Submitted:
20 June 2025
Posted:
23 June 2025
You are already at the latest version
Abstract
Keywords:
1. Introduction
2. Literature Review
3. Methodology
3.1. Data Source
3.2. Model Selection Process
3.3. Software Tools
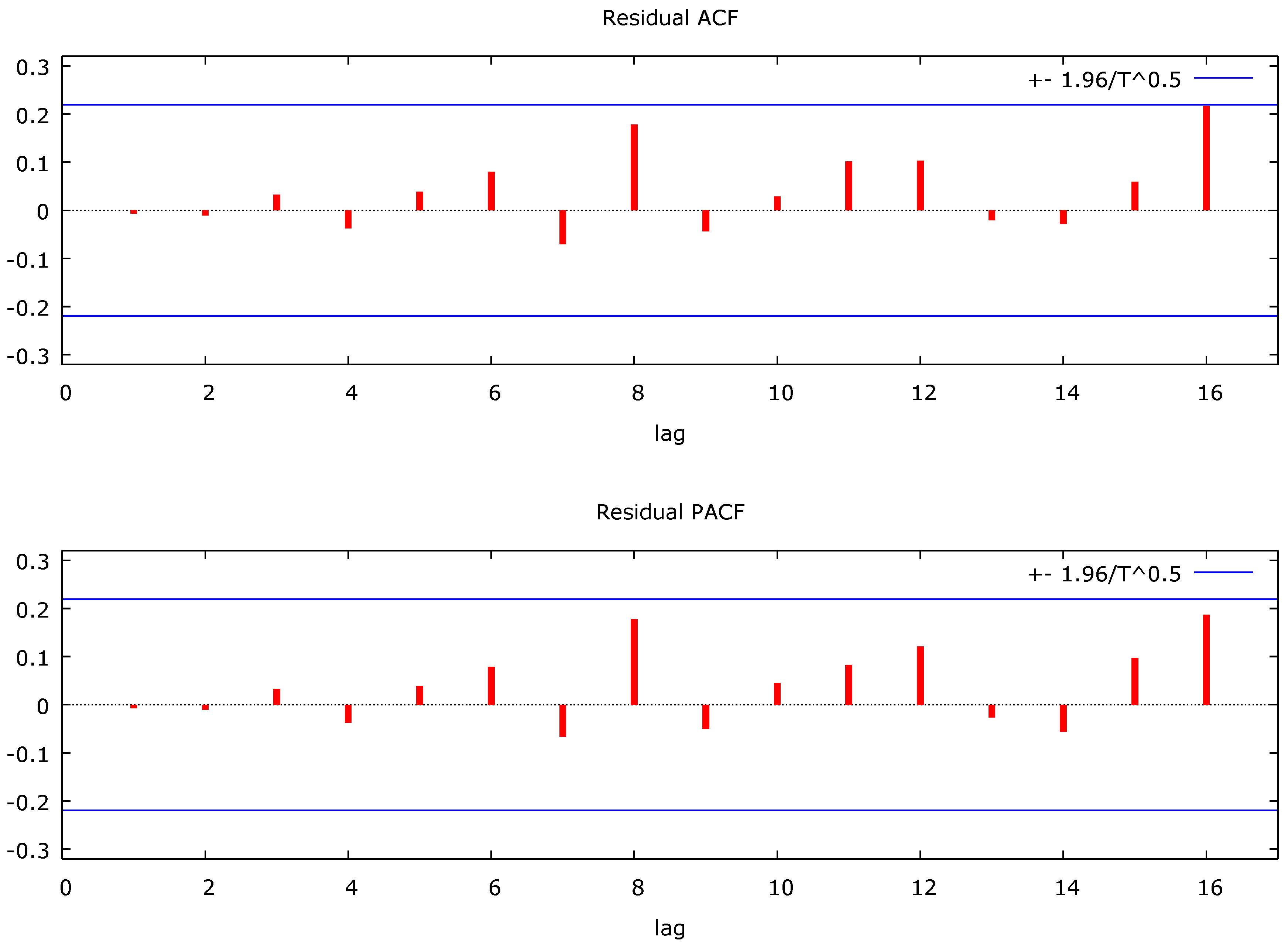
4. Results
4.1. Livebirths

| Dickey fuller | -0.352922 |
| P-value | 0.001950 |
| S/N | Model | Akaike Criterion | Schwarz Criterion | Hannan Quinn Criterion |
|---|---|---|---|---|
| 1. | ARMA(1,1) | 996.8713 | 1006.399 | 1000.691 |
| 2. | ARMA(1,2) | 997.7951 | 1009.705 | 1002.570 |
| 3. | ARMA(1,3) | 997.0495 | 1011.342 | 1002.780 |
| 4. | ARMA(1,4) | 997.1770 | 1013.851 | 1003.862 |
| 5. | ÀRIMA(2,1) | 998.4753 | 1010.385 | 1003.250 |
| 6. | ARIMA(2,2) | 998.7319 | 1013.024 | 1004.462 |
| 7. | ARMA(2,3) | 990.1766 | 1006.851 | 996.8618 |
| 8. | ARMA(2,4) | 992.0821 | 1011.138 | 999.7223 |
| 9. | ARIMA(3,1) | 997.8235 | 1012.116 | 1003.554 |
| 10. | ARMA(3,2) | 999.8183 | 1016.493 | 1006.503 |
| 11. | ARMA(3,3) | 992.0782 | 1011.134 | 999.7184 |
| 12. | ARMA(3,4) | 992.3840 | 1013.822 | 1000.979 |
| 13. | ARMA(4,1) | 999.8184 | 1016.493 | 1006.504 |
| 14. | ARMA(4,2) | 992.8446 | 1011.901 | 1000.485 |
| 15. | ARMA(4.3) | 994.0780 | 1015.516 | 1002.673 |
| 16. | ARMA(4,4) | 993.1728 | 1016.993 | 1002.723 |

| Observation | Prediction | std. Error | 95% Interval |
|---|---|---|---|
| 2021:1 | 445.584 | 104.061 | (241.628, 649.540) |
| 2021:2 | 343.792 | 112.902 | (122.508, 565.076) |
| 2021:3 | 325.178 | 115.072 | (99.6402, 550.716) |
| 2021:4 | 337.374 | 124.964 | (92.4492, 582.299) |
| 2022:1 | 369.199 | 137.392 | (99.9154, 638.483) |
| 2022:2 | 408.186 | 146.375 | (121.297, 695.075) |
| 2022:3 | 443.702 | 150.379 | (148.964, 738.440) |
| 2022:4 | 468.810 | 151.146 | (172.570, 765.050) |
| 2023:1 | 480.793 | 151.161 | (184.523, 777.063) |
| 2023:2 | 480.597 | 151.831 | (183.013, 778.181) |
| 2023:3 | 471.614 | 153.125 | (171.495, 771.732) |
| 2023:4 | 458.255 | 154.363 | (155.709, 760.801) |

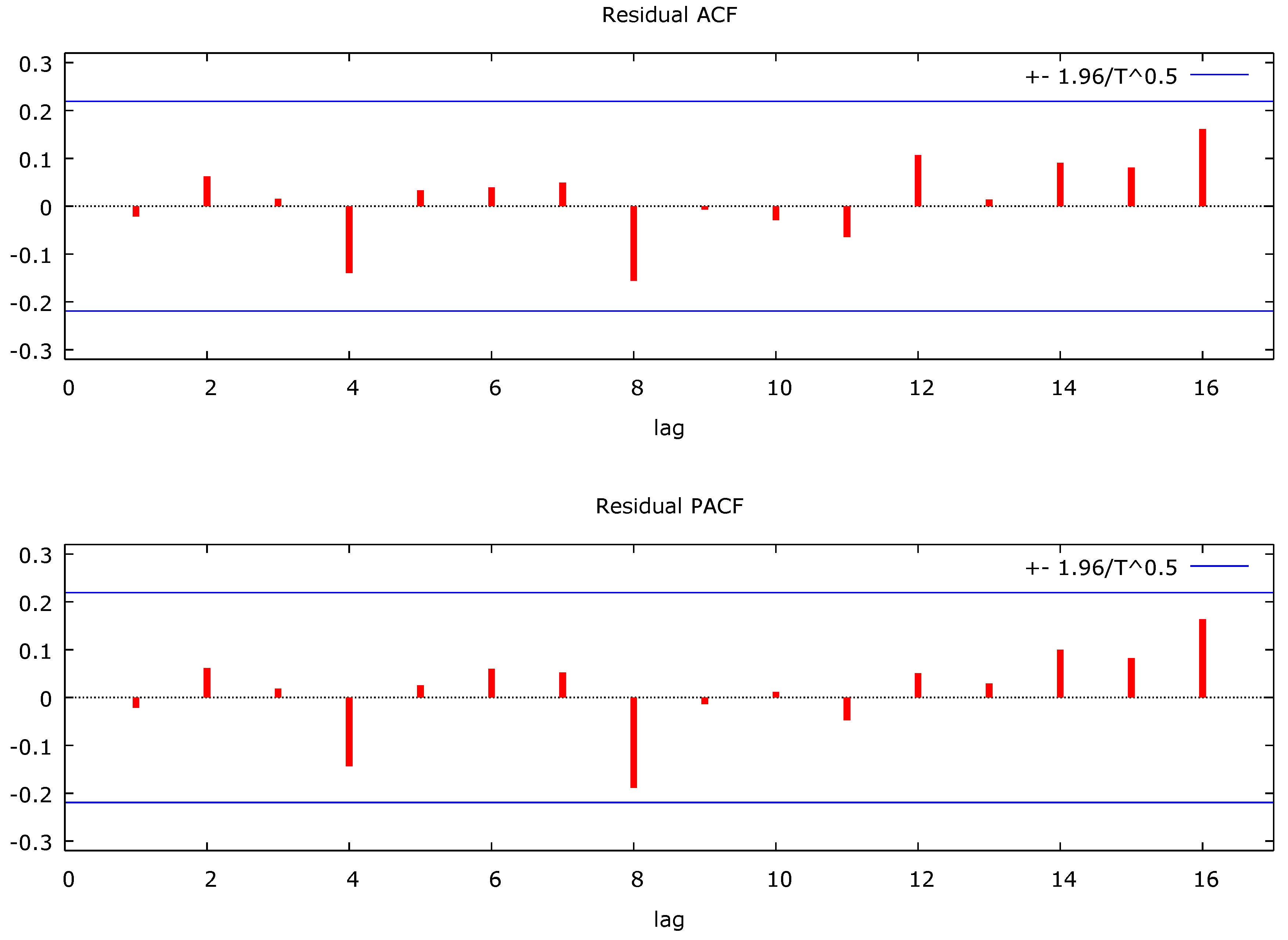
4.2. Stillbirths

| Dickey fuller | -0.765746 |
| P-value | 1.609e-007 |
4.2.1. Model Identification
| S/N | Model | Akaike Criterion | Schwarz Criterion | Hannan-Quinn Criterion |
|---|---|---|---|---|
| 1. | ARMA(1,1) | 600.6147 | 610.1428 | 604.4348 |
| 2 | ARMA(1,2) | 602.6021 | 614.5122 | 607.3772 |
| 3 | ARMA(1,3) | 597.7584 | 612.0506 | 603.4885 |
| 4 | ARMA(1,4) | 599.0405 | 615.7147 | 605.7257 |
| 5 | ARMA(2,1) | 602.6082 | 614.5183 | 607.3833 |
| 6 | ARMA(2,2) | 599.5910 | 613.8832 | 605.3212 |
| 7 | ARMA(2,3) | 598.3764 | 615.0506 | 605.0616 |
| 8 | ARIMA(2,4) | 600.3763 | 619.4325 | 608.0165 |
| 9 | ARMA(3,1) | 598.1364 | 612.4286 | 603.8666 |
| 10 | ARMA(3,2) | 598.2832 | 614.9574 | 604.9683 |
| 11 | ARMA(3,3) | 600.2506 | 619.3069 | 607.8908 |
| 12 | ARMA(3,4) | 602.2506 | 623.6889 | 610.8458 |


| Observation | Prediction | std. Error | 95% Interval |
|---|---|---|---|
| 2021:1 | 29.7517 | 9.37009 | (11.3867, 48.1168) |
| 2021:2 | 26.4700 | 9.62007 | (7.61505, 45.3250) |
| 2021:3 | 28.3299 | 9.66421 | (9.38836, 47.2714) |
| 2021:4 | 28.7793 | 10.1915 | (8.80434, 48.7544) |
| 2022:1 | 29.0838 | 10.4245 | (8.65212, 49.5155) |
| 2022:2 | 29.2900 | 10.5297 | (8.65220, 49.9278) |
| 2022:3 | 29.4297 | 10.5776 | (8.69799, 50.1614) |
| 2022:4 | 29.5243 | 10.5995 | (8.74967, 50.2989) |
| 2023:1 | 29.5884 | 10.6095 | (8.79408, 50.3827) |
| 2023:2 | 29.6318 | 10.6141 | (8.82847, 50.4351) |
| 2023:3 | 29.6612 | 10.6162 | (8.85374, 50.4686) |
| 2023:4 | 29.6811 | 10.6172 | (8.87175, 50.4904) |
5. Discussion
6. Conclusion and Recommendations
- Continue improving maternal health services
- Promote facility-based delivery
- Monitor and evaluate interventions using hospital data
References
- Blencowe, H. , Cousens, S., et al. (2016). Lancet Global Health.
- Box, G.E.P. , & Jenkins, G.M. (1976). Time Series Analysis: Forecasting and Control.
- Odendaal, H.J. , et al. (2021). JAMA Network Open.
- Malacova, E. , et al. (2018). International Journal of Epidemiology.
- WHO (2015). Stillbirth Estimates by Country.
- United Nations & WHO (2014). Civil Registration Guidelines.
Disclaimer/Publisher’s Note: The statements, opinions and data contained in all publications are solely those of the individual author(s) and contributor(s) and not of MDPI and/or the editor(s). MDPI and/or the editor(s) disclaim responsibility for any injury to people or property resulting from any ideas, methods, instructions or products referred to in the content. |
© 2025 by the authors. Licensee MDPI, Basel, Switzerland. This article is an open access article distributed under the terms and conditions of the Creative Commons Attribution (CC BY) license (http://creativecommons.org/licenses/by/4.0/).