Submitted:
08 July 2025
Posted:
10 July 2025
Read the latest preprint version here
Abstract
Keywords:
1. Introduction
2. Materials and Methods
Samples
Basic Sample Treatment
Sperm Parameter Analysis
Sperm Analysis
Assessment of Sperm Morphology
Analysis of the Quality of the Genetic Material in Spermatozoa
Index of SDF by the TUNEL Technique
Index of SCC by Aniline Blue Staining
Statistical Analysis
3. Results
3.1. Sperm Parameter Analysis: Spermogram and Spermocytogram
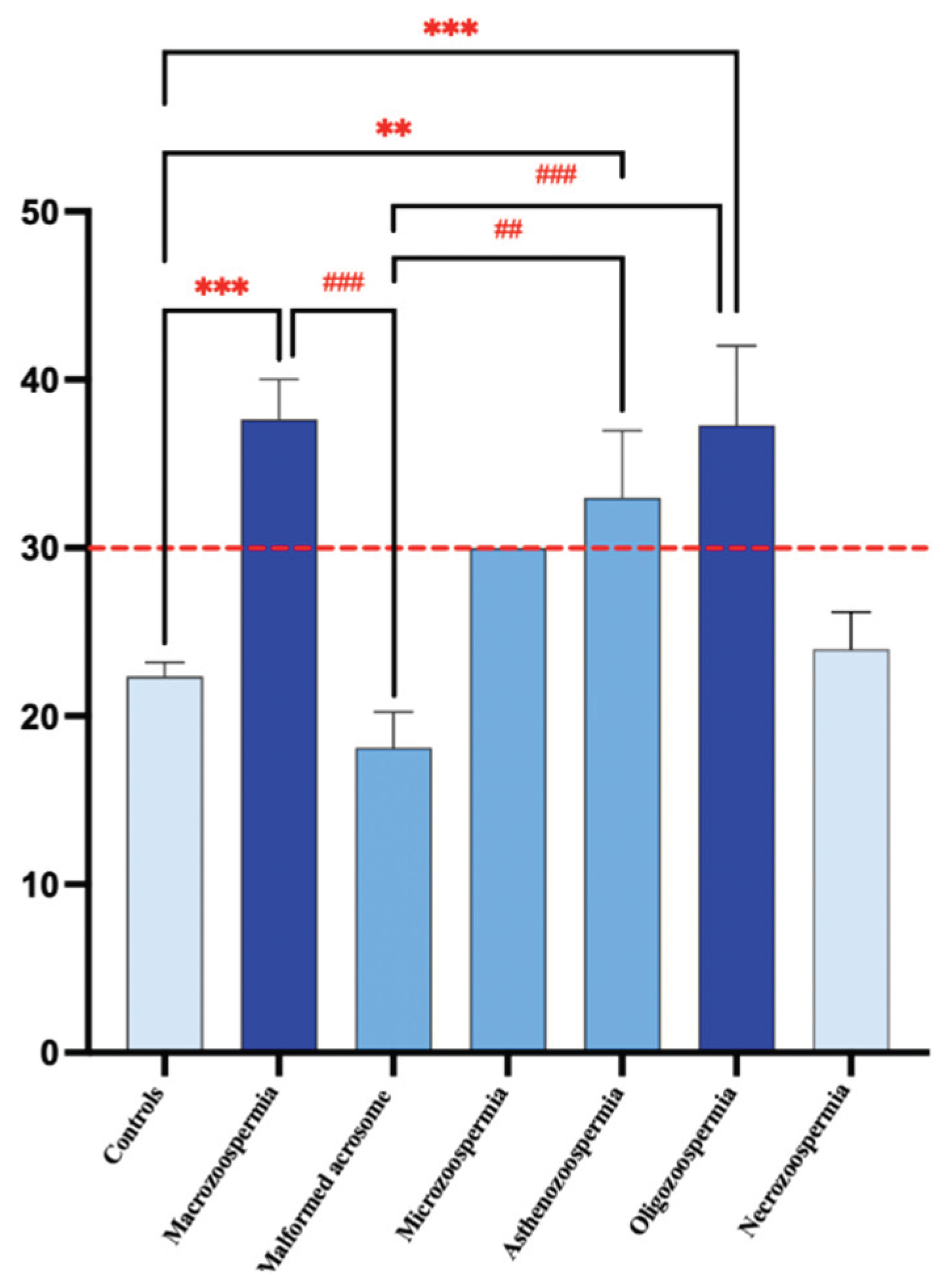
3.2. Analysis of the Quality of the Genetic Material in Spermatozoa
3.2.1. Index of SDF by the TUNEL Technique
3.2.2. Index of SCC by Aniline Blue Staining
4. Discussion
Sperm DNA Fragmentation
Sperm Chromatin Condensation
Interplay Between SDF and SCC
5. Conclusions
Author Contributions
Funding
Institutional Review Board Statement
Informed Consent Statement
Data Availability Statement
Acknowledgments
Conflicts of Interest
Abbreviations
| ART | Assisted Reproductive Technology |
| AURKC | Aurora Kinase C |
| CASA | computer-assisted sperm analysis system |
| FTs | typical forms |
| ICSI | intracytoplasmic sperm injection |
| IUI | intrauterine insemination |
| IVF | vitro fertilization |
| ROS | Reactive oxygen species |
| SCC | Sperm Chromatin Condensation |
| SDF | Sperm DNA Fragmentation |
| TZI | teratozoospermia index |
Appendix A
| Type (a) | Rapid progressive |
| Type (b) | Nonprogressive |
| Type (c) | Immotile |
| Sperm parameter | Threshold values |
| Ejaculated volume | > 1.4 mL |
| Sperm concentration (million/mL) | > 16 million |
| Total sperm number (million/ejaculate) | > 39 million |
| Total motility (progressive + nonprogressive) | > 42% |
| Vitality | >58% |
References
- Ghallam, A.; Bouasria, L.; Zirari, H. Medically assisted procreation: A new legal framework to overcome infertility in Morocco in the context of energy optimization. In E3S Web of Conferences; EDP Sciences, 2023; Volume 412, p. 01057. [Google Scholar]
- Cho, I.K.; Easley, C.A. Recent developments in in vitro spermatogenesis and future directions. Reproductive Medicine 2023, 4, 215–232. [Google Scholar] [CrossRef]
- Bieniek, J.M.; Lapin, C.D.; Jarvi, K.A. Genetics of CFTR and male infertility. Translational andrology and urology 2021, 10, 1391. [Google Scholar] [CrossRef] [PubMed]
- Sudhakar, D.V.; Shah, R.; Gajbhiye, R.K. Genetics of male infertility–present and future: a narrative review. Journal of human reproductive sciences 2021, 14, 217–227. [Google Scholar] [CrossRef] [PubMed]
- Agarwal, A.; Parekh, N.; Selvam, M.K.P.; Henkel, R.; Shah, R.; Homa, S.T.; Harlev, A. Male oxidative stress infertility (MOSI): proposed terminology and clinical practice guidelines for management of idiopathic male infertility. The world journal of men’s health 2019, 37, 296–312. [Google Scholar] [CrossRef] [PubMed]
- Baldi, E.; Muratori, M.; Marchiani, S.; Tamburrino, L.; Fallet, C. Fragmentation et/ou décondensation de l’ADN spermatique: quelles conséquences? Journal de gynécologie obstétrique et biologie de la reproduction 2010, 39, 14–16. [Google Scholar] [CrossRef] [PubMed]
- World Health Organization. WHO laboratory manual for the examination and processing of human semen. In Who laboratory manual for the examination and processing of human semen.; 2021. [Google Scholar]
- Auger, J.; Eustache, F.; David, G. Standardization of the morphological assessment of human spermatozoa according to modified David’s classification. Andrologie 2000, 10, 358–373. [Google Scholar] [CrossRef]
- Kruger, T.F.; Acosta, A.A.; Simmons, K.F.; Swanson, R.J.; Matta, J.F.; Oehninger, S. Predictive value of abnormal sperm morphology in in vitro fertilization. Fertility and sterility 1988, 49, 112–117. [Google Scholar] [CrossRef] [PubMed]
- Candela, L.; Boeri, L.; Capogrosso, P.; Cazzaniga, W.; Pozzi, E.; Belladelli, F.; Salonia, A. Correlation among isolated teratozoospermia, sperm DNA fragmentation and markers of systemic inflammation in primary infertile men. PLoS One 2021, 16, e0251608. [Google Scholar] [CrossRef] [PubMed]
- Küçük, N. Sperm DNA and detection of DNA fragmentations in sperm. Turkish journal of urology 2018, 44, 1. [Google Scholar] [CrossRef] [PubMed]
- McQueen, D.B.; Zhang, J.; Robins, J.C. Sperm DNA fragmentation and recurrent pregnancy loss: a systematic review and meta-analysis. Fertility and sterility 2019, 112, 54–60. [Google Scholar] [CrossRef] [PubMed]
- Aitken, R.J.; Koppers, A.J. Apoptosis and DNA damage in human spermatozoa. Asian journal of andrology 2010, 13, 36. [Google Scholar] [CrossRef] [PubMed]
- Rawe, V.Y.; Alvarez, C.R.; Uriondo, H.W.; Alvarez, G.; Lipowicz, R.; Chemes, H. Relationship between chromatin ultrastructure and DNA fragmentation in human spermatozoa. Fertility and Sterility 2009, 92, S142–S143. [Google Scholar] [CrossRef]
- García-Ferreyra, J. Sperm DNA fragmentation and its relation with fertility. In New discoveries in embryology; IntechOpen, 2015. [Google Scholar]
- Ward, W.S. Function of sperm chromatin structural elements in fertilization and development. MHR: Basic science of reproductive medicine 2009, 16, 30–36. [Google Scholar] [CrossRef] [PubMed]
- Singh, A.; Agarwal, A. The role of sperm chromatin integrity and DNA damage on male infertility. Open Reprod Sci J 2011, 3, 65–71. [Google Scholar]
- Ben Khelifa, M.; Zouari, R.; Harbuz, R.; Halouani, L.; Arnoult, C.; Lunardi, J.; Ray, P.F. A new AURKC mutation causing macrozoospermia: implications for human spermatogenesis and clinical diagnosis. Molecular human reproduction 2011, 17, 762–768. [Google Scholar] [CrossRef] [PubMed]
- Torregrosa, N.; Domínguez-Fandos, D.; Camejo, M.I.; Shirley, C.R.; Meistrich, M.L.; Ballescà, J.L.; Oliva, R. Protamine 2 precursors, protamine 1/protamine 2 ratio, DNA integrity and other sperm parameters in infertile patients. Human Reproduction 2006, 21, 2084–2089. [Google Scholar] [CrossRef] [PubMed]
- Dadoune, J.P.; Mayaux, M.J.; Guihard-Moscato, M.L. Correlation between defects in chromatin condensation of human spermatozoa stained by aniline blue and semen characteristics: Beziehungen zwischen Defekten der chromatinkondensation menschlicher spermatozoen, die mittels anilinblau gefärbt wurden und spermacharakteristika. Andrologia 1988, 20, 211–217. [Google Scholar] [PubMed]
- Larson-Cook, K.L.; Brannian, J.D.; Hansen, K.A.; Kasperson, K.M.; Aamold, E.T.; Evenson, D.P. Relationship between the outcomes of assisted reproductive techniques and sperm DNA fragmentation as measured by the sperm chromatin structure assay. Fertility and sterility 2003, 80, 895–902. [Google Scholar] [CrossRef] [PubMed]
- Simon, L.; Zini, A.; Dyachenko, A.; Ciampi, A.; Carrell, D.T. A systematic review and meta-analysis to determine the effect of sperm DNA damage on in vitro fertilization and intracytoplasmic sperm injection outcome. Asian journal of andrology 2017, 19, 80–90. [Google Scholar] [PubMed]
- Evenson, D.P. Sperm Chromatin Structure Assay (SCSA®): 30 years of experience with the SCSA®. Sperm chromatin: Biological and clinical applications in male infertility and assisted reproduction 2011, 125–149. [Google Scholar]






Disclaimer/Publisher’s Note: The statements, opinions and data contained in all publications are solely those of the individual author(s) and contributor(s) and not of MDPI and/or the editor(s). MDPI and/or the editor(s) disclaim responsibility for any injury to people or property resulting from any ideas, methods, instructions or products referred to in the content. |
© 2025 by the authors. Licensee MDPI, Basel, Switzerland. This article is an open access article distributed under the terms and conditions of the Creative Commons Attribution (CC BY) license (http://creativecommons.org/licenses/by/4.0/).