Submitted:
06 June 2025
Posted:
09 June 2025
You are already at the latest version
Abstract
Keywords:
1. Introduction
2. Literature Search Strategy

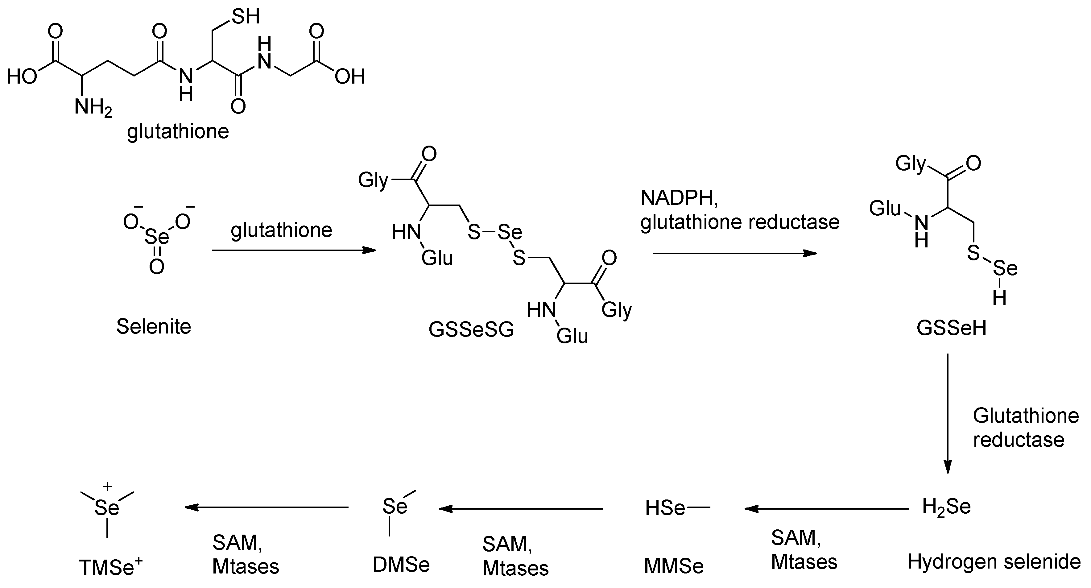
3. Selenium Metabolism and Methylation
3.1. Reaction Mechanisms and Pathways
3.1.1. Primary Chemical Reactions in Selenium Methylation
3.1.2. Detoxification of inorganic forms of selenium

3.1.3. Intermediate and excretory metabolites in selenium methylation

3.2. Enzymes in Selenium Methylation
3.2.1. Role of Enzyme glutathione reductase
3.2.2. Role of SAM-dependent methyltransferases

3.2.3. Role of selenocysteine lyase enzyme
Factors Influencing Rate and Selectivity

3.4. Pathways of Selenium Compounds Methylation in Rice and Corn
3.5. Chemical Structures' Impact on Stability and Reactivity
3.6. Roles of Biomolecules in Selenium Methylation
3.7. Environmental and Species-Specific Factors
3.7.1. Participation of Different Selenium Species in Methylation
3.7.1. Environmental Conditions for Selenium Methylation in Rice and Corn
4. Conclusion
Author Contributions
Funding
Data Availability Statement
Acknowledgments
Conflicts of Interest
References
- Schwarz, K. & Foltz, C. M. Selenium as an Integral Part of Factor 3 Against Dietary Necrotic Liver Degeneration. J Am Chem Soc 79, 3292–3293 (1957).
- Hariharan, S. & Dharmaraj, S. Selenium and selenoproteins: it’s role in regulation of inflammation. Inflammopharmacology 28, 667–695 (2020).
- Shahidin et al. Selenium and Selenoproteins: Mechanisms, Health Functions, and Emerging Applications. Molecules 30, 1–35 (2025).
- Batyrova, G. et al. Unveiling the Role of Selenium in Child Development : Impacts on Growth , Neurodevelopment and Immunity. Journal of Clinical Medicine 14, 1–30 (2025).
- Cilla, A. et al. Nutriential Hazards: Micronutrients: Vitamins and Minerals. Encyclopedia of Food Safety vol. 3 (Elsevier Ltd., 2014).
- Zhang, F., Li, X. & Wei, Y. Selenium and Selenoproteins in Health. Biomolecules 13, 1–25 (2023).
- Professionals, H. & Board, A. A Review of Human Health Impacts of Selenium in Aquatic Systems A report submitted to the International Joint Commission by the Health Professionals Advisory Board. (2020).
- Antonyak, H., et al. Selenium. In: Malavolta, M., Mocchegiani, E. (eds) Trace Elements and Minerals in Health and Longevity. Healthy Ageing and Longevity, vol 8. Springer, Cham..(2018).
- Agarwal, P. et al. Selenium toxicity: A rare diagnosis. Indian J Dermatol Venereol Leprol 82, 690–693 (2016).
- Mehdi, Y. et al. Selenium in the environment, metabolism and involvement in body functions. Molecules 18, 3292–3311 (2013).
- Misra, S. et al. Redox-active selenium compounds—from toxicity and cell death to cancer treatment. Nutrients 7, 3536–3556 (2015).
- Grosicka-Maciąg, E.; et al. Biomedical effects of selenium in a human organism. Journal of Elementology 22, 1269–1284 (2017).
- Qi, Z., Duan, A. & Ng, K. Selenoproteins in Health. Molecules 29, (2024).
- Hodges, R. E. & Minich, D. M. Modulation of Metabolic Detoxification Pathways Using Foods and Food-Derived Components: A Scientific Review with Clinical Application. Journal of Nutrition and Metabolism 2015, (2015).
- Hassoun, B. S. et al. Selenium detoxification by methylation. Research Communications in Molecular Pathology and Pharmacology 90, 133–142 (1995).
- Fukumoto, Y. et al. Differential molecular mechanisms of substrate recognition by selenium methyltransferases, INMT and TPMT, in selenium detoxification and excretion. Journal of Biological Chemistry 300, 105599 (2024).
- Zhang, F. et al. Bioavailability Based on the Gut Microbiota: a New Perspective. Microbiology and Molecular Biology Reviews 84, 1–27 (2020).
- Ferreira, R. L. U. et al. Selenium in Human Health and Gut Microflora: Bioavailability of Selenocompounds and Relationship With Diseases. Frontiers in Nutrition 8, (2021).
- Ferenc, K. et al. Modulation of the Gut Microbiota by Nutrition and Its Relationship to Epigenetics. International Journal of Molecular Sciences 25, (2024).
- Paul, B. et al. Influences of diet and the gut microbiome on epigenetic modulation in cancer and other diseases. Clinical Epigenetics 7, 1–11 (2015).
- Genchi, G. et al. Biological activity of selenium and its impact on human health. International Journal of Molecular Sciences 24(3), (2023).
- Xu, M. et al. Pivotal biological processes and proteins for selenite reduction and methylation in Ganoderma lucidum. J Hazard Mater 444, 130409 (2023).
- Chen, M. et al. Identification and functional characterization of a novel selenocysteine methyltransferase from Brassica juncea. Journal of Experimental Botany 70(21), 6401-16 (2019).
- Ullah, H. et al. A comprehensive review o environmental transformation of selenium: Recent advances and Research perspectives. Environmental Geochemistry and Health 41(2), 1003-35 (2019).
- Fukumoto, Y. et al. Production of a urinary selenium metabolite, trimethylselenonium, by thiopurine S-Methyltransferase and indolethylamine N-methyltransferase. Chemical Research in Toxicology 33(9), 2467-74 (2021).
- Jiang, Z. et al. Unveiling the vital role of soil microorganisms in selenium cycling: a review. Frontiers in Microbioliogy 15 (2024).
- MLANGENI, A. T. et al. Analytical strategies for quantifying methylated selenium species in staple crops: methods, and emerging techniques. Chinese Journal of Analytical Chemistry 100511 (2025).
- Reich H.J, & Hondal R.J. Why Nature Chose Selenium. ACS Chemical Biology.11(4):821–41 (2016).
- Madabeni A, et al. 50 years of organoselenium chemistry, biochemistry and reactivity: Mechanistic understanding, successful and controversial stories. Chemistry – a European Journal. 30(70) (2024).
- Orian L, & Flohé L. Selenium-catalyzed reduction of hydroperoxides in chemistry and biology. Antioxidants 10(10):1560 (2021).
- Naga Jyothi MSV. Occurrence, contamination, speciation and analysis of selenium in the environment. Measurement, Analysis and Remediation of Environmental Pollutants. 245–69 (2020).
- Sigel H, & Sigel A. The bio-relevant metals of the periodic table of the elements. Zeitschrift Für Naturforschung B. 74(6):461–71 (2019).
- Rayman M.P. Selenium intake, status, and health: a complex relationship. Hormones. 19(1):9–14 (2020).
- Sun H.J, et al. Arsenic and selenium toxicity and their interactive effects in humans. Environment International. 69:148–58 (2014).
- Mangiapane E, et al. Selenium and Selenoproteins: An Overview on Different Biological Systems. Current Protein and Peptide Science. 15(6):598–607 (2014).
- Dolgova N.V. et al. Distribution of selenium in zebrafish larvae after exposure to organic and inorganic selenium forms. Metallomics. 8(3):305–12 (2016).
- Surai P.F, et al. Selenium in poultry nutrition: From sodium selenite to organic selenium sources. Journal of Poultry Science. 55(2):79–93 (2018).
- Vriens B.P. The role of methylation in the biogeochemical selenium cycle [Internet] [PhD Thesis]. ETH Zurich; 2015 [cited 2025 Feb 25]. Available from: https://www.research-collection.ethz.ch/bitstream/handle/20.500.11850/155269/2/ETH22919.pdf.
- Eswayah A.S, et al. Microbial Transformations of Selenium Species of Relevance to Bioremediation. Applied and Environmental Microbiology. ;82(16):4848–59 (2016).
- Sarkar, U. D. et al. Phenacylselenoesters allow facile selenium transfer and hydrogen selenide generation. Chemical Science 15, 19315–19321 (2024).
- Shalini, S. & Bansal, M. P. Co-operative effect of glutathione depletion and selenium induced oxidative stress on AP1 and NFκB expression in testicular cells in vitro: Insights to regulation of spermatogenesis. Biological Research 40, 307–317 (2007).
- Paydary, P. et al. Chemical oxidation of selenite to selenate: Evaluation of reactive oxygen species and O transfer pathways. Chemical Geology 575, (2021).
- Ting, K. K. Y. et al. Measuring the rate of NADPH consumption by glutathione reductase in the cytosol and mitochondria. PLoS One 19, 1–15 (2024).
- Koju, N. et al. Reduced nicotinamide adenine dinucleotide phosphate in redox balance and diseases: a friend or foe? Acta Pharmacologica Sinica 43, 1889–1904 (2022).
- Gansemer, E. R. & Rutkowski, D. T. Pathways Linking Nicotinamide Adenine Dinucleotide Phosphate Production to Endoplasmic Reticulum Protein Oxidation and Stress. Frontiers in Molecular Biosciences 9, 1–21 (2022).
- Spagnoletta, A. et al. Modulatory Effect of Nicotinamide Adenine Dinucleotide Phosphate (NADPH) on the 2-Oxoglutarate Mitochondrial Carrier. Molecules 29, 1–18 (2024).
- Kuganesan, M. et al. Selenium and hydrogen selenide: essential micronutrient and the fourth gasotransmitter? Intensive Care Medicine Experimental 7, (2019).
- Peyroche, G. et al. Sodium selenide toxicity is mediated by O2-dependent DNA breaks. PLoS One 7, (2012).
- Zwolak, I. & Zaporowska, H. Selenium interactions and toxicity: A review. Cell Biology and Toxicology 28, 31–46 (2012).
- Wang, F. et al. Selenium volatilization in plants, microalgae, and microorganisms. Heliyon 10, e26023 (2024).
- Nguyen, T.-Q. & Nicolet, Y. Structure and Catalytic Mechanism of Radical SAM Methylases. Life 12, 1732 (2022).
- Zhang, C. et al. Biotechnological applications of S-adenosyl-methionine-dependent methyltransferases for natural products biosynthesis and diversification. Bioresources and Bioprocessing 8, (2021).
- Lin, H. S-Adenosylmethionine-dependent alkylation reactions: when are radical reactions used?. Bioorganic chemistry, 39(5-6), 161–170 (2011).
- Taylor, D. et al. Recent developments in selenium research. British Journal of Biomedical Science 66, 107–116 (2009).
- Fukumoto,Y., et al. "Differential molecular mechanisms of substrate recognition by selenium methyltransferases, INMT and TPMT, in selenium detoxification and excretion." Journal of Biological Chemistry 300.(2024).
- Rayman, M. P. et al. Food-chain selenium and human health: Spotlight on speciation. British Journal of Nutrition 100, 238–253 (2008).
- Kang, D. et al. The role of selenium metabolism and selenoproteins in cartilage homeostasis and arthropathies. Experimental and Molecular Medicine 52, 1198–1208 (2020).
- Minich, W. B. Selenium Metabolism and Biosynthesis of Selenoproteins in the Human Body. Biochemistry (Moscow) 87, S168–S177 (2022).
- Zhang, Y. et al. Role of selenoproteins in redox regulation of signaling and the antioxidant system: A review. Antioxidants 9, 1–17 (2020).
- Bai, S. et al. Effects and Impact of Selenium on Human Health, A Review. Molecules 30, (2025).
- Liao, J. & Wang, C. Factors affecting selenium-enrichment efficiency, metabolic mechanisms and physiological functions of selenium-enriched lactic acid bacteria. Journal of Future Foods 2, 285–293 (2022).
- Schneider, H. A. Selenium in Nutrition. Science 83 (1936).
- Li, Z. et al. Interaction between selenium and soil organic matter and its impact on soil selenium bioavailability: A review. Geoderma 295, 69–79 (2017).
- Shini, S. et al. Selenium Biochemistry and Bioavailability: Implications for Animal Agriculture. Agriculture (Switzerland) 5, 1277–1288 (2015).
- Mutonhodza, B. et al. Linkages between soil, crop, livestock, and human selenium status in Sub-Saharan Africa: a scoping review. International Journal of Food Science and Technology 57, 6336–6349 (2022).
- Chasteen, T. G. & Bentley, R. Biomethylation of Selenium and Tellurium: Microorganisms and Plants 103, 1-26. (2003).
- Hasegawa, T. et al. Inorganic compounds Mechanisms of Selenium Methylation and Toxicity in Mice Treated with Selenocystine. Archives of Toxicology 71, 31-38 (1996).
- Nakamuro, K.; et al. Metabolism of Selenoamino Acids and Their Contributionof Selenium Methylation to Their Toxicity. Journal of Health Science, 46(6). 418-421 (2000).
- Fernandes, A. P. et al. Methylselenol Formed by Spontaneous Methylation of Selenide Is a Superior Selenium Substrate to the Thioredoxin and Glutaredoxin Systems. Plos ONE 7, 1–12 (2012).
- Chau, Y. et al., Methylation of selenium in the aquatic environment. Science 192, 1130-1131 (1976).
- Ohta, Y. & Suzuki, K. T. Methylation and demethylation of intermediates selenide and methylselenol in the metabolism of selenium. Toxicology and Applied Pharmacology 226, 169–177 (2008).
- Couto, N. et al. The role of glutathione reductase and related enzymes on cellular redox homoeostasis network. Free Radical Biology and Medicine 95, 27–42 (2016).
- Meister, A., & Anderson, M. E.. Glutathione. Annual review of biochemistry, 52, 711-760 (1983).
- Vaškov, J., et al. Glutathione-Related Enzymes and Proteins : A Review. Molecules 28, 1447 (2023).
- Smith, I. K.; et al., Properties and functions of glutathione reductase in plants. Physiologia Plantarum 77, 449-456 (1989).
- Nuttall, K. L., Elemental selenium and glutathione reductase. Medical Hypotheses 16, 155-158 (1985).
- Rubino, F. M. Toxicity of glutathione-binding metals: A review of targets and mechanisms. Toxics 3, 20–62 (2015).
- Aoyama, K. & Nakaki, T. Glutathione in Cellular Redox Homeostasis: Association with the Excitatory Amino Acid Carrier 1 (EAAC1). Molecules 20, 8742–8758 (2015).
- Lushchak, V. I. Glutathione Homeostasis and Functions : Potential Targets for Medical Interventions. Journal of Amino Acids 2012, (2012).
- Csiszar, J., et al. Glutathione-Related Enzyme System : Glutathione Reductase ( GR ), Glutathione Transferases ( GSTs ) and Glutathione Peroxidases ( GPXs ): Chapter in Redox state as a Central Regulator of Plant-Cell Stress Responses 137–158 (2016).
- Zhi, Y. et al. Glutathione reductase modulates endogenous oxidative stress and affects growth and virulence in Avibacterium paragallinarum. Veterinary Research 1–15 (2025).
- Aquilano, K. et al. Glutathione : new roles in redox signaling for an old antioxidant. Frontiers in Pharmocology 5, 1–12 (2014).
- Armutcu, F et al. The interaction of glutathione and thymoquinone and their antioxidant properties. Electronic Journal of General Medicine 15, 4–11 (2018).
- Matuz-Mares, D. et al. Glutathione participation in the prevention of cardiovascular diseases. Antioxidants 10, (2021).
- Lubos, E.,et al. Glutathione Peroxidase-1 in Health and Disease : from molecular mechanisms to therapeutic opportunities. Antioxidants & redox signaling 15.7 (2011).
- Klinkhammer, C. et al. Elucidation of Plasma-induced Chemical Modifications on Glutathione and Glutathione Disulphide. Scientific Reports 7, 1–11 (2017).
- Abdelraheem, E. et al., Methyltransferases: functions and applications. ChemBioChem 23, e202200212 (2022).
- Liscombe, D. K..et al., Architectures, mechanisms and molecular evolution of natural product methyltransferases. Natural product reports 29, 1238-1250 (2012).
- rillo, M. A. & Colombatto, S. S-adenosylmethionine and its products. Amino Acids 34, 187–193 (2008).
- Esaki, N. et al. Selenocysteine lyase, a novel enzyme that specifically acts on selenocysteine. Mammalian distribution and purification and properties of pig liver enzyme. Journal of Biological Chemistry 257, 4386–4391 (1982).
- Esaki, N. et al. Mechanism of Reactions Catalyzed by Selenocysteine ,&Lyase. Archives of Biochemistry and Biophysics 238 (1985).
- Mihara, H. & Esaki, N. Selenocysteine lyase: Mechanism, structure, and biological role. in Selenium: Its Molecular Biology and Role in Human Health, 95–105 (Springer New York, 2012).
- Mihara, H. et al. Mechanism, structure, and biological role of selenocysteine lyase. in Selenium: Its Molecular Biology and Role in Human Health, Fourth Edition 113–123 (Springer International Publishing, 2016).
- Suzuki, K. T. et al. Selenocysteine β-lyase and methylselenol demethylase in the metabolism of Se-methylated selenocompounds into selenide. Biochimica et Biophysica Acta General Subjects 1770, 1053–1061 (2007).
- Seale, L. A. Selenocysteine β-lyase: Biochemistry, regulation and physiological role of the selenocysteine decomposition enzyme. Antioxidants 8 (2019).
- Omi, R. et al. Reaction mechanism and molecular basis for selenium/sulfur discrimination of selenocysteine lyase. Journal of Biological Chemistry 285, 12133–12139 (2010).
- Seale, L. A., et al. Relationship between selenoprotein P and selenocysteine lyase: Insights into selenium metabolism. Free Radical Biology and Medicine 127, 182–189 (2018).
- eale, L. A. et al. Disruption of the Selenocysteine Lyase-Mediated Selenium Recycling Pathway Leads to Metabolic Syndrome in Mice. Molecular and Cellular Biology 32, 4141–4154 (2012).
- De Souza, M. P. et al. Rate-Limiting Steps in Selenium Assimilation and Volatilization by Indian Mustard 1. Plant Physiology 117, 1487-1494 (1988).
- Wang, F. et al. Selenium volatilization in plants, microalgae, and microorganisms. Heliyon 10 .e26023 (2024).
- Pilon-Smits, E. A. et al. Physiological functions of beneficial elements. Current Opinion in Plant Biology 12, 267–274 (2009).
- Skrypnik, L. et al. The Integral Boosting Effect of Selenium on the Secondary Metabolism of Higher Plants. Plants 11 (2022).
- Cummins, L. M., & Kimura, E. T. Safety evaluation of selenium sulfide antidandruff shampoos. Toxicology and applied pharmacology, 20(1), 89-96 (1971).
- Pletnikova, I. P. Biological effect and tolerance level of Se in drinking water. Gigiena i Sanitariya 2, 14-19 (1970).
- Toxicological Profile for Selenium. Atlanta (GA): Agency for Toxic Substances and Disease Registry (US); 2003 Sep. 3, HEALTH EFFECTS. Available from: https://www.ncbi.nlm.nih.gov/books/NBK600364/.
- Sayato, Y, et al. Acute and subacute oral toxicity of selenocystine in mice. Eisei kagaku 39, 289-296 (1993).
- Power,R., T. P. Lyons, K. A. Jacqueseditors, 20063210012, English, Book chapter Conference paper, UK, Stamford, Nutritional biotechnology in the feed and food industries. Proceedings of Alltech’s 21st Annual Symposium, Lexington, Kentucky, USA, 22-25 May 2005, (135–145), Alltech UK, A toxicological comparison of selenium sources: does enhanced bioavailability imply increased safety concerns?, (2005).
- McConnell, K.P. and Portman, O.W. Toxicity of dimethyl selenide in the rat and mouse. Proceedings of the Society for Experimental Biology and Medicine, 79,.230-231 (1952).
- Obermeyer, B.D.et al Toxicity of trimethylselenonium chloride in the rat with and without arsenite. Toxicology and Applied Pharmacology, 20,.135-146 (1971).
- Wilber, C.G.,Toxicology of selenium: a review. Clinical toxicology, 17, 171-230 (1980).
- Ganther, H. E. Enzymic Synthesis of Dimethyl Selenide from Sodium Selenite in Mouse Liver Extracts, Biochemistry, 5, 1089-1098 (1966).
- Hoffman, J. L. Selenite Toxicity, Depletion of Liver S-Adenosylmethionine, and Inactivation of Methionine Adenosyltransferase. Archives of biochemistry and biophysics 179, 136-140 (1977).
- Hadrup, N. & Ravn-Haren, G. Acute human toxicity and mortality after selenium ingestion: A review. Journal of Trace Elements in Medicine and Biology 58, 126435 (2020).
- Hadrup, N. & Ravn-Haren, G. Toxicity of repeated oral intake of organic selenium, inorganic selenium, and selenium nanoparticles: A review. Journal of Trace Elements in Medicine and Biology 79, 127235 (2023).
- Yang, H. & Jia, X. Safety evaluation of Se-methylselenocysteine as nutritional selenium supplement: Acute toxicity, genotoxicity and subchronic toxicity. Regulatory Toxicology and Pharmacology 70, 720–727 (2014).
- Jacevic, V. et al. Acute toxicity of sodium selenite in rodents: pathomorphological study. Military Medical Science Letters 80, 90–96 (2011).
- Xie, M. et al.. Selenium in cereals: Insight into species of the element from total amount. Comprehensive Reviews in Food Science and Food Safety 20, 2914–2940 (2021).
- Rayman, M. P. Selenium and human health. Lancet 379, 1256–68 (2012).
- Rayman, M. P. The importance of selenium to human health. Lancet 356 233–241 (2000).
- Soetan, K. O. et al.. The importance of mineral elements for humans, domestic animals and plants: A review. African Journal of Food Science 4, 200–222 (2010).
- Zhu, Y. G. et al. Selenium in higher plants: understanding mechanisms for biofortification and phytoremediation. Trends in Plant Science 14, 436–442 (2009).
- Zhang, L. & Chu, C. Selenium Uptake, Transport, Metabolism, Reutilization, and Biofortification in Rice. Rice 15, 30 (2022).
- Trippe, R. C. & Pilon-Smits, E. A. H. Selenium transport and metabolism in plants: Phytoremediation and biofortification implications. Journal of Hazardous Materials 404, 124178 (2021).
- El Mehdawi, A. F. et al. Influence of sulfate supply on selenium uptake dynamics and expression of sulfate/selenate transporters in selenium hyperaccumulator and nonhyperaccumulator Brassicaceae. New Phytologist 217, 194–205 (2018).
- Cabannes, E, et al. A comparison of sulfate and selenium accumulation in relation to the expression of sulfate transporter genes in Astragalus species. Plant Physiology 157, 2227–2239 (2011).
- Lu, J and Holmgren, A. Selenoproteins. Journal of Biological Chemistry 284, 723-727 (2009).
- Johansson, L., et al, Selenocysteine in proteins—properties and biotechnological use, Biochimica et Biophysica Acta (BBA) - General Subjects, 1726, 1—13 ((2005).
- Blum, J. S., et al. Reduction of elemental selenium to selenide: Experiments with anoxic sediments and bacteria that respire se-oxyanions. Geomicrobiology Journal 20, 587–602 (2003).
- Guo, J. et al. Contributions of selenium-oxidizing bacteria to selenium biofortification and cadmium bioremediation in a native seleniferous Cd-polluted sandy loam soil. Ecotoxicology and Environmental Safety 272, (2024).
- Laliberte, M. & De Ladurantaye-Noel, M. Removal of Selenium by Reduction to Selenite and Surface Complexation. Proceedings of Mine Water Solutions.14-16 (2022).
- Perrone, D., et al. Selenium: Chemistry, Analysis, Function and Effects, Ed. V. R. Preedy, The Royal Society of Chemistry. www.rsc.org (2015).
- Pyrzynska, K. Speciation Analysis of Some Organic Selenium Compounds A Review Analyst 121, 77R-83R (1996).
- Pyrzynska, K. Speciation of Selenium Compounds. Analytical Sciences; 14(3). (1998).
- Weekley, C. M. & Harris, H. H. Which form is that? the importance of selenium speciation and metabolism in the prevention and treatment of disease. Chemical Society Reviews 42, 8870–8894 (2013).
- Tanini, D. & Capperucci, A. Synthesis and Applications of Organic Selenols. Advanced Synthesis and Catalysis 363, 5360–5385 (2021).
- Kieliszek, M. & Błazejak, S. Selenium: Significance, and outlook for supplementation. Nutrition 29, 713–718 (2013).
- Forstrom, J. W.,et al. Identification of the Catalytic Site of Rat Liver Glutathione Peroxidase as Selenocysteine. Biochemistry 17.2639-2644 (1978).
- Singh, B. G. & Kunwar, A. Redox reactions of organoselenium compounds: Implication in their biological activity. Free Radical Research 55, 641–654 (2021).
- Nie, Y. et al. Synthesis and Potential Anticancer Activity of Some Novel Selenocyanates and Diselenides. Chemistry & Biodiversity 17, (2020).
- Lu, S. C S-adenosylmethionine. The international journal of biochemistry & cell biology, 32(4), 391-395. (2000).
- Fontecave, M., et al. S-adenosylmethionine: Nothing goes to waste. Trends in Biochemical Sciences vol. 29 243–249 (2004).
- Ueland, Per. M. Pharmacological and Biochemical Aspects of S-Adenosylhomocysteine and S-Adenosylhomocysteine Hydrolase: Pharmacological Reviews, 34(3). (1982).
- Brown, K. & Arthur, J. Selenium, selenoproteins and human health: a review. Public Health Nutrition 4, 593–599 (2001).
- Kang, D. et al. The role of selenium metabolism and selenoproteins in cartilage homeostasis and arthropathies. Experimental and Molecular Medicine 52 1198–1208 (2020).
- Lacourciere, G. M. & Stadtman, T. C. Utilization of Selenocysteine as a Source of Selenium for Selenophosphate Biosynthesis. BioFactors 14 (2001).
- Dodig, S. & Cepelak, I. The facts and controverses about selenium. Acta Pharmaceutica, 54. 261–276 (2004).
- Driscoll, D. M. & Copeland, P. R. Mechanism and regulation of selenoprotein synthesis. Annual Review of Nutrition 23 17–40 (2003).
- Winkel, L. H. E. et al. Selenium cycling across soil-plant-atmosphere interfaces: A critical review. Nutrients 7 4199–4239 (2015).
- Muleya, M. et al. Selenium speciation and bioaccessibility in Se-fertilised crops of dietary importance in Malawi . Journal of Food Composition and Analysis 98, (2021).
- Cooke, T. D. & Bruland, K. W. Aquatic Chemistry of Selenium: Evidence of Biomethylationt. Environmental. Science &. Technology vol. 21 (1987).
- Khanam, A. & Platel, K. Bioaccessibility of selenium, selenomethionine and selenocysteine from foods and influence of heat processing on the same. Food Chemistry 194, 1293–1299 (2016).
- Williams, P. N. et al. Selenium characterization in the global rice supply chain. Environmental Science & Technology 43, 6024–6030 (2009).
- Xie, M et al. Selenium in cereals: Insight into species of the element from total amount. Comprehensive Reviews in Food Science and Food Safety 20, 2914–2940 (2021).
- Tani, L. S. K., et al. Selenium deficiency-from soil to thyroid cancer. Applied Sciences (Switzerland) vol. 10 (2020).
- Abdalla, M. A., et al. Regulation of Selenium/Sulfur Interactions to Enhance Chemopreventive Effects: Lessons to Learn from Brassicaceae. Molecules 25 (2020).
- Sun, G. X., et al . Distribution and translocation of selenium from soil to grain and its speciation in Paddy Rice (Oryza sativa L.). Environmental Science & Technology 44, 6706–6711 (2010).
- Lyons, M. P., et al. Selenium in food chain and animal nutrition: lessons from nature-review. Asian-Australasian Journal of Animal Science 20(7), 1135–1155 (2007).
- Bodnar, M et al. The properties, functions, and use of selenium compounds in living organisms. Journal of Environmental Science and Health. Part C, Environmental Carcinogenesis & Ecotoxicological Review 30, 225–252 (2012).
- Mayland, H. F. Selenium in Plant and Animal Nutrition: Chapter in Selenium in the Environment (1st ed), CRC Press 29-45 (1994).
- Pyrzyńska, K. Determination of selenium species in environmental samples. Mikrochimica Acta 140, 55–62 (2002).
- Bocchini, M. et al. Soil selenium (Se) biofortification changes the physiological, biochemical and epigenetic responses to water stress in Zea mays L. by inducing a higher drought tolerance. Frontiers in Plant Science 9, (2018).
- Proietti, P. et al. Selenium protects olive (Olea europaea L.) from drought stress. Scientia Horticulturae 164, 165–171 (2013).
- Liu, J. X. & Howell, S. H. Endoplasmic reticulum protein quality control and its relationship to environmental stress responses in plants. Plant Cell 22, 2930–2942 (2010).
- Bohnert, H. J. et al. Adaptations to Environmental Stresses. The Plant Cell vol. 7 (1995).
- Mareri, L. et al. Environmental Stress and Plants. International Journal of Molecular Sciences 23 (2022).
- Kosová, K., et al. Plant Proteoforms Under Environmental Stress: Functional Proteins Arising From a Single Gene. Frontiers in Plant Science 12, 2021).
- Hayat, S. et al. Role of proline under changing environments: A review. Plant Signaling and Behavior 7 (2012).
- Nawaz, F. et al. Selenium supplementation affects physiological and biochemical processes to improve fodder yield and quality of maize (Zea mays L.) under water deficit conditions. Frontiers in Plant Science 7, (2016).
- Naseem, M. et al. Influence of selenium on growth, physiology, and antioxidant responses in maize varies in a Dose-dependent Manner. Journal of Food Quality 2021, (2021).
- Andrade, F. R. et al. Selenium protects rice plants from water deficit stress. Ecotoxicology and Environmental Safety 164, 562–570 (2018).
- Patnaik, G. P. et al. Selenium Application Improves Drought Tolerance during Reproductive Phase of Rice. Sustainability (Switzerland) 15, 2730 (2023).
- Ghouri, F. et al. Effects of Silicon and Selenium in Alleviation of Drought Stress in Rice. Silicon 14, 5453–5461 (2022).
- Liu, M. et al. Rice life cycle-based global mercury biotransport and human methylmercury exposure. Nature Communications 10, 5164 (2019).
- Palmieri, J. R. et al. Implications and Significance of Mercury in Rice. Journal of Food Nutrition and Metabolism 1–5 (2020).
- Zhao, H. et al. Mercury contents in rice and potential health risks across China. Environment International 126, 406–412 (2019).
- Zhang, H. et al. Selenium in soil inhibits mercury uptake and translocation in rice (Oryza sativa L.). Environmental Science & Technology 46, 10040–10046 (2012).


| Selenium Compound | Organism/Species | Exposure Route | LD₅₀ (mg Se/kg body weight) | Reference |
|---|---|---|---|---|
| Sodium selenite (Na₂SeO₃) | Rat (Sprague-Dawley) | Oral | 7.0 | [103] |
| Mouse | Oral | 3.2 | [104] | |
| Rabbit | Oral | 1.0 | [104] | |
| Sodium selenate (Na₂SeO₄) | Rat | Oral | 7.0 | [103] |
| Mouse | Oral | 4.0 | [104] | |
| Selenium dioxide (SeO₂) | Rat | Oral | 48.0 | [105] |
| Elemental selenium (Se) | Rat | Oral | 6,700 | [103] |
| Selenocystine | Mouse | Oral | 35.9 | [106] |
| Selenomethionine | Rat | Oral | 37.3 | [107] |
| Dimethyl selenide ((CH₃)₂Se) | Mouse | Intraperitoneal | 1,600 | [108] |
| Trimethylselenonium chloride | Rat | Intraperitoneal | 49.4 | [109] |
| Hydrogen selenide (H₂Se) | Guinea pig | Inhalation | 0.02 mg/L (LC₅₀) | [110] |
| Selenium sulfide (SeS₂) | Rat | Oral | 138.0 | [103] |
| Selenourea | Rat | Oral | 50.0 | [103] |
Disclaimer/Publisher’s Note: The statements, opinions and data contained in all publications are solely those of the individual author(s) and contributor(s) and not of MDPI and/or the editor(s). MDPI and/or the editor(s) disclaim responsibility for any injury to people or property resulting from any ideas, methods, instructions or products referred to in the content. |
© 2025 by the authors. Licensee MDPI, Basel, Switzerland. This article is an open access article distributed under the terms and conditions of the Creative Commons Attribution (CC BY) license (http://creativecommons.org/licenses/by/4.0/).