Submitted:
01 July 2025
Posted:
02 July 2025
You are already at the latest version
Abstract
Keywords:
1. Introduction
2. Related Works
3. Preliminaries
3.1. System Model
3.2. Pseudo Random Function (PRF)
3.3. Elliptic Curve Cryptography (ECC)
3.4. Security and Privacy Requirements
4. Prposed Scheme
4.1. Setup Phase
4.2. Registration Phase
4.2.1. Registration for Vehicles
4.2.2. Registration for Fog Node
4.3. Authentication and Key Agreement Phase
4.3.1. Vehicle Requests to Generate a Session Key
4.3.2. FN Aggregates the Request Data from Each Vehicle
4.3.3. TCC Authenticates and Processes the FN’s Requests
- Retrieves the i-th tuple from and obtains the real identity of by computing .
- Calculates the vehicle ’s certificate .
-
Verifies whether vehicle is revoked by checking if its real identity exists in the revocation list .
- –
- If it is not revoked, it indicates that the vehicle is legal, then calculates .
- –
- If it is revoked, calculates , where the message authentication code of the illegal vehicle is removed from , at the same time, the message of the illegal vehicle should be removed from .
- TCC sets , and .
- Using the Lagrange interpolation formula, TCC can obtain the equation of a straight line passing through points and . These straight lines corresponding to all legitimate vehicles pass through a common point , which can significantly reduce the computational and communication overhead.
- TCC selects a random number for vehicle , such that , then substitutes into the straight line equation to compute the corresponding Y-coordinate, i.e., evaluates . Therefore, in addition to the points and , TCC has now obtained the third point on the straight line .
- TCC obtains verification message by computing .
4.3.4. FN Generates Session Keys
- The fog node sends the messages to the corresponding vehicles respectively.
-
Computes , and performs the following operations for each legal vehicle.
- –
-
Substitute into the straight line equation to obtain the Y-coordinate of the intersection point between the line and the Y-axis: . The line passes through points and , where point is set by fog node and point is set by TCC.Note: It’s unnecessary to first solve for the explicit expression of the linear equation here.
- –
- Gets the session key between the vehicle and the fog node by computing .
- –
- Fog node stores the session key .
4.3.5. Vehicle Generates Session Key
- Sets , and computes .
-
Substitute into the linear equation to obtain the Y-coordinate of the intersection point between the line and the Y-axis: . The line passes through points and , where point is set by vehicle and point is set by TCC.Note: For a specific vehicle , the three points , , and lie on the same straight line. Therefore, the line determined by any two of these points is identical, denoted as .
- Gets the session key between the vehicle and the fog node by computing .
- Vehicle stores the session key .
5. Security Analysis
5.1. Informal Security Analysis
5.2. Formal Security Proof
5.2.1. Security Model
- : This query simulates the passive adversary to intercept messages exchanged among , , and .
- : The query models an active adversary sending message m to , , and . Upon receiving this query, these instances return corresponding response messages to .
- : When challenger receives this query from adversary , it randomly selects a bit , if , sends the real session key of to ; if , sends a random key of the same length as the session key to the . If the session key of is undefined, or if a query has been made to or its partners, receives ⊥ as an invalid value.
5.2.2. Security Proof
6. Peformance Evaluation
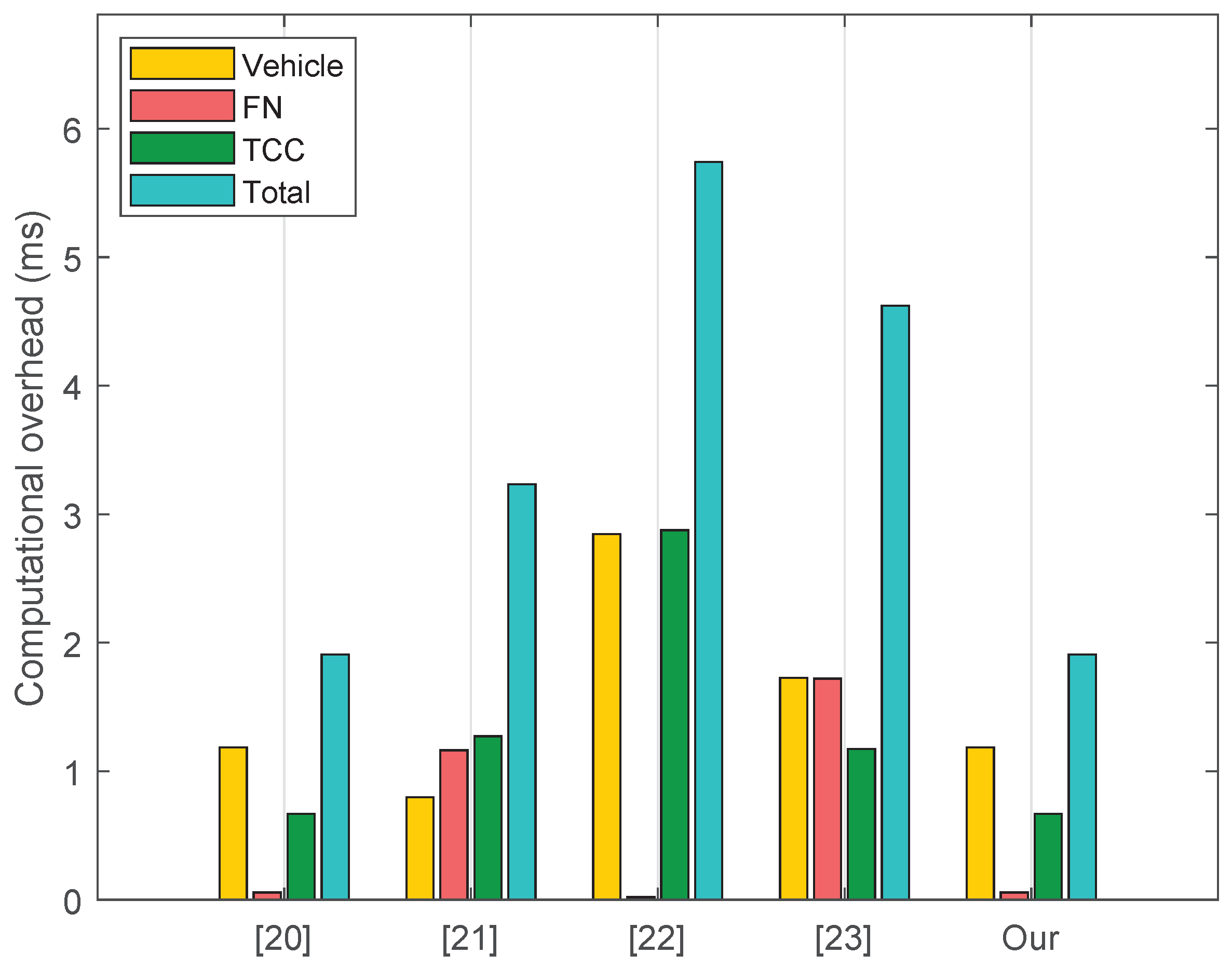
6.1. Computational Overhead Comparison
6.2. Communication Overhead Comparison
7. Conclusion and Remark
Author Contributions
Funding
Data Availability Statement
Conflicts of Interest
References
- Cao, J.; Feng, W.; Ge, N.; Lu, J. Delay Characterization of Mobile-Edge Computing for 6G Time-Sensitive Services. IEEE Internet of Things Journal 2021, 8, 3758–3773. [CrossRef]
- Cui, J.; Wei, L.; Zhong, H.; Zhang, J.; Xu, Y.; Liu, L. Edge Computing in VANETs-An Efficient and Privacy-Preserving Cooperative Downloading Scheme. IEEE Journal on Selected Areas in Communications 2020, 38, 1191–1204. [CrossRef]
- Saleem, M.A.; Li, X.; Mahmood, K.; Shamshad, S.; Alenazi, M.J.F.; Das, A.K. A Cost-Efficient Anonymous Authenticated and Key Agreement Scheme for V2I-Based Vehicular Ad-Hoc Networks. IEEE Transactions on Intelligent Transportation Systems 2024, 25, 12621–12630. [CrossRef]
- Lin, C.C.; Deng, D.J.; Yao, C.C. Resource Allocation in Vehicular Cloud Computing Systems With Heterogeneous Vehicles and Roadside Units. IEEE Internet of Things Journal 2018, 5, 3692–3700. [CrossRef]
- Awais, S.M.; Yucheng, W.; Mahmood, K.; Alenazi, M.J.F.; Bashir, A.K.; Das, A.K.; Lorenz, P. Provably Secure and Lightweight Authentication and Key Agreement Protocol for Fog-Based Vehicular Ad-Hoc Networks. IEEE Transactions on Intelligent Transportation Systems 2024, 25, 21107–21116. [CrossRef]
- Bonomi, F.; Milito, R.; Zhu, J.; Addepalli, S. Fog Computing and Its Role in the Internet of Things. In Proceedings of the ACM SIGCOMM International Conference on Mobile Cloud Computing, Helsinki, Finland, 2012; pp. 13–16.
- Kenney, J.B. Dedicated Short-Range Communications (DSRC) Standards in the United States. Proceedings of the IEEE 2011, 99, 1162–1182. [CrossRef]
- Jiang, D.; Delgrossi, L. IEEE 802.11p: Towards an International Standard for Wireless Access in Vehicular Environments. In Proceedings of the VTC Spring 2008 - IEEE Vehicular Technology Conference, 2008, pp. 2036–2040. [CrossRef]
- Islam, S.H.; Biswas, G.P. Design of Two-Party Authenticated Key Agreement Protocol Based on ECC and Self-Certified Public Keys. Wireless Personal Communications 2015, 82, 2727–2750. [CrossRef]
- Dang, L.; Xu, J.; Cao, X.; Li, H.; Chen, J.; Zhang, Y.; Fu, X. Efficient identity-based authenticated key agreement protocol with provable security for vehicular ad hoc networks. International Journal of Distributed Sensor Networks 2018, 14, 155014771877254. [CrossRef]
- Deng, L.; Shao, J.; Hu, Z. Identity based two-party authenticated key agreement scheme for vehicular ad hoc networks. Peer-to-Peer Networking and Applications 2021. [CrossRef]
- Xie, Q.; Wong, D.S.; Wang, G.; Tan, X.; Chen, K.; Fang, L. Provably Secure Dynamic ID-Based Anonymous Two-Factor Authenticated Key Exchange Protocol With Extended Security Model. IEEE Transactions on Information Forensics and Security 2017, 12, 1382–1392. [CrossRef]
- Li, X.; Yang, D.; Zeng, X.; Chen, B.; Zhang, Y. Comments on ‘Provably Secure Dynamic Id-Based Anonymous Two-Factor Authenticated Key Exchange Protocol With Extended Security Model’. IEEE Transactions on Information Forensics and Security 2019, 14, 3344–3345. [CrossRef]
- Liu, Y.; Wang, Y.; Chang, G. Efficient Privacy-Preserving Dual Authentication and Key Agreement Scheme for Secure V2V Communications in an IoV Paradigm. IEEE Transactions on Intelligent Transportation Systems 2017, 18, 2740–2749. [CrossRef]
- Lee, T.F.; Hsiao, C.H.; Hwang, S.H.; Lin, T.H. Enhanced smartcard-based password-authenticated key agreement using extended chaotic maps. PLoS ONE 2017, 12, e0181744. [CrossRef]
- Dua, A.; Kumar, N.; Das, A.K.; Susilo, W. Secure Message Communication Protocol Among Vehicles in Smart City. IEEE Transactions on Vehicular Technology 2018, 67, 4359–4373. [CrossRef]
- Vijayakumar, P.; Azees, M.; Kozlov, S.A.; Rodrigues, J.J.P.C. An Anonymous Batch Authentication and Key Exchange Protocols for 6G Enabled VANETs. IEEE Transactions on Intelligent Transportation Systems 2022, 23, 1630–1638. [CrossRef]
- Sun, Y.; Cao, J.; Ma, M.; Zhang, Y.; Li, H.; Niu, B. EAP-DDBA: Efficient Anonymity Proximity Device Discovery and Batch Authentication Mechanism for Massive D2D Communication Devices in 3GPP 5G HetNet. IEEE Transactions on Dependable and Secure Computing 2022, 19, 370–387. [CrossRef]
- Madanchi, M.; Abolhassani, B. Authentication and Key Agreement Based Binary Tree for D2D Group Communication. In Proceedings of the 2020 28th Iranian Conference on Electrical Engineering (ICEE), 2020, pp. 1–5. [CrossRef]
- Wei, L.; Cui, J.; Zhong, H.; Bolodurina, I.; Liu, L. A Lightweight and Conditional Privacy-Preserving Authenticated Key Agreement Scheme With Multi-TA Model for Fog-Based VANETs. IEEE Transactions on Dependable and Secure Computing 2023, 20, 422–436. [CrossRef]
- Qiao, H.; Dong, X.; Jiang, Q.; Ma, S.; Liu, C.; Xi, N.; Shen, Y. Anonymous Lightweight Authenticated Key Agreement Protocol for Fog-Assisted Healthcare IoT System. IEEE Internet of Things Journal 2023, 10, 16715–16726. [CrossRef]
- Jiang, Q.; Zhang, N.; Ni, J.; Ma, J.; Ma, X.; Choo, K.K.R. Unified Biometric Privacy Preserving Three-Factor Authentication and Key Agreement for Cloud-Assisted Autonomous Vehicles. IEEE Transactions on Vehicular Technology 2020, 69, 9390–9401. [CrossRef]
- Cui, J.; Zhang, X.; Zhong, H.; Zhang, J.; Liu, L. Extensible Conditional Privacy Protection Authentication Scheme for Secure Vehicular Networks in a Multi-Cloud Environment. IEEE Transactions on Information Forensics and Security 2020, 15, 1654–1667. [CrossRef]
- Wazid, M.; Bagga, P.; Das, A.K.; Shetty, S.; Rodrigues, J.J.P.C.; Park, Y. AKM-IoV: Authenticated Key Management Protocol in Fog Computing-Based Internet of Vehicles Deployment. IEEE Internet of Things Journal 2019, 6, 8804–8817. [CrossRef]
- Saleem, M.A.; Mahmood, K.; Kumari, S. Comments on “AKM-IoV: Authenticated Key Management Protocol in Fog Computing-Based Internet of Vehicles Deployment”. IEEE Internet of Things Journal 2020, 7, 4671–4675. [CrossRef]
- Ma, M.; He, D.; Wang, H.; Kumar, N.; Choo, K.K.R. An Efficient and Provably Secure Authenticated Key Agreement Protocol for Fog-Based Vehicular Ad-Hoc Networks. IEEE Internet of Things Journal 2019, 6, 8065–8075. [CrossRef]
- Cui, J.; Liu, X.; Zhong, H.; Zhang, J.; Wei, L.; Bolodurina, I.; He, D. A Practical and Provably Secure Authentication and Key Agreement Scheme for UAV-Assisted VANETs for Emergency Rescue. IEEE Transactions on Network Science and Engineering 2024, 11, 1454–1468. [CrossRef]
- Zhou, Y.; Cao, L.; Qiao, Z.; Xu, R.; Han, Y.; Xing, J.; Yang, B.; Xia, Z.; Zhang, M. A Novel Cloud-Assisted Authentication Key Agreement Protocol for VANET. IEEE Transactions on Vehicular Technology 2024, 73, 13526–13541. [CrossRef]
- Cui, J.; Wei, L.; Zhang, J.; Xu, Y.; Zhong, H. An Efficient Message-Authentication Scheme Based on Edge Computing for Vehicular Ad Hoc Networks. IEEE Transactions on Intelligent Transportation Systems 2019, 20, 1621–1632. [CrossRef]
- Abdalla, M.; Fouque, P.A.; Pointcheval, D. Password-Based Authenticated Key Exchange in the Three-Party Setting. In Proceedings of the Public Key Cryptography - PKC 2005; Vaudenay, S., Ed., Berlin, Heidelberg, 2005; pp. 65–84. [CrossRef]
- Liu, G.; Li, H.; Liang, Y.; Le, J.; Wang, N.; Mu, N.; Liu, Z.; Liu, Y.; Xiang, T. PSRAKA: Physically Secure and Robust Authenticated Key Agreement for VANETs. IEEE Transactions on Vehicular Technology 2024, pp. 1–15. [CrossRef]
- Han, Y.; Guo, H.; Liu, J.; Ehui, B.B.; Wu, Y.; Li, S. An Enhanced Multifactor Authentication and Key Agreement Protocol in Industrial Internet of Things. IEEE Internet of Things Journal 2024, 11, 16243–16254. [CrossRef]
- Miracl cryptographic SDK, 2019.





| Symbol | Definition |
|---|---|
| TCC | Traffic control center |
| RSU | Road-side unit |
| The f-th fog node | |
| The i-th vehicle | |
| Security parameter | |
| Cryptographic hash functions | |
| An additive elliptic curve group G with order q and generator P |
|
| System master secret key / system public key | |
| Real identity / pseudonym of | |
| Real identity / pseudonym of | |
| The point selected by | |
| The point selected by | |
| The point that TCC selects for vehicle . | |
| Timestamps generated by | |
| Request message generated by vehicle | |
| Message authentication code of vehicle | |
| Aggregated data of all vehicles’ request messages | |
| Aggregated data of all vehicles’ | |
| Hash values | |
| Random number / random point generated by | |
| XOR operation / concatenation of strings |
| Operation | Description | Time (ms) |
|---|---|---|
| Scale multiplication based on ECC | 0.562 | |
| Lagrange interpolation | 0.011 | |
| One-way hash | 0.005 | |
| AES-256 encryption/decryption | 0.016 | |
| Pseudo random function | 0.015 | |
| Extended Chebyshev chaotic map | 0.381 |
| Scheme | Vehicle | FN | TCC | Total |
|---|---|---|---|---|
| [20] |
=1.185n |
=0.056n |
=0.668n |
=1.909n |
| [21] |
=0.797n |
=1.163n |
=1.272n |
=3.232n |
| [22] |
=2.845n |
=0.02n |
=2.875n |
=5.74n |
| [23] |
=1.726n |
=1.721n |
=1.174n |
=4.621n |
| Our |
=1.185n |
=0.016n+0.04 |
=0.623n +0.045 |
=1.824n+0.085 |
| Symbol | Description | Size (byte) |
|---|---|---|
| The size of element in elliptic curve addition group | 64 | |
| The size of timestamp | 4 | |
| The size of real identity or pseudonym | 20 | |
| the size of message authentication code | 20 | |
| The size of element in | 32 | |
| The size of the output generated by extended Chebyshev polynomial |
32 |
Disclaimer/Publisher’s Note: The statements, opinions and data contained in all publications are solely those of the individual author(s) and contributor(s) and not of MDPI and/or the editor(s). MDPI and/or the editor(s) disclaim responsibility for any injury to people or property resulting from any ideas, methods, instructions or products referred to in the content. |
© 2025 by the authors. Licensee MDPI, Basel, Switzerland. This article is an open access article distributed under the terms and conditions of the Creative Commons Attribution (CC BY) license (http://creativecommons.org/licenses/by/4.0/).
