Submitted:
12 June 2025
Posted:
13 June 2025
Read the latest preprint version here
Abstract
Keywords:
1. Introduction
2. Thermal Analysis of the Heat Sink
3. Thermodynamic Modelling of Thermoelectric Cooling System
3.1. Thermal Model of the Refrigeration System and Energy Analysis
3.2. Exergy Analysis
4. Performance Analysis of the Thermoelectric Cooling Unit
5. Experimental Set-Up
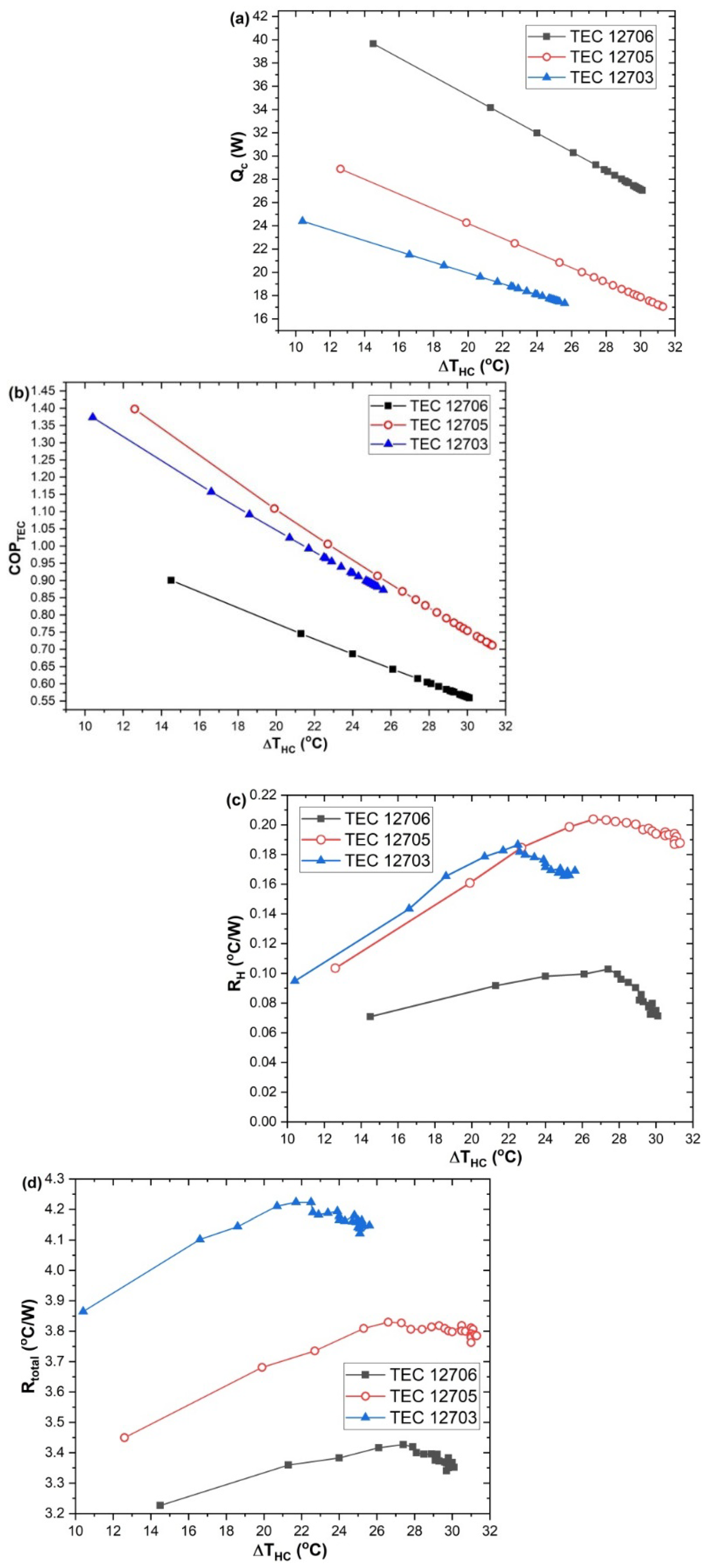
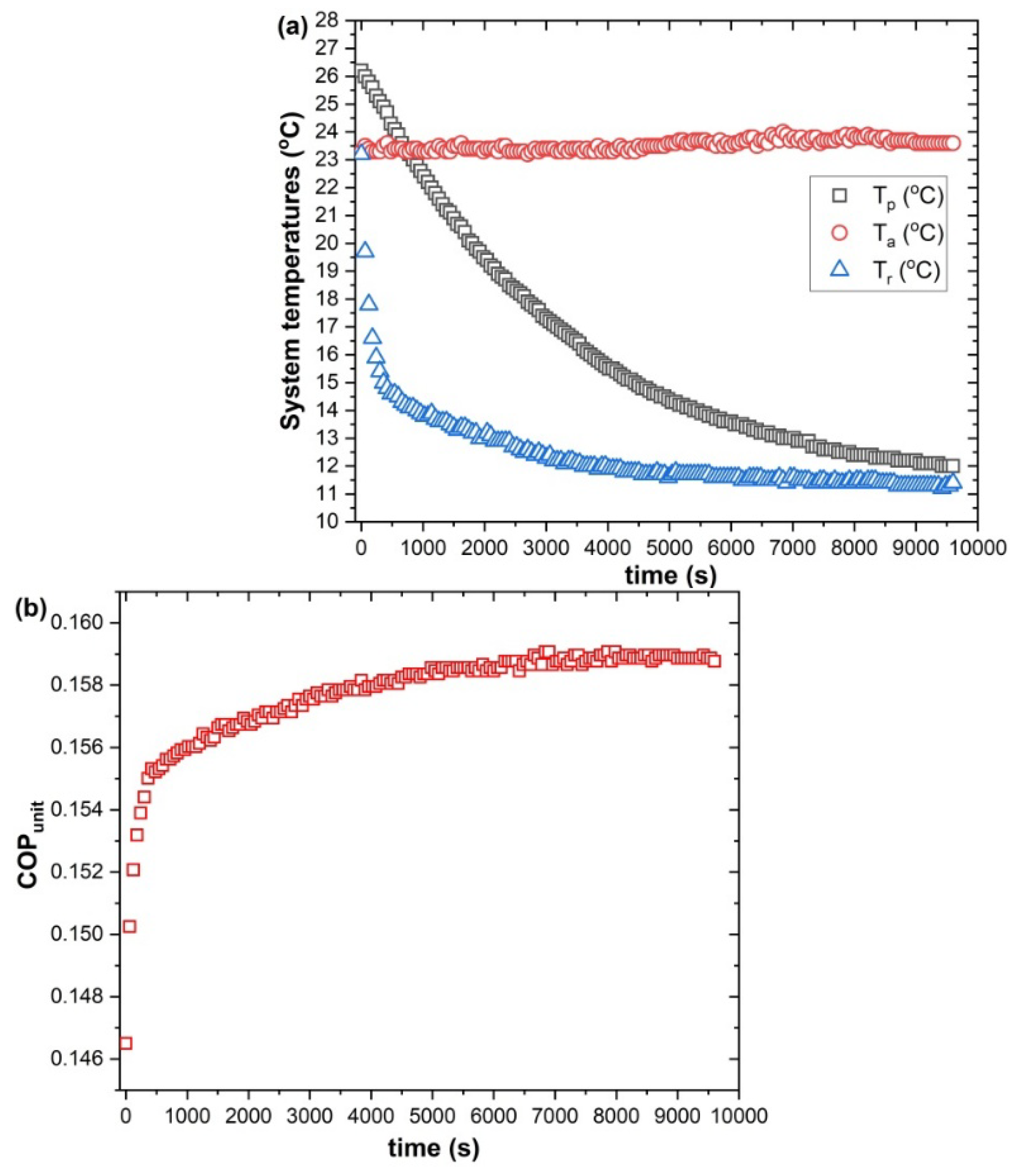
6. Results and Discussions
7. Conclusions
Funding
Conflicts of Interest
References
- Saber, H.H.; Hajiah, A.E.; Alshehri, S.A. Sustainable Self-Cooling Framework for Cooling Computer Chip Hotspots Using Thermoelectric Modules. Sustainability 2021, 13, 12522. [Google Scholar] [CrossRef]
- Astrain, D.; Martínez, A.; Rodríguez, A. Improvement of a thermoelectric and vapour compression hybrid refrigerator. Appl. Therm. Eng. 2012, 39, 140–150. [Google Scholar] [CrossRef]
- Chen, L.; Meng, F.; Sun, F. Effect of heat transfer on the performance of thermoelectric generator-driven thermoelectric refrigerator system. Cryogenics 2012, 52, 58–65. [Google Scholar] [CrossRef]
- Cheepati, K.R.; Balal, N. Solar Powered Thermoelectric Air Conditioning for Temperature Control in Poultry Incubators. Sustainability 2024, 16, 4832. [Google Scholar] [CrossRef]
- Zaferani, H.; Sams, M.W.; Ghomashchi, R.; Chen, G. Thermoelectric coolers as thermal management systems for medical applications: Design, optimization, and advancement. Nano Energy 2021, 90, 106572–106591. [Google Scholar] [CrossRef]
- Hu, B.; Shi, X.-L.; Zou, J.; Chen, Z.-G. Thermoelectrics for medical applications: Progress, challenges, and perspectives. Chemical Engineering Journal 2022, 437, 135268–135283. [Google Scholar] [CrossRef]
- Mejia, N.; Dedow, K.; Nguy, L.; Sullivan, P.; Khoshnevis, S.; Diller, K.R. An On-Site Thermoelectric Cooling Device for Cryotherapy and Control of Skin Blood Flow. J Med Device 2015, 9, 445021–445026. [Google Scholar] [CrossRef]
- Xia, G.; Zhao, H.; Zhang, J.; Yang, H.; Feng, B.; Zhang, Q.; Song, X. Study on Performance of the Thermoelectric Cooling Device with Novel Subchannel Finned Heat Sink. Energies 2022, 15, 145. [Google Scholar] [CrossRef]
- Daniel, C.; Shukla, A.K.; Sharma, M.; Phanden, R.K.; Ojha, M.K. Design and Fabrication of Thermoelectric Air-Cooling System. J. Phys.: Conf. Ser. 2022, 2178, 012004. [Google Scholar] [CrossRef]
- Siddique, A.R.M.; Bozorgi, M.; Venkateshwar, K.; Tasnim, S.; Mahmud, S. Phase change material-enhanced solid-state thermoelectric cooling technology for food refrigeration and storage applications. Journal of Energy Storage 2023, 60, 106569. [Google Scholar] [CrossRef]
- Lv, X.; Fu, Y.; Mao, Y.; Gu, H.; Wang, L.; Dong, C.; Shen, J. Research on multi-space portable box based on thermoelectric refrigeration technology. Applied Thermal Engineering 2025, 263, 125368. [Google Scholar] [CrossRef]
- Cuce, E.; Guclu, T.; Cuce, P.M. Improving thermal performance of thermoelectric coolers (TECs) through a nanofluid driven water to air heat exchanger design: An experimental research. Energy Convers. Manag. 2020, 214, 112893–112905. [Google Scholar] [CrossRef]
- Jurkans, V.; Blums, J. Estimating the Impact of a Recuperative Approach on the Efficiency of Thermoelectric Cooling. Sustainability 2024, 16, 5206. [Google Scholar] [CrossRef]
- Bejan, A. Advanced engineering thermodynamics, 4th ed.; Wiley: New York, 2016. [Google Scholar]
- Sharma, S.; Dwivedi, V.K.; Pandit, S.N. Exergy analysis of single-stage and multi stage thermoelectric cooler. Int. J. Energy Res. 2013, 38, 213–222. [Google Scholar] [CrossRef]
- Cai, Y.; Wang, W.-W.; Ding, W.-T.; Yang, G.-B.; Liu, D.; Zhao, F.-Y. Entropy generation minimization of thermoelectric systems applied for electronic cooling: Parametric investigations and operation optimization. Energy Conversion and Management 2019, 186, 401–414. [Google Scholar] [CrossRef]
- Tipsaenporm, W.; Rungsiyopas, M.; Lertsatitthanakor, C. Thermodynamic Analysis of a Compact Thermoelectric Air Conditioner. J. Electron. Mater. 2014, 43, 1804–1808. [Google Scholar] [CrossRef]
- Tan, H.; Fu, H.; Yu, J. Evaluating optimal cooling temperature of a single-stage thermoelectric cooler using thermodynamic second law. Applied Thermal Engineering 2017, 123, 845–851. [Google Scholar] [CrossRef]
- de Peredo, A.V.G.; Vázquez-Espinosa, M.; Espada-Bellido, E.; Ferreiro-González, M.; Amores-Arrocha, A.; Palma, M.; Barbero, G.F.; Jiménez-Cantizano, A. Alternative Ultrasound-Assisted Method for the Extraction of the Bioactive Compounds Present in Myrtle (Myrtus communis L.). Molecules 2019, 24, 882. [Google Scholar] [CrossRef]
- Yerena-Prieto, B.J.; Gonzalez-Gonzalez, M.; Vázquez-Espinosa, M.; González-de-Peredo, A.V.; García-Alvarado, M.Á.; Palma, M.; Rodríguez-Jimenes, G.d.C.; Barbero, G.F. Optimization of an Ultrasound-Assisted Extraction Method Applied to the Extraction of Flavonoids from Moringa Leaves (Moringa oleífera Lam.). Agronomy 2022, 12, 261. [Google Scholar] [CrossRef]
- Naik, A.S.; Suryawanshi, D.; Kumar, M.; Waghmare, R. Ultrasonic treatment: A cohort review on bioactive compounds, allergens and physico-chemical properties of food. Current Research in Food Science 2021, 4, 470–477. [Google Scholar] [CrossRef]
- Teertstra, P.; Yovanovich, M.; Culham, J. Analytical forced convection modeling of plate fin heat sinks. J Electron Manuf 2000, 10, 253–61. [Google Scholar] [CrossRef]
- Elghool, A.; Basrawi, F. A review on heat sink for thermo-electric power generation: Classifications and parameters affecting performance. Energy Conversion and Management 2017, 134, 260–277. [Google Scholar] [CrossRef]
- Kon, H.S.; Lee, J.J.; Lai, C.Y. Thermal Analysis and Optimal Fin Length of a Heat Sink. Heat Transfer Engineering 2003, 24, 18–29. [Google Scholar]
- Ajiwiguna, T.A.; Nugroho, R.; Ismardi, A. Method for thermoelectric cooler utilization using manufacturer’s technical information. AIP Conf. Proc. 2018, 1941, 020002. [Google Scholar]
- Siahmargoi, M.; Rahbar, N.; Kargarsharifabad, H.; Sadati, S.E.; Asadi, A. An Experimental Study on the Performance Evaluation and Thermodynamic Modeling of a Thermoelectric Cooler Combined with Two Heatsinks. Scientific Reports 2019, 9, 20336–20347. [Google Scholar] [CrossRef]
- Mohammadi, A.; Maleki, A. Performance Improvement of the LNG Regasification Process Based on Geothermal Energy Using a Thermoelectric Generator and Energy and Exergy Analyses. Sustainability 2024, 16, 10881. [Google Scholar] [CrossRef]
- Available online: https://module-center.com/Administrator/files/UploadFile/TEC1-12703-English.pdf (accessed on 19 May 2024).
- Available online: https://module-center.com/Administrator/files/UploadFile/TEC1-12705-English.pdf (accessed on 19 May 2024).
- Available online: https://asset.re-in.de/add/160267/c1/-/en/000189115DS02/DA_TRU-Components-TEC1-12706 (accessed on 19 May 2024).
- Palacios, R.; Arenas, A.; Pecharromán, R.R.; Pagola, F.L. Analytical procedure to obtain internal parameters from performance curves of commercial thermoelectric modules. Applied Thermal Engineering 2009, 29, 3501–3505. [Google Scholar] [CrossRef]
- Ordonez, J.C.; Cavalcanti, E.J.C.; Carvalho, M. Energy, Exergy, Entropy Generation Minimization, and Exergoenvironmental Analyses of Energy Systems-A Mini-Review. Front. Sustain. 2022, 3, 902071. [Google Scholar] [CrossRef]
- Manikandan, S.; Kaushik, S.C.; Anusuya, K. Thermodynamic modelling and analysis of thermoelectric cooling system. 2016 International Conference on Energy Efficient Technologies for Sustainability (ICEETS), Nagercoil, India; 2016; pp. 685–693. [Google Scholar]
- Ning, W.; Jian-Nan, Z.; Zhi-Yuan, L.; Can, D.; Guo-Rong, S.; Hong-Zhi, J.; Xiu-Min, G. An Enhanced Thermoelectric Collaborative Cooling System With Thermoelectric Generator Serving as a Supplementary Power Source. IEEE Transactions on Electron Devices 2021, 68, 1847–1854. [Google Scholar]
- Gökçek, M.; Şahin, F. Experimental performance investigation of minichannel water cooled-thermoelectric refrigerator. Case Studies in Thermal Engineering 2017, 10, 54–62. [Google Scholar] [CrossRef]
- Han, T.; Li, Q.; Shang, L.; Chen, X.; Zhou, F.; Li, W. Study on the Influence of Reynolds Number on Heat Exchange Performance and Nusselt Number of Spray Coil Heat Exchanger. Processes 2025, 13, 588. [Google Scholar] [CrossRef]
- Chang, Y.W.; Chang, C.C.; Ke, M.T.; Chen, S.L. Thermoelectric air-cooling module for electronic devices. Appl Therm Eng 2009, 29, 2731–7. [Google Scholar] [CrossRef]
- Vasil’ev, E.N. The Effect of Thermal Resistances on the Coefficient of Performance of a Thermoelectric Cooling System. Technical Physics 2021, 66, 815–819. [Google Scholar] [CrossRef]
- Manikandan, S.; Kaushik, S.C. Energy and exergy analysis of an annular thermoelectric cooler. Energy Conversion and Management 2015, 106, 804–814. [Google Scholar] [CrossRef]
- Li, X.; Wang, J.; Huang, Z.; Yu, D.; Rezaniakolaei, A. The Influence of Peltier Effect on the Exergy of Thermoelectric Cooler–Thermoelectric Generator System and Performance Improvement of System. Energy Technology 2023, 11, 2300136. [Google Scholar] [CrossRef]
- Min, G.; Rowe, D.M. Experimental evaluation of prototype thermoelectric domestic-refrigerators. Applied Energy 2006, 83, 133–152. [Google Scholar] [CrossRef]
- Mirmanto, M.; Syahrul, S.; Wirdan, Y. Experimental performances of a thermoelectric cooler box with thermoelectric position variations. Engineering Science and Technology, an International Journal 2019, 22, 177–184. [Google Scholar] [CrossRef]
- Winarta, A.; Rasta, I.M.; Suamir, I.N.; Puja, I.G.K. Experimental Study of Thermoelectric Cooler Box Using Heat Sink with Vapor Chamber as Hot Side Cooling Device. In Proceedings of the 2nd International Conference on Experimental and Computational Mechanics in Engineering; Akhyar, Ed.; Lecture Notes in Mechanical Engineering; Springer: Singapore, 2021. [Google Scholar]










| Internal parameters | TEC1-12706 | TEC1-12705 | TEC1-12703 |
|---|---|---|---|
| Sm (V/ K) | 0.056 | 0.0555 | 0.0552 |
| Rm (Ω) | 2.05 | 2.25 | 3 |
| Km (W/K) | 0.562 | 0.511 | 0.372 |
| HS type | N | W (mm) |
L (mm) |
t (mm) |
b (mm) |
Ht (mm) |
H (mm) |
| external | 10 | 68.1 | 80.2 | 1.04 | 6.02 | 27.51 | 25.5 |
| internal | 9 | 39.52 | 39.4 | 0.93 | 4.04 | 26.21 | 21.26 |
| Cooler type | Reb | Nub | hb (W/m2K) |
|---|---|---|---|
| Fan 8025 | 6905.3 ± 18.7 | 3.74 ± 0.005 | 16.29 ± 0.0008 |
| LHR | 5194.4 ± 33.3 | 3.29 ± 0.01 | 14.54 ± 0.001 |
| SUNON | 4168.9 ± 26.7 | 2.98 ± 0.009 | 13.18 ± 0.007 |
Disclaimer/Publisher’s Note: The statements, opinions and data contained in all publications are solely those of the individual author(s) and contributor(s) and not of MDPI and/or the editor(s). MDPI and/or the editor(s) disclaim responsibility for any injury to people or property resulting from any ideas, methods, instructions or products referred to in the content. |
© 2025 by the authors. Licensee MDPI, Basel, Switzerland. This article is an open access article distributed under the terms and conditions of the Creative Commons Attribution (CC BY) license (http://creativecommons.org/licenses/by/4.0/).