Submitted:
26 June 2025
Posted:
27 June 2025
You are already at the latest version
Abstract
Keywords:
1. Introduction
2. Materials and Methods
2.1. Material Preparation
2.2. Treatment Selection and Strand Size Distribution
2.3. OSB Panel Manufacturing
2.4. Vertical Density Profile Measurements
2.5. Determination of Mechanical and Physical Properties
2.6. Statistical Analysis
3. Results and Discussion
3.1. Strand Size Distribution
3.2. Vertical Density Profile
3.3. Mechanical Properties
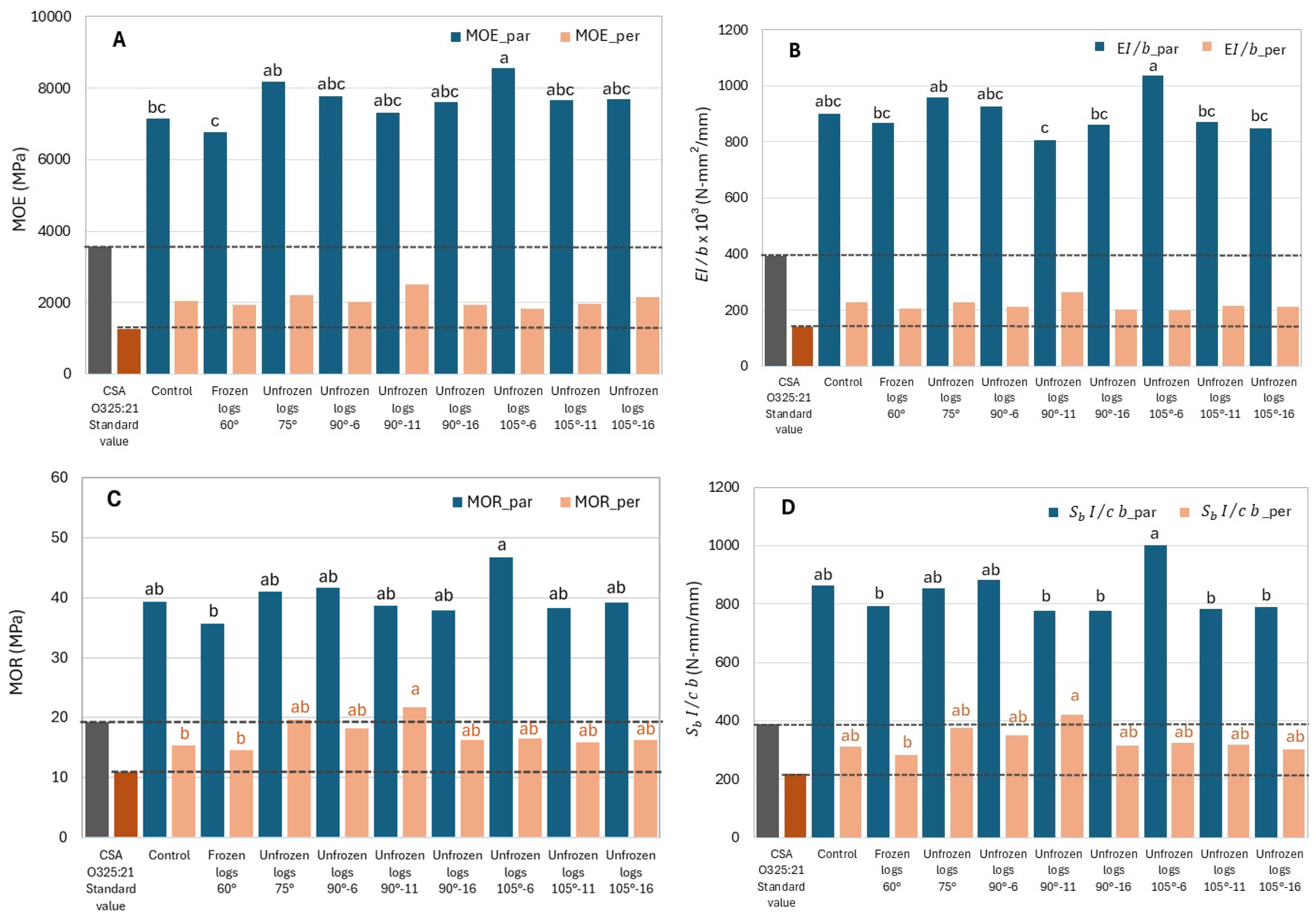
3.3.1. Static Bending Properties
3.3.2. Internal Bond Strength
3.4. Dimensional Stability
3.4.1. Thickness Swelling and Water Absorption after a 24-Hour Soak
3.4.2. Linear Expansion and Thickness Expansion
4. Conclusions
- The strander-canter produced a greater proportion of medium-size strands, whereas the industrial process exhibited a higher proportion of coarse strands.
- The use of jack pine strands in the core layer had no significant effect on the vertical density profiles of the OSB panels.
- All panels, regardless of log conditions or cutting parameters, far exceeded the CSA O325:21 standard requirements for bending properties. In certain instances, the jack pine strands improved bending performance.
- Panels containing jack pine strands exhibited IB strength comparable to control panels. Notably, the unfrozen_logs_90o-11 and unfrozen_logs_105o-16 treatments showed higher IB values, likely due to reduced strand specific surface area and greater adhesive coverage per unit of surface area.
- Panels containing jack pine strands showed significantly higher thickness swelling and water absorption than control panels. This is likely due to the anatomical structure of jack pine (latewood vs earlywood) and the thicker strands produced, which probably increased panel porosity. To improve dimensional stability, it is recommended to adjust cutting parameters to produce thinner strands, consider softwood species with more uniform wood structure, and explore pressing strategies to reduce density gradients between surface and core layers.
Author Contributions
Funding
Data Availability Statement
Acknowledgments
Conflicts of Interest
Abbreviations
| ANOVA | Analysis of variance |
| CKA | counter-knife angle |
| CKD | Counter-knife and knife-edge distance |
| Core_dens | Average core density |
| _par | Bending stiffness per mm specimen width in the parallel direction |
| _per | Bending stiffness per mm specimen width in the perpendicular direction |
| IB | Internal bond |
| LE_par | Linear expansion in the parallel direction |
| LE_per | Linear expansion in the perpendicular direction |
| MOE_par | Modulus of elasticity parallel to the strength axis |
| MOE_per | Modulus of elasticity perpendicular to the strength axis |
| MOR_par | Modulus of rupture parallel to the strength axis |
| MOR_per | Modulus of rupture perpendicular to the strength axis |
| OSB | Oriented strand board |
| Overall_dens | Average overall density |
| PF | Phenol-formaldehyde |
| _par | Maximum bending moment per mm specimen width in the parallel direction |
| _per | Maximum bending moment per mm specimen width in the perpendicular direction |
| Surface_dens | Maximum surface density |
| TE_par | Thickness expansion in the parallel direction |
| TE_per | Thickness expansion in the perpendicular direction |
| TS_24h | Thickness swelling after 24-hour water soaking |
| WA_24h | Water absorption after 24-hour water soaking |
References
- FAO. FAOSTAT: Forestry production and trade. Available online: https://www.fao.org/faostat/en/#data (accessed on 23 May 2025).
- Zhuang, B.; Cloutier, A.; Koubaa, A. Effects of strands geometry on the physical and mechanical properties of oriented strand boards (OSBs) made from black spruce and trembling aspen. BioResources. 2022a, 17(3), 3929-3943. [CrossRef]
- Zhuang, B.; Cloutier, A.; Koubaa, A. Physical and mechanical properties of oriented strand board made from eastern Canadian softwood species. Forests. 2022b, 13, 523. [CrossRef]
- Zhang, S.Y. (Tony); Koubaa, A. Les résineux de l’Est du Canada: écologie forestière, caractéristiques, transformation et usages (in French). Publication spéciale SP-526F, FPInnovations: Québec, Quebec, Canada, 2009.
- Gouvernement du Québec (2021). La forêt démystifiée : comment les arbres récoltés au Québec sont-ils utilisés. https://www.quebec.ca/nouvelles/actualites/details/foret-demystifiee-comment-arbres-recoltes-utilises-32864.
- Ghosh, S.C.; H Hernández, R.E.; Blais, C. Effect of knife wear on surface quality of black spruce cants produced by a chipper-canter. Wood Fiber Sci. 2015, 47(4), 355-364.
- Alipraja, I.; Hernández, R.E.; Cáceres, C.B.; Koubaa, A. Towards strand production in primary log breakdown: effects of the counter-knife and temperature on size distribution of jack pine strands. BioResources. 2022, 17(2), 2632-2651. [CrossRef]
- Alipraja, I.; Hernández, Koubaa, A. Effects of wood species on the energy requirements and size distribution of strands produced by a strander-canter. BioResources. 2023, 18(3), 5873-5886.
- Beck, K.; Cloutier, A.; Salenikovih, A.; Beauregard, R. Effect of strand geometry and wood species on strandboard mechanical properties. Wood Fiber Sci. 2009, 41(3), 267-278.
- Xing, C.; Matuan, L.M.; Dawson-Andoh, B.E. Effect of processing parameters on the quality of red oak flakes. Inter Wood Prod J. 2017, 8(3), 139-143. [CrossRef]
- Pipíška, T.; Nociar, M.; Král, P.; Ráhel’, J.; Bekhta, P.; Réh, R.; et al. Characterization of randomly oriented strand boards manufactured from juvenile wood of underutilized wood species. Eur. J. Wood Prod. 2024, 82, 927–941. [CrossRef]
- Dai, C.; Yu, C.; Zhou, X. Heat and mass transfer in wood composite panels during hot pressing. Part II. modeling void formation and mat permeability. Wood Fiber Sci. 2005, 37(2), 242-257.
- Li, P.; Wang, S.; Chen, S.; Wang, F. A three-dimensional solid model for OSB mat. Forest Prod J. 2008, 58(1/2), 53-58.
- Pham Van, T.; Schöpper, C.; Klüppel, A.; Mai, C. Effect of wood and panel density on the properties of lightweight strand boards. Wood Mater Sci Eng. 2019, 16(4), 237–245. [CrossRef]
- Lunguleasa, A.; Dumitrascu, A.-E.; Spirchez, C.; Ciobanu, V.-D. Influence of the strand characteristics on the properties of oriented strand boards obtained from resinous and broad-leaved fast-growing species. Appl Sci. 2021, 11(4), 1784. [CrossRef]
- Alipraja, I. Fabrication de copeaux en forme de lamelles à l’aide d’une équarrisseuse-fragmenteuse. Ph.D. Thesis, Université Laval, Québec, Canada, 2023.
- ASTM D1037-12 (Reapproved 2020). Standard Test Methods for Evaluating Properties of Wood-based Fiber and Particle Panel Materials. ASTM International, West Conshohocken, PA, United States, 2020.
- CSA O325:21 Construction sheathing (NIST PS 2-18, MOD). Canadian Standard Association (CSA), Toronto, Ontario, Canada, 2021.
- ASTM D3043-17 Standard Test Methods for Structural Panels in Flexure. ASTM International, West Conshohocken, PA, United States, 2017.
- Chang, W. Thickness swelling behaviour of oriented strand board. Master, University of Toronto, Toronto, Canada, 1999.
- Garcia, R.A.; Rosero-Alvarado, J.; Hernández, R.E. Moisture-induced strains in earlywood and latewood of mature and juvenile woods in jack pine from 3D-DIC measurements. Wood Mater Sci Eng. 2022, 18(2), 570-579. [CrossRef]
- Lube, V.M. Effects of moisture-induced thickness swelling on the microstructure of oriented strand board. Master, University of British Columbia, Vancouver, Canada, November 2016.
- Tao, Y.; Li, P. Analyzing the relationships between processing parameters and fractal dimension of void size on cross-sections of oriented strandboards. BioResources. 2016, 11(4), 9154-9161. [CrossRef]
- Han, G.; Wu, Q.; Lu, J.Z. The influence of fines content and panel density on properties of mixed hardwood oriented strandboard. Wood Fiber Sci. 2007, 39(1), 2-15.







| OSB manufacturing parameters | Condition | |
| PF resin (liquid) |
Solid content | 55% |
| Brookfield viscosity at 25 oC | 140 cPs | |
| pH at 25 oC | 10.8 | |
| Emulsion wax | Solid wax content | 58% |
| Brookfield viscosity, at 25 oC | 93 cPs | |
| pH at 25 oC | 8.67 | |
| Mat formation | Target mat moisture content1 | 8% |
| Panel dimensions (length x width x thickness) | 760 mm x 760 mm x 11 mm | |
| Target panel density | 630 kg/m3 | |
| Mass proportion of layers (surface/ core/ surface) | 30: 40: 30 | |
| Moisture content1 (surface/core) | 10% / 7% | |
| PF resin content1 (surface/core) | 7% / 5% | |
| Emulsion wax content1 (surface/core) | 1% / 0.5% | |
| Hot pressing conditions | Press platen temperature | 200 oC |
| Press closing time | 10 s | |
| Resin curing time | 310 s | |
| Press opening time at multi-step | 87 s | |
| Total pressing time | 407 s | |
| Strand size | Screen holes | Control | Frozen logs_60° | Unfrozen logs_75° |
Unfrozen logs_90° 6 |
Unfrozen logs_90° 11 | Unfrozen logs_90° 16 | Unfrozen logs_105° 6 | Unfrozen logs_105° 11 | Unfrozen logs_105° 16 |
| Coarse | 70 mm | 2.1 | 0.2 | 0.7 | 0.1 | 0.5 | 0.1 | 0.1 | 0.1 | 0 |
| 45 mm | 38.5 | 12.5 | 22.1 | 10.0 | 14.2 | 11,7 | 7.7 | 9.7 | 13.2 | |
| 28.6 mm | 20.8 | 18.9 | 29.3 | 20.1 | 23.2 | 27.6 | 17.3 | 21.4 | 25.4 | |
| Medium | 22.2 mm | 19.9 | 18.9 | 18.7 | 19.1 | 18.9 | 22.3 | 18.4 | 20.1 | 20.4 |
| 15.9 mm | 10.0 | 20.5 | 15.3 | 21.7 | 19.9 | 19.1 | 22.7 | 21.2 | 19.5 | |
| 9.5 mm | 8.7 | 29.0 | 14.0 | 29.0 | 23.3 | 19.1 | 33.8 | 27.4 | 21.5 |
| Densities (kg/m3) | F values | Control | Frozen logs_60° | Unfrozen logs_75° | Unfrozen logs_ 90° 6 | Unfrozen logs_ 90° 11 | Unfrozen logs_90° 16 | Unfrozen logs_105°6 | Unfrozen logs_ 105° 11 | Unfrozen logs_105° 16 |
| Overall_dens | 3.81* [0.009] |
681 ab (6.9) |
718 a (2.6) |
622 ab (11.5) |
594 b (3.1) |
695 ab (5.3) |
635 ab (2.1) |
648 ab (2.7) |
614 ab (6.5) |
690 ab (5.1) |
| Surface_dens | 3.63* [0.011] |
914 ab (4.1) |
935 a (3.7) |
811 ab (10.7) |
791 b (3.5) |
895 ab (5.4) |
815 ab (1.9) |
865 ab (3.8) |
818 ab (7.8) |
894 ab (4.7) |
| Core_dens | 3.97* [0.007] |
619 ab (7.1) |
672 a (2.6) |
587 ab (10.7) |
561 b (3.7) |
642 ab (1.8) |
605 ab (1.5) |
605 ab (2.7) |
574 b (6.3) |
651 ab (4.3) |
| Treatment |
MOE (MPa) |
Bending stiffness per mm specimen width, EI / b x 103 (N-mm2/mm) |
MOR (Mpa) |
Maximum bending moment per mm specimen width, (N-mm/mm) |
||||
| Par | Per | Par | Per | Par | Per | Par | Per | |
| CSA O325:21 [18] reference value for 7/16 performance category1 | 3561 | 1271 | 395 | 141 | 19.3 | 10.9 | 390 | 220 |
| Control | 7151 bc (4.8) |
2050 (13.7) |
900 abc (6.2) |
229 (20) |
39.4 ab (5.9) |
15.4 b (10.3) |
865 ab (8.1) |
312 ab (11.1) |
| Frozen_logs_60° | 6770 c (7.5) |
1945 (19.9) |
869 bc (10.8) |
205 (20.6) |
35.6 b (18.5) |
14.6 b (20.0) |
793 b (20.3) |
283 b (19.7) |
| Unfrozen_logs_75° | 8185 ab (9.3) |
2215 (16.8) |
958 ab (9.1) |
229 (19.9) |
41.0 ab (11.7) |
19.6 ab (18.0) |
855 ab (9.5) |
377 ab (20.6) |
| Unfrozen_logs_90°-6 | 7785 abc (7.2) |
2024 (17.1) |
926 abc (10.1) |
212 (14.5) |
41.7 ab (9.5) |
18.2 ab (23.3) |
882 ab (12.5) |
352 ab (20.2) |
| Unfrozen_logs_90°-11 | 7321 abc (8.0) |
2504 (16.7) |
807 c (9.8) |
264 c (18.8) |
38.7 ab (12.7) |
21.7 a (19.0) |
778 b (14.8) |
422 a (20.5) |
| Unfrozen_logs_90°-16 | 7599 abc (8.4) |
1930 (8.8) |
863 bc (8.5) |
201 (6.3) |
37.9 ab (11.1) |
16.2 ab (10.4) |
777 b (12.1) |
314 ab (10.4) |
| Unfrozen_logs_105°-6 | 8557 a (10.4) |
1841 (16.7) |
1037 a (10.0) |
198 (15.0) |
46.8 a (11.3) |
16.5 ab (15.0) |
1001 a (11.0) |
326 ab (14.2) |
| Unfrozen_logs_105°-11 | 7654 abc (10.0) |
1958 (20.1) |
872 bc (5.7) |
214 (25.3) |
38.2 ab (17.2) |
15.9 ab (21.4) |
785 b (15.7) |
317 ab (24.5) |
| Unfrozen_logs_105°-16 | 7679 abc (10.3) |
2146 (30.4) |
848 bc (6.5) |
211 (34.6) |
39.2 ab (13.5) |
16.3 ab (26.6) |
789 b (10.8) |
302 ab (27.1) |
| Dependent variables | F value | p-value |
| MOE_par | 3.79 | 0.0017* |
| MOE_per | 1.57 | 0.1597NS |
| _par | 4.47 | 0.0005* |
| _per | 1.19 | 0.3270NS |
| MOR_par | 6.36 | < 0.0001* |
| MOR_per | 2.08 | 0.0131* |
| _par | 2.81 | 0.0130* |
| _per | 2.56 | 0.0216* |
| IB | 8.84 | < 0.0001* |
| TS_24h | 6.62 | < 0.0001* |
| WA_24h | 52.21 | < 0.0001* |
| LE_par | 0.61 | 0.765NS |
| LE_per | 1.84 | 0.099NS |
| TE_par | 2.01 | 0.067NS |
| TE_per | 2.04 | 0.063NS |
|
Variable (%) |
Control | Frozen logs_60° | Unfrozen logs_75° |
Unfrozen logs_ 90° 6 |
Unfrozen logs_ 90° 11 |
Unfrozen logs_90° 16 |
Unfrozen logs_105° 6 |
Unfrozen logs_ 105° 11 |
Unfrozen logs_105° 16 |
| LE_par | 0.07 (40.5) |
0.05 (38.6) |
0.08 (44.7) |
0.07 (34.0) |
0.07 (8.1) |
0.07 (27.4) |
0.07 (34.7) |
0.08 (34.2) |
0.06 (23.2) |
| LE_per | 0.11 (40.7) |
0.07 (48.9) |
0.06 (47.9) |
0.08 (44.0) |
0.10 (33.8) |
0.09 (23.3) |
0.08 (62.2) |
0.10 (34.3) |
0.04 (68.7) |
| TE_par | 8.5 (12.1) |
9.8 (11.0) |
7.8 (16.9) |
7.8 (12.2) |
8.9 (10.6) |
9.4 (15.9) |
8.8 (7.6) |
8.3 (11.7) |
8.1 (12.2) |
| TE_per | 9.0 (12.5) |
7.7 (13.2) |
8.4 (13.2) |
7.4 (8.5) |
7.9 (15.0) |
7.8 (10.5) |
7.2 (8.1) |
8.2 (10.3) |
8.4 (15.1) |
Disclaimer/Publisher’s Note: The statements, opinions and data contained in all publications are solely those of the individual author(s) and contributor(s) and not of MDPI and/or the editor(s). MDPI and/or the editor(s) disclaim responsibility for any injury to people or property resulting from any ideas, methods, instructions or products referred to in the content. |
© 2025 by the authors. Licensee MDPI, Basel, Switzerland. This article is an open access article distributed under the terms and conditions of the Creative Commons Attribution (CC BY) license (http://creativecommons.org/licenses/by/4.0/).
