Submitted:
02 June 2025
Posted:
03 June 2025
You are already at the latest version
Abstract
Keywords:
1. Introduction
2. Materials and Methods
2.1. Study Design
2.2. Study population
2.3. Sample collection
2.4 ELISA
2.5. Statistical Analyses
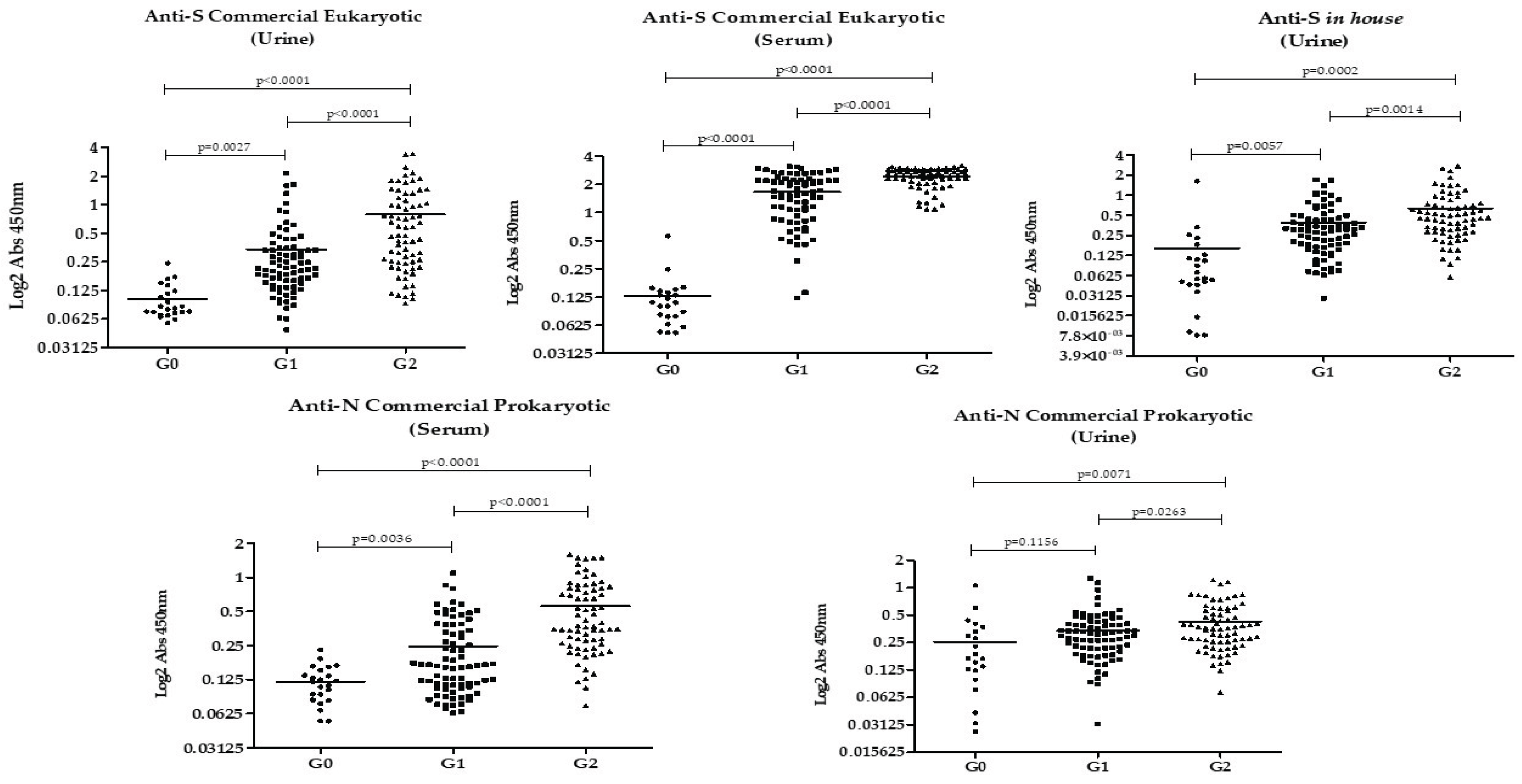
3. Results
| Anti-N prokaryotic (serum) | Anti-N prokaryotic (urine) | Anti-S eukaryotic (serum) | Anti-S eukaryotic (urine) | Anti-S prokaryotic in-house (urine) | Age | Dose number | |
|---|---|---|---|---|---|---|---|
| Anti-N prokaryotic (serum) | NA | 0.302 | 0.491 | 0.344 | 0.269 | 0.044 | 0.074 |
| Anti-N prokaryotic (urine) | 0.302 | NA | 0.0009 | 0.428 | 0.584 | 0.078 | 0.073 |
| Anti-S eukaryotic (serum) | 0.491 | 0.009 | NA | 0.493 | 0.285 | 0.044 | 0.034 |
| Anti-S eukaryotic (urine) | 0.344 | 0.428 | 0.493 | NA | 0.694 | -0.084 | 0.067 |
| Anti-S prokaryotic in-house (urine) | 0.269 | 0.584 | 0.285 | 0.694 | NA | 0.050 | 0.113 |
| Age | 0.019 | 0.078 | 0.044 | -0.084 | 0.050 | NA | 0.002 |
| Dose number | 0.074 | 0.073 | 0.034 | 0.067 | 0.113 | 0.002 | NA |
4. Discussion
Funding
Institutional Review Board Statement
Informed Consent Statement
Data Availability Statement
Acknowledgments
Conflicts of Interest
References
- Itoh M, Weerasooriya MV, Qiu G, Gunawardena NK, Anantaphruti MT, Tesana S, et al. Sensitive and specific enzyme-linked immunosorbent assay for the diagnosis of Wuchereria bancrofti infection in urine samples. Am J Trop Med Hyg. Oct 2001;65(4):362–5. [CrossRef]
- Joshi MS, Chitambar SD, Arankalle VA, Chadha MS. Evaluation of Urine as a Clinical Specimen for Diagnosis of Hepatitis A. Clin Vaccine Immunol. Jul 2002;9(4):840–5. [CrossRef]
- Itoh M, Ohta N, Kanazawa T, Nakajima Y, Sho M, Minai M, et al. Sensitive enzyme-linked immunosorbent assay with urine samples: a tool for surveillance of schistosomiasis japonica. Southeast Asian J Trop Med Public Health. Sep 2003;34(3):469–72.
- Vázquez S, Cabezas S, Pérez AB, Pupo M, Ruiz D, Calzada N, et al. Kinetics of antibodies in sera, saliva, and urine samples from adult patients with primary or secondary dengue 3 virus infections. Int J Infect Dis IJID Off Publ Int Soc Infect Dis. May 2007;11(3):256–62. [CrossRef]
- Eamudomkarn C, Sithithaworn P, Kamamia C, Yakovleva A, Sithithaworn J, Kaewkes S, et al. Diagnostic performance of urinary IgG antibody detection: A novel approach for population screening of strongyloidiasis. PloS One. 2018;13(7):e0192598. [CrossRef]
- Gong Y, Li Q, Yuan Y. Accuracy of testing for anti-Helicobacter pylori IgG in urine for H. pylori infection diagnosis: a systematic review and meta-analysis. BMJ Open. Apr, 28th, 2017;7(4):e013248.
- Ejazi SA, Bhattacharya P, Bakhteyar MAK, Mumtaz AA, Pandey K, Das VNR, et al. Noninvasive Diagnosis of Visceral Leishmaniasis: Development and Evaluation of Two Urine-Based Immunoassays for Detection of Leishmania donovani Infection in India. PLoS Negl Trop Dis. Oct 2016;10(10):e0005035. [CrossRef]
- Asfaram S, Hosseini Teshnizi S, Fakhar M, Banimostafavi ES, Soosaraei M. Is urine a reliable clinical sample for the diagnosis of human visceral leishmaniasis? A systematic review and meta-analysis. Parasitol Int. Oct 2018;67(5):575–83. [CrossRef]
- Nagaoka F, Yamazaki T, Akashi-Takamura S, Itoh M. Detection of Urinary Antibodies and Its Application in Epidemiological Studies for Parasitic Diseases. Vaccines. Jul 12th, 2021;9(7):778. [CrossRef]
- Katsuragi K, Noda A, Tachikawa T, Azuma A, Mukai F, Murakami K, et al. Highly sensitive urine-based enzyme-linked immunosorbent assay for detection of antibody to Helicobacter pylori. Helicobacter. Dec 1998;3(4):289–95. [CrossRef]
- Zhao M, Li M, Yang Y, Guo Z, Sun Y, Shao C, et al. A comprehensive analysis and annotation of human normal urinary proteome. Sci Rep. Jun 8th, 2017;7(1):3024. [CrossRef]
- Ludolf F, Ramos FF, Bagno FF, Oliveira-da-Silva JA, Reis TAR, Christodoulides M, et al. Detecting anti-SARS-CoV-2 antibodies in urine samples: A noninvasive and sensitive way to assay COVID-19 immune conversion. Sci Adv. May 13th, 2022;8(19):eabn7424. [CrossRef]
- Ramos FF, Bagno FF, Vassallo PF, Oliveira-da-Silva JA, Reis TAR, Bandeira RS, et al. A urine-based ELISA with recombinant non-glycosylated SARS-CoV-2 spike protein for detecting anti-SARS-CoV-2 spike antibodies. Sci Rep. Mar, 16th, 2023;13(1):4345. [CrossRef]
- Ramos FF, Pereira IAG, Cardoso MM, Bandeira RS, Lage DP, Scussel R, et al. B-Cell Epitopes-Based Chimeric Protein from SARS-CoV-2 N and S Proteins Is Recognized by Specific Antibodies in Serum and Urine Samples from Patients. Viruses. Sep, 5th, 2023;15(9):1877. [CrossRef]
- Larkin HD. Urine Test Detects SARS-CoV-2 Antibodies. JAMA. 14 de junho de 2022;327(22):2182. [CrossRef]
- Ramos FF. Desenvolvimento de teste diagnóstico não invasivo capaz de detectar anticorpos anti-SARS-CoV-2 em urina. 2022.
- Sadoff J, Gray G, Vandebosch A, Cárdenas V, Shukarev G, Grinsztejn B, et al. Safety and Efficacy of Single-Dose Ad26.COV2.S Vaccine against Covid-19. N Engl J Med. Jun 10th, 2021;384(23):2187–201. [CrossRef]
- Szczepanek J, Skorupa M, Goroncy A, Jarkiewicz-Tretyn J, Wypych A, Sandomierz D, et al. Anti-SARS-CoV-2 IgG against the S Protein: A Comparison of BNT162b2, mRNA-1273, ChAdOx1 nCoV-2019 and Ad26.COV2.S Vaccines. Vaccines. Jan 10th, 2022;10(1):99. [CrossRef]
- Lopez Bernal J, Andrews N, Gower C, Gallagher E, Simmons R, Thelwall S, et al. Effectiveness of Covid-19 Vaccines against the B.1.617.2 (Delta) Variant. N Engl J Med.Aug 12th, 2021;385(7):585–94.
- Fong Y, McDermott AB, Benkeser D, Roels S, Stieh DJ, Vandebosch A, et al. Immune correlates analysis of the ENSEMBLE single Ad26.COV2.S dose vaccine efficacy clinical trial. Nat Microbiol. Dec 2022;7(12):1996–2010. [CrossRef]
- Decru B, Van Elslande J, Steels S, Van Pottelbergh G, Godderis L, Van Holm B, et al. IgG Anti-Spike Antibodies and Surrogate Neutralizing Antibody Levels Decline Faster 3 to 10 Months After BNT162b2 Vaccination Than After SARS-CoV-2 Infection in Healthcare Workers. Front Immunol. 2022;13:909910.
- Van Elslande J, Kerckhofs F, Cuypers L, Wollants E, Potter B, Vankeerberghen A, et al. Two Separate Clusters of SARS-CoV-2 Delta Variant Infections in a Group of 41 Students Travelling from India: An Illustration of the Need for Rigorous Testing and Quarantine. Viruses. May 31st, 2022;14(6):1198. [CrossRef]
- Khan SR, Chaker L, Ikram MA, Peeters RP, van Hagen PM, Dalm VASH. Determinants and Reference Ranges of Serum Immunoglobulins in Middle-Aged and Elderly Individuals: a Population-Based Study. J Clin Immunol. Nov 2021;41(8):1902–14.
- Lo Sasso B, Agnello L, Giglio RV, Gambino CM, Ciaccio AM, Vidali M, et al. Longitudinal analysis of anti-SARS-CoV-2 S-RBD IgG antibodies before and after the third dose of the BNT162b2 vaccine. Sci Rep. May 23rd, 2022;12(1):8679. [CrossRef]

| Sensibility | Specificity | AUC | p value | |||||
|---|---|---|---|---|---|---|---|---|
| Anti-N Prokaryotic | serum | G0 x G2 | 91,55 | 91,3 | 0,9547 | < 0,0001 | ||
| serum | G0 x G1 | 61,54 | 60,87 | 0,7018 | 0,0034 | |||
| serum | G2 x G1 | 73,24 | 69,23 | 0,7879 | < 0,0001 | |||
| urine | G0 x G2 | 77,46 | 61,9 | 0,7428 | 0,00076 | |||
| urine | G0 x G1 | 67,95 | 61,9 | 0,6716 | 0,016 | |||
| urine | G2 x G1 | 60,56 | 50 | 0,603 | 0,03 | |||
| Anti-S Eukaryotic | serum | G0 x G2 | 98,59 | 100 | 0,9988 | < 0,0001 | ||
| serum | G0 x G1 | 97,44 | 95,65 | 0,9875 | < 0,0001 | |||
| serum | G2 x G1 | 77,14 | 70,51 | 0,7866 | <0,0001 | |||
| urine | G0 x G2 | 88,73 | 91,3 | 0,9602 | <0,0001 | |||
| urine | G0 x G1 | 83,33 | 78,26 | 0,8824 | <0,0001 | |||
| urine | G2 x G1 | 69,01 | 62,82 | 0,7294 | < 0,0001 | |||
| Anti-S Prokaryotic | urine | G0 x G2 | 90 | 82,61 | 0,9155 | < 0,0001 | ||
| urine | G0 x G1 | 83,33 | 78,26 | 0,8478 | < 0,0001 | |||
| urine | G2 x G1 | 65,71 | 60,26 | 0,6737 | 0,00027 |
Disclaimer/Publisher’s Note: The statements, opinions and data contained in all publications are solely those of the individual author(s) and contributor(s) and not of MDPI and/or the editor(s). MDPI and/or the editor(s) disclaim responsibility for any injury to people or property resulting from any ideas, methods, instructions or products referred to in the content. |
© 2025 by the authors. Licensee MDPI, Basel, Switzerland. This article is an open access article distributed under the terms and conditions of the Creative Commons Attribution (CC BY) license (http://creativecommons.org/licenses/by/4.0/).