Submitted:
30 June 2025
Posted:
01 July 2025
You are already at the latest version
Abstract
Keywords:
1. Introduction
2. Materials and Methods
2.1. Materials and Reagents
2.2. Adsorption Experiments
2.3. Characterization of PET Fibers
2.4. ANN-DE Stategy
3. Results and Discussion
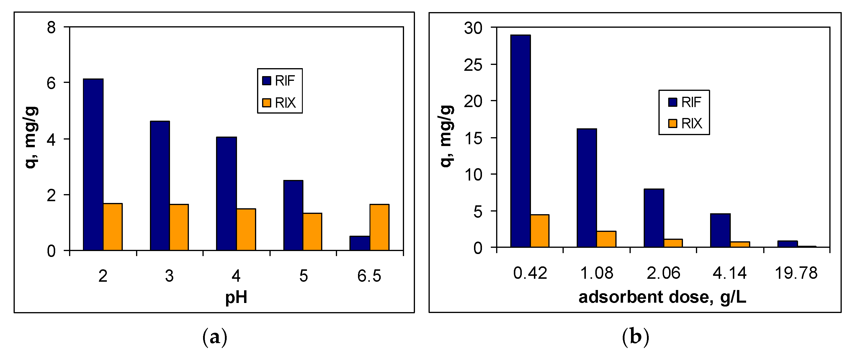
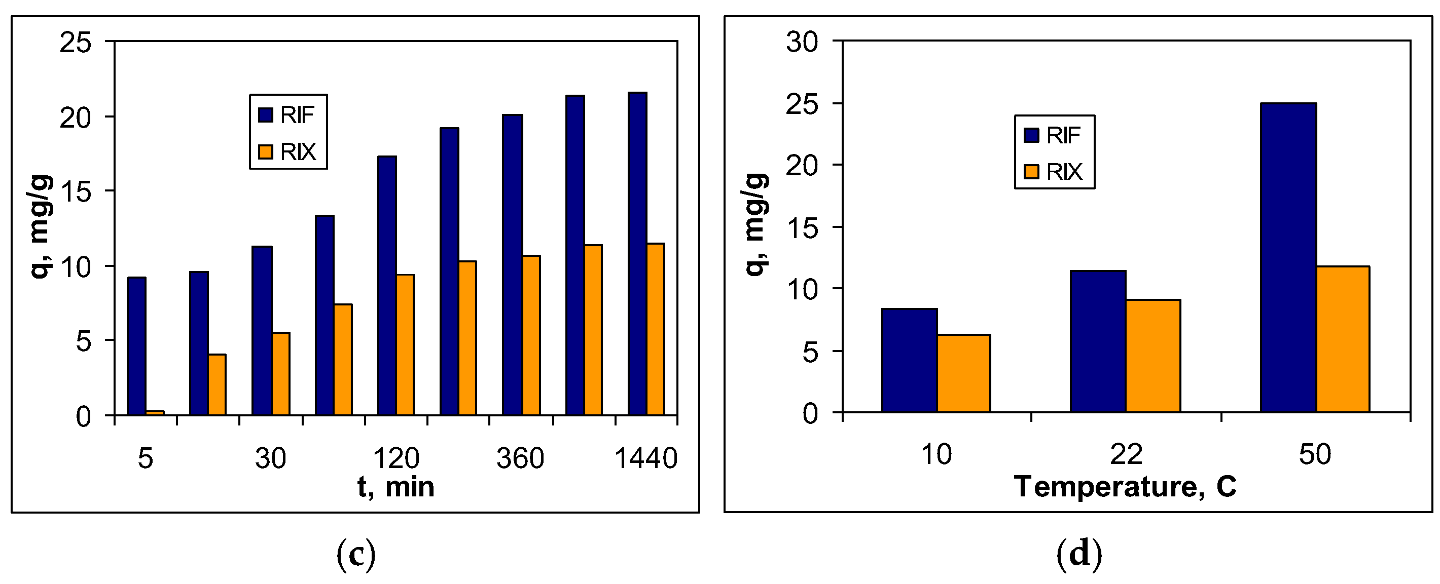
3.1. Experimental Characteristics of Adsorption Processes
3.2. Optimization of Adsorption Processes
3.3. Isotherm and Kinetic Modeling of Adsorption Processes
3.4. Thermodynamic Parameters
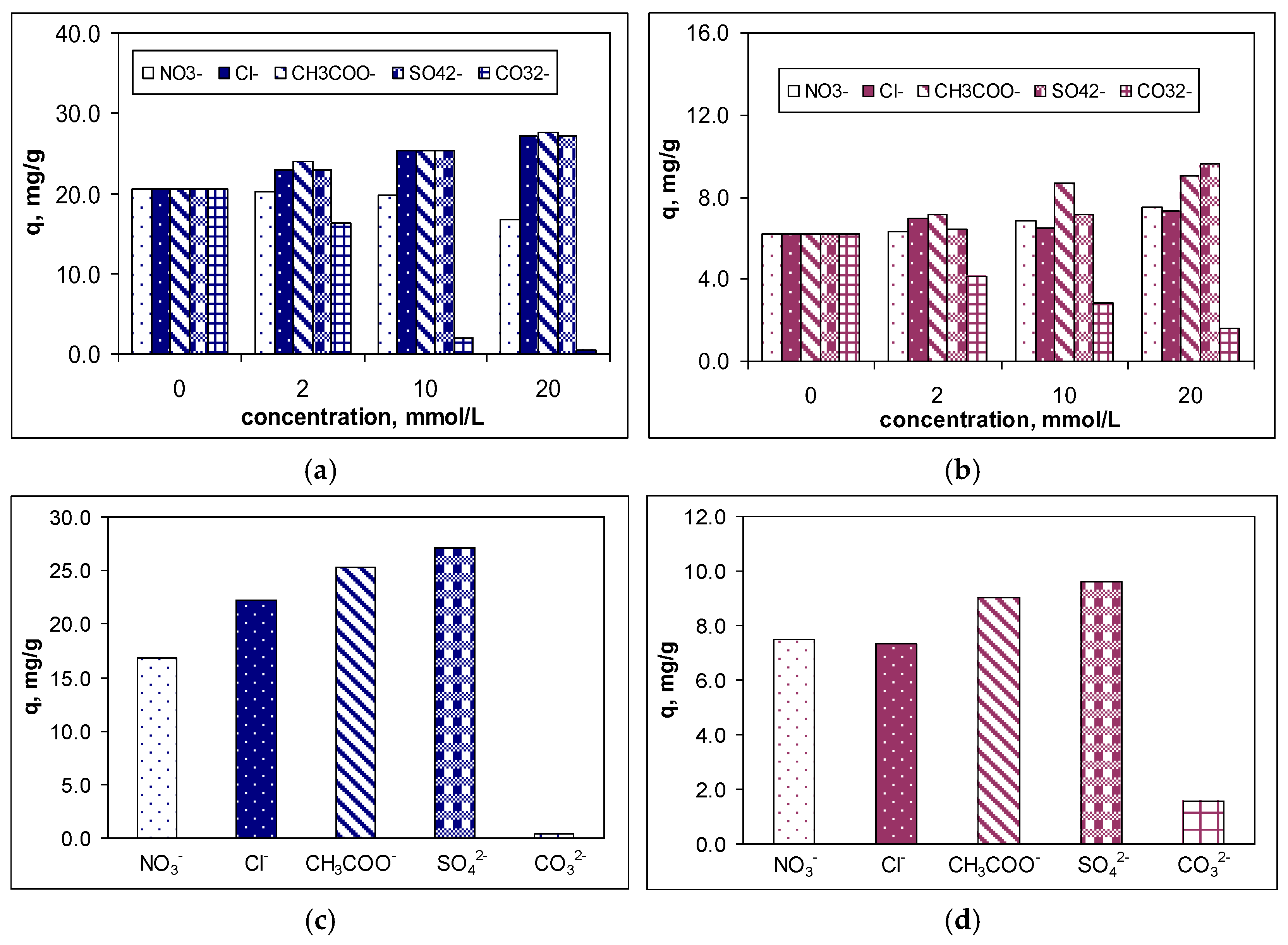
3.5. Effect of Co-Existing Ions
3.6. Mechanism of RIF and RIX Adsorption on PET Fibres
5. Conclusions
Supplementary Materials
Author Contributions
Funding
Institutional Review Board Statement
Data Availability Statement
Conflicts of Interest
References
- Leonard, A.F.C.; Morris, D.; Schmitt, H.; Gaze, W.H. Natural recreational waters and the risk that exposure to antibiotic resistant bacteria poses to human health. Curr. Opinion Microbiol. 2022, 65, 40–46. [Google Scholar] [CrossRef] [PubMed]
- Peterson, E.; Kaur, P. ; Antibiotic resistance mechanisms in bacteria: relationships between resistance determinants of antibiotic producers, environmental bacteria, and clinical pathogens. Front. Microbiol. 2018, 9, 2928. [Google Scholar] [CrossRef]
- Polianciuc, S.I.; Gurzău, A.E.; Ștefan, M.G.; Loghin, F. Antibiotics in the environment: causes and consequences. Med. Pharm. Rep. 2020, 93, 231–240. [Google Scholar] [CrossRef] [PubMed]
- Yang, Q.; Gao, Y.; Ke, J.; Show, P.L.; Ge, Y.; Liu, Y.; Guo, R.; Chen, J. Antibiotics: An overview on the environmental occurrence, toxicity, degradation, and removal methods. Bioengineered 2021, 12, 7376–7416. [Google Scholar] [CrossRef] [PubMed]
- Onorato, L.; Gentile, V.; Russo, A.; Di Caprio, G.; Alessio, L.; Chiodini, P.; Coppola, N. Standard versus high dose of rifampicin in the treatment of pulmonary tuberculosis: a systematic review and meta-analysis. Clinical Microbiol. Infect. 2021, 27, 830–837. [Google Scholar] [CrossRef]
- Izudi, J.; Bajunirwe, F.; Cattamanchi, A. Increase in rifampicin resistance among people previously treated for TB. Public Health Act. 2023, 13, 4–6. [Google Scholar] [CrossRef]
- Huang, C.H.; Amodio, P. ; Can rifaximin for hepatic encephalopathy be discontinued during broad-spectrum antibiotic treatment? World J. Hepatol. 2024, 16, 115–119. [Google Scholar] [CrossRef]
- Li, Y.; Jin, K.; Han, Y.; Lv, L.; Ding, H. Long-term Use of Rifaximin in Cirrhotic Patients with Hepatic Encephalopathy: A Mini Review. J. Trans. Gastroenterol. 2025. [Google Scholar] [CrossRef]
- Kampouris, I.D.; Alygizakis, N.; Klümper, U.; Agrawal, S.; Lackner, S.; Cacace, D.; Kunze, S.; Thomaidis, N.S.; Slobdonik, J.; Berendonk, T.U. Elevated levels of antibiotic resistance in groundwater during treated wastewater irrigation associated with infiltration and accumulation of antibiotic residues. J. Hazard. Mater. 2022, 423, 127155. [Google Scholar] [CrossRef]
- Ajibade, F.O.; Yin, W.X. , Guadie, A.; Ajibade, T.F.; Liu, Y.; Kumwimba, M.N.; Liu, W.Z.; Han, J.L.; Wang, H.G.; Wang, A.J. Impact of biochar amendment on antibiotic removal and ARGs accumulation in constructed wetlands for low C/N wastewater treatment. Chem. Eng. J. 2023, 459, 141541. [Google Scholar] [CrossRef]
- Gao, D.; Li, B.; Huang, X.; Liu, X.; Li, R.; Ye, Z.; Wu, X.; Huang, Y.; Wang, G. A review of the migration mechanism of antibiotics during struvite recovery from wastewater. Chem. Eng. J. 2023, 466, 142983. [Google Scholar] [CrossRef]
- Bassetti, S.; Tschudin-Sutter, S.; Egli, A.; Osthoff, M. Optimizing antibiotic therapies to reduce the risk of bacterial resistance. Europ. J. Int. Med. 2022, 99, 7–12. [Google Scholar] [CrossRef] [PubMed]
- Islam, T.; Haque, A.; Barai, H.R.; Istiaq, A.; Kim, J.J. Antibiotic resistance in plant pathogenic bacteria: Recent data and environmental impact of unchecked use and the potential of biocontrol agents as an eco-friendly alternative. Plants, 2024, 13, 1135. [Google Scholar] [CrossRef]
- Ohore, O.E.; Qin, Z.; Sanganyado, E.; Wang, Y.; Jiao, X.; Liu, W.; Wang, Z. Ecological impact of antibiotics on bioremediation performance of constructed wetlands: Microbial and plant dynamics, and potential antibiotic resistance genes hotspots. J. Hazard. Mater. 2022, 424, 127495. [Google Scholar] [CrossRef] [PubMed]
- Azanu, D.; Adu-Poku, D.; Saah, S.A.; Appaw, W.O. Prevalence of pharmaceuticals in surface water samples in Ghana. J. Chem. 2021, 2021, 1–11. [Google Scholar] [CrossRef]
- Kassa, T.; Al-Sayidi, R.H.E. Impact of antibiotics on public health. World J. Experim. Biosci. 2023, 11, 25–30. [Google Scholar]
- Yang, X.; Chen, Z.; Zhao, W.; Liu, C.; Qian, X.; Zhang, M.; Wei, G.; Khan, E.; Hau Ng, Y.; Sik Ok, Y. Recent advances in photodegradation of antibiotic residues in water. Chem. Eng. J. 2021, 405, 126806. [Google Scholar] [CrossRef]
- Bai, X.; Chen, W.; Wang, B.; Sun, T.; Wu, B.; Wang, Y. Photocatalytic degradation of some typical antibiotics: Recent advances and future outlooks. Int. J. Mol. Sci. 2022, 23, 8130. [Google Scholar] [CrossRef]
- Cuerda-Correa, E.M.; Alexandre-Franco, M.F.; Fernández-González, C. Advanced oxidation processes for the removal of antibiotics from water. An overview. Water 2020, 12, 102. [Google Scholar] [CrossRef]
- Wang, X.; Jing, J.; Zhous, M.; Dewil, R. Recent advances in H2O2-based advanced oxidation processes for removal of antibiotics from wastewater. Chinese Chem. Lett. 2023, 34, 107621. [Google Scholar] [CrossRef]
- Wang, N.; Peng, L.; Gu, Y.; Liang, C.; Pott, R.W.M.; Xu, Y. Insights into biodegradation of antibiotics during the biofilm-based wastewater treatment processes. J. Clean. Prod. 2023, 393, 136321. [Google Scholar] [CrossRef]
- Wang, X.; Li, F.; Hu, X.; Hua, T. Electrochemical advanced oxidation processes coupled with membrane filtration for degrading antibiotic residues: A review on its potential applications, advances, and challenges. Sci. Total. Environ. 2021, 784, 146912. [Google Scholar] [CrossRef] [PubMed]
- Hacıosmanoglu, G.G.; Mejías, C.; Martín, J.; Santos, J.L.; Aparicio, I.; Alonso, E. Antibiotic adsorption by natural and modified clay minerals as designer adsorbents for wastewater treatment: A comprehensive review. J. Environ. Manag. 2022, 317, 115397. [Google Scholar] [CrossRef] [PubMed]
- Mangla, D.; Annu; Sharma, A.; Ikram, S. Critical review on adsorptive removal of antibiotics: Present situation, challenges and future perspective. J. Hazard. Mater. 2022, 425, 127946. [Google Scholar] [CrossRef] [PubMed]
- Ahmed, M.B.; Zhou, J.L.; Ngo, H.H.; Guo, W. Adsorptive removal of antibiotics from water and wastewater: Progress and challenges. Sci. Total Environ. 2015, 532, 112–126. [Google Scholar] [CrossRef]
- Du, C.; Zhang, Z.; Yu, G.; Wu, H.; Chen, H.; Zhou, L.; Zhang, Y.; Su, Y.; Tan, S.; Yang, L.; Song, J.; Wang, S. A Review of Metal Organic Framework (MOFs)-Based Materials for Antibiotics Removal via Adsorption and Photocatalysis. Chemosphere 2021, 272, 129501. [Google Scholar] [CrossRef]
- Maged, A.; Dissanayake, P.D.; Yang, X.; Pathirannahalage, C.; Bhatnagar, A.; Ok, Y.S. New mechanistic insight into rapid adsorption of pharmaceuticals from water utilizing activated biochar. Environ. Res. 2021, 202, 111693. [Google Scholar] [CrossRef]
- Mahmoud, M.E.; Amira, M.F.; Seleim, S.M.; Mohamed, A.K. Metaleorganic framework-functionalized coppereamine complex: a robust nanocomposite for doxycycline antibiotic removal. J. Chem. Eng. Data 2020, 65, 3546–3559. [Google Scholar] [CrossRef]
- Yu, J.; Bai, L.; Feng, Z.; Chen, L.; Xu, S.; Wang, Y. Waste treats waste: Facile fabrication of porous adsorbents from recycled PET and sodium alginate for efficient dye removal. Chemosphere 2024, 355, 141738. [Google Scholar] [CrossRef]
- Bıyıkoğlu, M. Innovative approaches in wastewater treatment: kinetic and isotherm investigation of dye adsorption on sulfur-modifed PET fbers. Res. Chem. Intermed. 2025, 51, 3281–3299. [Google Scholar] [CrossRef]
- Ahmed, Y.; Rahman, M.M.; Alam, M.S.; Miah, M.I.; Choudhury, M.S.H.; Alharbi, O.A.; Akhtar, P.; Rahman, S.M. Harnessing neural network model with optimization for enhanced ciprofloxacin antibiotic adsorption from contaminated water: A transparent and objective framework. J. Water. Proc. Eng. 2024, 65, 105724. [Google Scholar] [CrossRef]
- Gholami, Z.; Azqhandi, M.A.; Sabzevari, M.H.; Khazali, F. Evaluation of least square support vector machine, generalized regression neural network and response surface methodology in modeling the removal of Levofloxacin and Ciprofloxacin from aqueous solutions using ionic liquid@ Graphene oxide@ ionic liquid NC. Alexandria Eng. J. 2023, 73, 593–606. [Google Scholar] [CrossRef]
- Khazaie, A.; Kia, H.; Moniri, E.; Hassani, A.H.; Miralinaghi, M. Adsorption modeling of tetracycline removal by multi-walled carbon nanotube functionalized with aspartic acid and poly-pyrrole using Bayesian optimized artificial neural network. J. Taiwan Inst. Chem. Eng. 2023, 144, 104743. [Google Scholar] [CrossRef]
- Jiang, S.; Zhou, Y.; Xu, W.; Xia, Q.; Yi, M.; Cheng, X. Machine learning-driven optimization and application of bimetallic catalysts in peroxymonosulfate activation for degradation of fluoroquinolone antibiotics. Chem. Eng. J. 2024, 486, 150297. [Google Scholar] [CrossRef]
- Drăgoi, E.N.; Cârlescu, I.; Puf, R.; Vasiliu, T.; Epure, E.L. Neuro-Evolutive Modeling of Transition Temperatures for Five-Ring Bent-Core Molecules Derived from Resorcinol. Crystal 2023, 13, 583. [Google Scholar] [CrossRef]
- Erdem, H. The application of different technologies for removal of rifampicin from aquatic environments. A recent review. Dicle Univ. J. Eng. 2023, 14, 145–163. [Google Scholar] [CrossRef]
- Kogawa, A.C.; Salgado, H. Status of Rifaximin: A review of characteristics, uses and analytical methods. Crit. Rev. Anal. Chem. 2018, 48, 1–8. [Google Scholar] [CrossRef]
- Becker, C.; Dressman, J.B.; Junginger, H.E.; Kopp, S.; Midha, K.K.; Shah, V.P.; Stavchansky, S.; Barends, D.M. Biowaiver monographs for immediate release solid oral dosage forms: Rifampicin. J. Pharm. Sci. 2009, 98, 2252–2267. [Google Scholar] [CrossRef]
- Fryer, D.; Strümke, I.; Nguyen, H. Shapley values for feature selection: The good, the bad, and the axioms. IEEE Access 2021, 9, 144352–144360. [Google Scholar] [CrossRef]
- Damayanti; Wu, H.S. Strategic Possibility Routes of Recycled PET. Polymers 2021, 13, 1475. [Google Scholar] [CrossRef]
- Rangabhashiyam, S.; Anu, N.; Nandagopal Giri, M.S.; Selvaraju, N. Relevance of isotherm models in biosorption of pollutants by agricultural by-products. J. Environ. Chem. Eng. 2014, 2, 398–414. [Google Scholar] [CrossRef]
- Majid, A.F.A.M.; Dewi, R.; Shahri, N.N.M.; Shahrin, E.W.E.S.; Kusrini, E.; Shamsuddin, N.; Lim, J.W.; Thongratkaew, S.; Faungnawakij, K.; Usman, A. Enhancing adsorption performance of alkali activated kaolinite in the removal of antibiotic rifampicin from aqueous solution. Coll. Surf. A: Physico-Chem. Eng. Aspects 2023, 676, 132209. [Google Scholar] [CrossRef]
- Henrique, D.C.; Quintela, D.U.; Ide, A.H.; Erto, A.; da Silva Duarte, J.L.; Meili, L. Calcined Mytella falcata shells as alternative adsorbent for efficient removal of rifampicin antibiotic from aqueous solutions. J. Environ. Chem. Eng. 2020, 8, 103782. [Google Scholar] [CrossRef]
- Altamer, D.H.; Alqazzaz, W.A.; Fadhi, A.B. Adsorption behavior of Rifampicin from aqueous solution onto locally available mud: Equilibrium, kinetics, and thermodynamic study. Iran. J. Chem. Chem. Eng. 2023, 42, 139–154. [Google Scholar]
- Erdem, M.; Orhan, R.; Şahin, M.; Aydın, E. Preparation and characterization of a novel activated carbon from vine shoots by ZnCl2 activation and investigation of its rifampicine removal capability. Water, Air Soil Pollut. 2016, 227, 226. [Google Scholar] [CrossRef]
- Malmir, M.; Shemirani, F. NiFe2O4/GO nanocomposite as an effective adsorbent for modelling removal of rifaximin from pharmaceutical wastewater using Box–Behnken response surface methodology. Russian J. Gen. Chem. 2024, 93, S934–S945. [Google Scholar] [CrossRef]
- Tan, K.L.; Hameed, B.H. Insight into the adsorption kinetics models for the removal of contaminants from aqueous solutions. J. Taiwan Inst. Chem. Eng. 2017, 74, 25–48. [Google Scholar] [CrossRef]
- Wang, J.; Guo, X. Rethinking of the intraparticle diffusion adsorption kinetics model: Interpretation, solving methods and applications. Chemosphere 2022, 309, 136732. [Google Scholar] [CrossRef]
- Lima, E.C.; Gomes, A.A.; Tran, H.N. Comparison of the nonlinear and linear forms of the van’t Hoff equation for calculation of adsorption thermodynamic parameters (ΔS° and ΔH°). J. Molec. Liq. 2020, 311, 113315. [Google Scholar] [CrossRef]
- Cao, G.; Zhao, L.; Ji, X.; Peng, Y.; Yu, M.; Wang, X.; Li, X.; Ran, F. “Salting out” in Hofmeister effect enhancing mechanical and electrochemical performance of amide-based hydrogel electrolytes for flexible zinc-ion battery. Small 2023, 19, 2207610. [Google Scholar] [CrossRef]
- Al-Rawajfeh, A.E.; Al-Amaireh, M.N. The influence of CO2 injection on the carbonate chemistry and scaling in multiple-effect distillers. Desalin. Water Treat. 2009, 7, 191–197. [Google Scholar] [CrossRef]
- Xu, J.; Marsac, R.; Costa, D.; Cheng, W.; Wu, F.; Boily, J.F.; Hanna, K. Co-Binding of Pharmaceutical Compounds at mineral surfaces: Molecular investigations of dimmer formation at goethite/water interfaces. Environ. Sci. Technol. 2017, 51, 8343–8349. [Google Scholar] [CrossRef] [PubMed]
- Guan, X.; Guo, J.; Zhang, H.; Tao, Z.; Mailhot, G.; Wu, F.; Xu, J. Effect of co-existing cations and anions on the adsorption of antibiotics on iron-containing minerals. Molecules 2022, 27, 8037. [Google Scholar] [CrossRef] [PubMed]












| Characteristic | RIF | RIX | Reference |
|---|---|---|---|
| Chemical formula | C43H58N4O12 | C43H51N3O11 | [36,37] |
| Chemical structure | ![]() |
![]() |
|
| Molecular mass, g/mol | 822.405 | 785.352 | |
| Dissociation constant (pKa) | 1.8; 7.9 | 2.08; 3.02; 7.28; 11.32; 12.55 | [37,38] |
| Solubility, mg/L | 50.0 | 12.0 |
| Sub-set | Indicator | Value |
|---|---|---|
| Training | R2 | 0.961 |
| MAE | 2.994 | |
| MSE | 21.016 | |
| MAPE | 0.182 | |
| Testing | R2 | 0.655 |
| MAE | 7.266 | |
| MSE | 141.239 | |
| MAPE | 0.484 |
| Model | Equation | Parameter | RIF | RIX |
|---|---|---|---|---|
| Langmuir | R2 | 0.9871 | 0.9791 | |
| RMSD | 0.024 | 0.043 | ||
| Chi-square | 0.016 | 0.022 | ||
| qmax, mg/g | 44.84 | 15.63 | ||
| KL, L/g | 0.0731 | 0.1141 | ||
| Freundlich | R2 | 0.8799 | 0.9793 | |
| RMSD | 0.034 | 0.076 | ||
| Chi-square | 0.029 | 0.086 | ||
| 1/n | 0.43 | 0.23 | ||
| KF, L/g | 6.6054 | 5.1642 | ||
| Temkin | R2 | 0.9461 | 0.9209 | |
| RMSD | 0.019 | 0.083 | ||
| Chi-square | 0.012 | 0.078 | ||
| AT, L/g | 8.55 | 2.08 | ||
| B, J/mol | 810.53 | 893.79 |
| Adsorbent | qmax, mg/g | Reference | |
| RIF | RIX | ||
| Alkali-activated kaolin | 8.29 | - | [42] |
| Calcined Mytella falcata shells | 20.70 | - | [43] |
| Acid-Activated Iraqi Red Mud | 195.69 | - | [44] |
| Activated carbon with ZnCl2 | 476.2 | - | [45] |
| NiFe2O4/GO Nanocomposite | - | 30.12 | [46] |
| PET fibers | 44.84 | 15.63 | This study |
| Model | Equation | Parameter | RIF | RIX | |
|---|---|---|---|---|---|
| qe, exp, mg/g | 21.58 | 11.51 | |||
| Pseudo-first order model | R2 | 0.9312 | 0.9089 | ||
| RMSD | 0.117 | 0.051 | |||
| Chi-square | 0.823 | 1.204 | |||
| qe,cal, mg/g | 12.64 | 8.07 | |||
| k1, 1/min | 0.0034 | 0.0039 | |||
| Pseudo-second order model | R2 | 0.9994 | 0.9997 | ||
| RMSD | 0.024 | 0.007 | |||
| Chi-square | 0.096 | 0.016 | |||
| qe,cal, mg/g | 21.93 | 11.75 | |||
| k2, g/mg min | 0.0019 | 0.0031 | |||
| Intra-particle diffusion model | I | RMSD | 0.052 | 0.011 | |
| Chi-square | 0.002 | 0.028 | |||
| R2 | 0.9799 | 0.9957 | |||
| kdiff, mg/g min1/2 | 0.9238 | 0.6985 | |||
| c, mg/L | 6.67 | 1.81 | |||
| II | R2 | 0.6462 | 0.6253 | ||
| kdiff, mg/g min1/2 | 0.0846 | 0.0432 | |||
| c, mg/L | 18.62 | 9.99 | |||
| Antibiotic | T, K | ΔG0, kJ/mol | ΔH0, kJ/mol | ΔS0, J/mol K |
| ΔG0 = -RT lnKL | lnKL = | ΔS0 = (ΔH0 - ΔG0)/T | ||
| RIF | 283.15 | -13.07 | 0.41 | 47.61 |
| 293.15 | -10.26 | 36.38 | ||
| 323.15 | -10.30 | 33.12 | ||
| RIX | 283.15 | -12.41 | 0.07 | 43.81 |
| 293.15 | -12.40 | 42.28 | ||
| 323.15 | -13.43 | 41.57 |
Disclaimer/Publisher’s Note: The statements, opinions and data contained in all publications are solely those of the individual author(s) and contributor(s) and not of MDPI and/or the editor(s). MDPI and/or the editor(s) disclaim responsibility for any injury to people or property resulting from any ideas, methods, instructions or products referred to in the content. |
© 2025 by the authors. Licensee MDPI, Basel, Switzerland. This article is an open access article distributed under the terms and conditions of the Creative Commons Attribution (CC BY) license (http://creativecommons.org/licenses/by/4.0/).

