5):329-33. [CrossRef]
- Nowak-Wegrzyn A, Conover-Walker MK, Wood RA. Food-allergic reactions in schools and preschools. Arch Pediatr Adolesc Med. 2001;155(7):790-5. [CrossRef]
Disclaimer/Publisher’s Note: The statements, opinions and data contained in all publications are solely those of the individual author(s) and contributor(s) and not of MDPI and/or the editor(s). MDPI and/or the editor(s) disclaim responsibility for any injury to people or property resulting from any ideas, methods, instructions or products referred to in the content. |
© 2025 by the authors. Licensee MDPI, Basel, Switzerland. This article is an open access article distributed under the terms and conditions of the Creative Commons Attribution (CC BY) license (http://creativecommons.org/licenses/by/4.0/).