Submitted:
28 May 2025
Posted:
28 May 2025
Read the latest preprint version here
Abstract
Keywords:
1. Introduction
2. Related Work
2.1. Latent Geometry of Complex Networks.
2.2. Latent Geometry Estimators
2.3. Topological centrality measures
2.4. Statistical and Machine Learning Network Dismantling
3. Latent Geometry-Driven Network Automata
3.1. Latent Geometry-Driven dismantling
3.2. LGD Network Automata
4. Experiments
4.1. Evaluation Procedure
4.2. Optional Reinsertion Step
4.3. ATLAS Dataset
4.4. LGD-NA Performance and Comparison to Other Methods
4.5. GPU Acceleration of LGD-NA for Large-Scale Dismantling
5. Conclusion
Acknowledgments
Appendix A. Latent Geometry Estimators
| Estimator | Author | Year | Formula | Information Locality | Time Complexity |
|---|---|---|---|---|---|
| Repulsion Attraction 2 | Muscoloni et al. [1] | 2017 | Local | ||
| RA2 denominator-ablation (CND) | Ours | 2025 | Local | ||
| RA2 numerator-ablation | Ours | 2025 | Local |

Appendix A.1. Latent Geometry-Driven Network Automata rule
Appendix A.2. Time Complexity

Appendix B. Topological Centrality Measures
| Measure | Author | Year | Type | Information Locality | Time Complexity |
|---|---|---|---|---|---|
| Degree | Degree-based | Local | |||
| Eigenvector | Bonacich [41] | 1972 | Walks-based | Global | |
| Node Betweenness (NBC) | Freeman [24] | 1977 | Shortest path-based | Global | |
| PageRank (PR) | Page et al. [42] | 1999 | Random walk-based | Global | |
| Resilience | Zhang et al. [35] | 2020 | Resilience-based | Global | |
| Domirank | Engsig et al. [25] | 2024 | Fitness-based | Global | |
| Fitness | Servedio et al. [26] | 2025 | Fitness-based | Global |
Appendix B.1. Time Complexity
Appendix C. Statistical and Machine Learning Network Dismantling
| Algorithm | Type | Author | Year | Information Locality | Dynamicity | Reinsertion | Time Complexity | Included |
|---|---|---|---|---|---|---|---|---|
| Collective Influence (CI) | Influence maximization | Morone et al. [3] | 2016 | Local | Dynamic | Yes | Yes | |
| Belief propagation-guided decimation (BPD) | Message passing-based decycling | Mugisha & Zhou [4] | 2016 | Global | Dynamic | Optional | No - Code missing | |
| Min-Sum (MS) | Message passing-based decycling | Braunstein et al. [2] | 2016 | Global | Dynamic | Yes | Yes | |
| Generalized Network Dismantling (GND) | Spectral partitioning | Ren et al. [34] | 2019 | Global | Dynamic | Optional | Yes | |
| CoreHD | Degree-based decycling | Zdeborová et al. [32] | 2016 | Global | Dynamic | Yes | Yes | |
| Explosive Immunization (EI) | Explosive percolation | Clusella et al. [33] | 2016 | Global | Dynamic | No | Yes | |
| FINDER | Machine learning | Fan et al. [43] | 2020 | Global | Dynamic | Optional | No - Code outdated | |
| Graph Dismantling Machine (GDM) | Machine learning | Grassia et al. [36] | 2021 | Global | Static | Optional | Yes | |
| CoreGDM | Machine learning | Grassia & Mangioni [37] | 2023 | Global | Static | Yes | Yes |


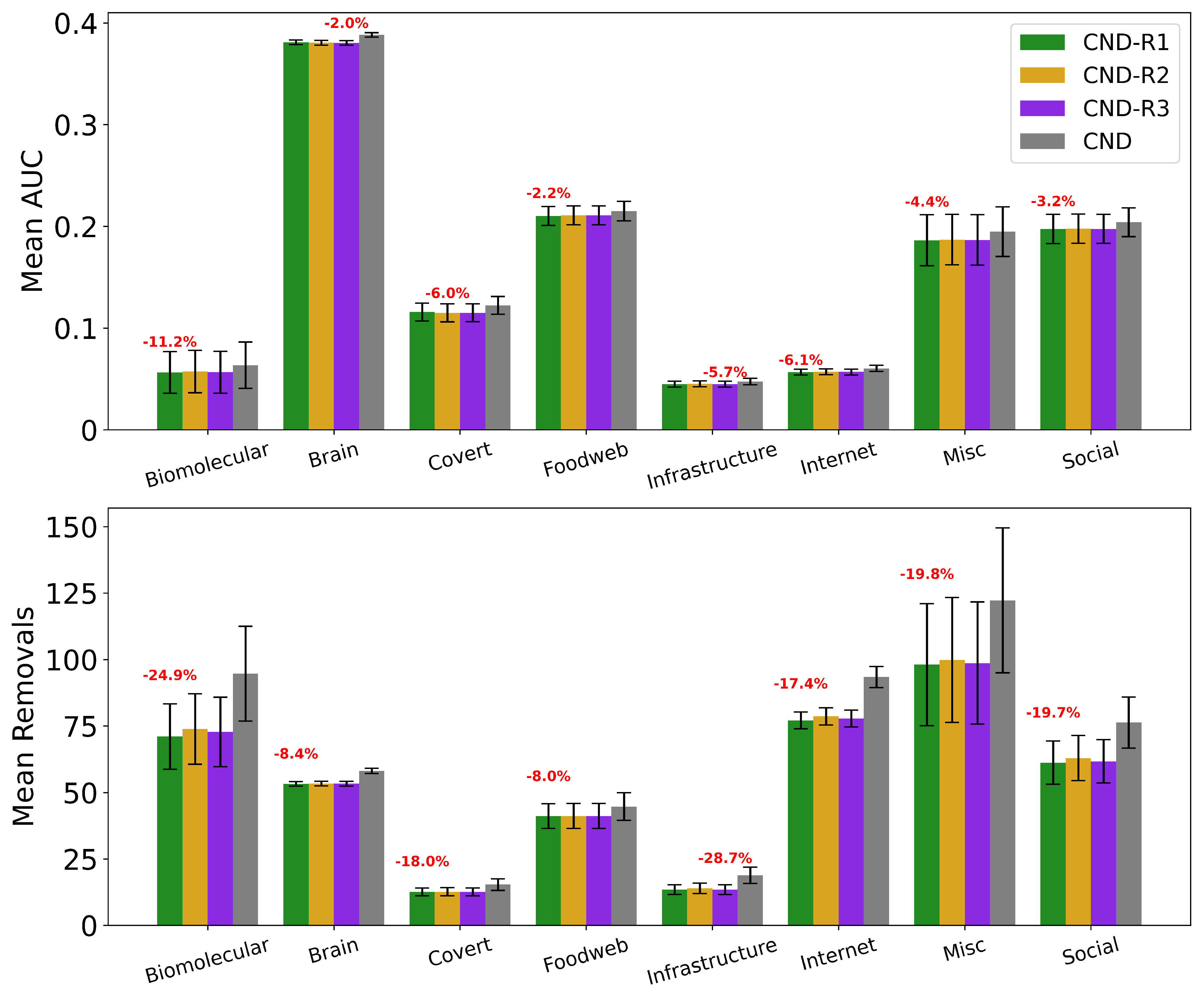
Appendix D. Reinsertion Methods
- Reinsertion must stop once the LCC exceeds the dismantling threshold. Recomputing a new dismantling order by reinserting all nodes is not allowed.
- Ties in the reinsertion criterion must be broken by reversing the dismantling order: nodes removed later are prioritized.
- R1 (Braunstein et al.) [2]: We replace their original tiebreak (smallest node index) with reverse dismantling order.
- R2 (Morone et al.) [3]: We apply the LCC stopping condition. Originally, all nodes are reinserted to compute a new dismantling sequence.
- R3 (Mugisha & Zhou) [4]: We apply reverse dismantling order as the tiebreak, as no rule is defined in their paper, and their code is unavailable.
Appendix D.1. Time Complexity
| Name | Author | Year | Criteria | Tiebreak | LCC Condition | Time Complexity | Used In |
|---|---|---|---|---|---|---|---|
| R1 | Braunstein et al. [2] | 2016 | Node that ends up in the smallest component | Reverse dismantling order* | Yes | MS, CoreGDM, CoreHD, GDM, GND | |
| R2 | Morone et al. [3] | 2016 | Node that connects to the fewest clusters | Reverse dismantling order | Yes* | CI | |
| R3 | Mugisha & Zhou [4] | 2016 | Node that causes the smallest increase in LCC size | Reverse dismantling order* | Yes | BPD |

| Field | Biomolecular | Brain | Covert | Foodweb | Infrastructure | Internet | Misc | Social | Total |
|---|---|---|---|---|---|---|---|---|---|
| Subfields | 5 | 1 | 2 | 1 | 7 | 1 | 8 | 7 | 32 |
| Networks | 27 | 529 | 89 | 71 | 314 | 206 | 38 | 201 | 1,475 |
| 2,997 | 97 | 107 | 117 | 664 | 5,708 | 2,880 | 3,267 | ||
| 11,855 | 1,535 | 266 | 1,087 | 1,332 | 19,601 | 19,921 | 53,977 | ||
| 0.01 | 0.34 | 0.17 | 0.16 | 0.07 | 0.01 | 0.07 | 0.11 | ||
| 6.7 | 28.3 | 5.7 | 15.2 | 4.9 | 7.5 | 14.1 | 26.9 | ||
| 4.4 | 1.7 | 3 | 2.2 | 9.9 | 3.4 | 3.5 | 3.5 | ||
| -0.21 | -0.03 | -0.15 | -0.28 | -0.52 | -0.22 | -0.07 | -0.05 | ||
| 0.06 | 0.55 | 0.39 | 0.19 | 0.06 | 0.11 | 0.22 | 0.29 | ||
| 0.13 | 0.63 | 0.46 | 0.22 | 0.11 | 0.31 | 0.34 | 0.36 | ||
| 10.6 | 20.1 | 5.9 | 12.8 | 4.9 | 25 | 21.6 | 25.7 | ||
| 3.6 | 17.5 | 4.2 | 9.2 | 3 | 4 | 8.3 | 15.4 | ||
| 0.66 | 0.97 | 0.76 | 0.67 | 0.15 | 0.94 | 0.85 | 0.77 | ||
| 0.59 | 0.25 | 0.48 | 0.26 | 0.46 | 0.5 | 0.49 | 0.5 |
| Algorithm | Year | Networks | ||
|---|---|---|---|---|
| Collective Influence (CI) [3] | 2016 | 0 | ||
| CoreHD [32] | 2016 | 12 | 1.7M | 11M |
| Explosive Immunization (EI) [33] | 2016 | 5 | 50K | 344K |
| Min-Sum (MS) [2] | 2016 | 2 | 1.1M | 2.9M |
| Generalized Network Dismantling (GND) [34] | 2019 | 10 | 5K | 17K |
| Resilience Centrality [35] | 2020 | 4 | 1K | 14K |
| Graph Dismantling Machine (GDM) [36] | 2021 | 57 | 1.4M | 2.8M |
| CoreGDM [37] | 2023 | 15 | 79K | 468K |
| Domirank Centrality [25] | 2024 | 6 | 24M | 58M |
| Fitness Centrality [26] | 2025 | 5 | 297 | 4K |
| LGD-NA | 2025 | 1,475 | 23K | 507K |
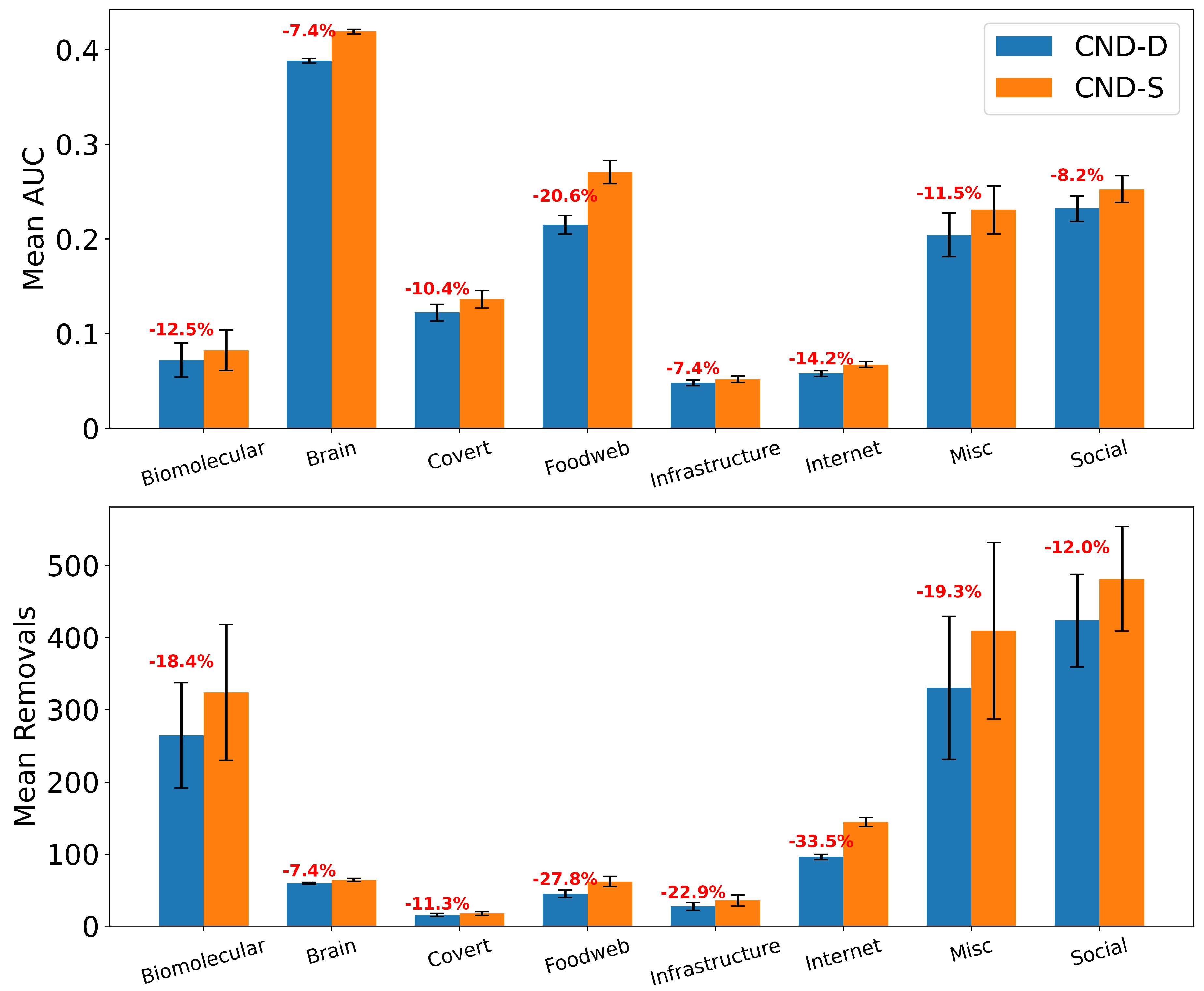
Appendix E. Dynamic & Static Dismantling


Appendix F. Experimental Setup
Appendix F.1. Baseline Topological Centrality Measures
Appendix F.2. Baseline Dismantling Methods
Appendix F.3. Note on Reinsertion
Appendix F.4. Note on Evaluation

Appendix F.5. Code
Appendix F.6. Computational Resources
Appendix G. Limitations, Future Work, and Broader Impact
Appendix G.1. Limitations
Appendix G.2. Future Work
Appendix G.3. Broader Impact
References
- Alessandro Muscoloni, Josephine Maria Thomas, Sara Ciucci, Ginestra Bianconi, and Carlo Vittorio Cannistraci. Machine learning meets complex networks via coalescent embedding in the hyperbolic space. Nature Communications, 8(1), 2017.
- Alfredo Braunstein, Luca Dall’Asta, Guilhem Semerjian, and Lenka Zdeborová. Network dismantling. Proceedings of the National Academy of Sciences, 113(44):12368–12373, 2016.
- Flaviano Morone, Byungjoon Min, Lin Bo, Romain Mari, and Hernán A. Makse. Collective influence algorithm to find influencers via optimal percolation in massively large social media. Scientific Reports, 6(1), 2016.
- Salomon Mugisha and Hai-Jun Zhou. Identifying optimal targets of network attack by belief propagation. Phys. Rev. E, 94:012305, Jul 2016.
- M. E. J. Newman. The structure and function of complex networks. SIAM Review, 45(2):167–256, 2003.
- Oriol Artime, Marco Grassia, Manlio De Domenico, James P. Gleeson, Hernán A. Makse, Giuseppe Mangioni, Matjaž Perc, and Filippo Radicchi. Robustness and resilience of complex networks. Nature Reviews Physics, 6(2), 2024.
- Réka Albert, Hawoong Jeong, and Albert-László Barabási. Error and attack tolerance of complex networks. Nature, 406(6794):378–382, Jul 2000.
- Albert-László Barabási and Réka Albert. Emergence of scaling in random networks. Science, 286(5439):509–512, 1999.
- Anna D. Broido and Aaron Clauset. Scale-free networks are rare. Nature Communications, 10(1):1017, Mar 2019.
- Ivan Voitalov, Pim van der Hoorn, Remco van der Hofstad, and Dmitri Krioukov. Scale-free networks well done. Phys. Rev. Res., 1:033034, Oct 2019.
- Matteo Serafino, Giulio Cimini, Amos Maritan, Andrea Rinaldo, Samir Suweis, Jayanth R. Banavar, and Guido Caldarelli. True scale-free networks hidden by finite size effects. Proceedings of the National Academy of Sciences, 118(2):e2013825118, 2021.
- M. E. J. Newman. Communities, modules and large-scale structure in networks. Nature Physics, 8(1):25–31, Jan 2012.
- Santo Fortunato and Mark E. J. Newman. 20 years of network community detection. Nature Physics, 18(8):848–850, Aug 2022.
- Erzsébet Ravasz and Albert-László Barabási. Hierarchical organization in complex networks. Phys. Rev. E, 67:026112, Feb 2003.
- Aaron Clauset, Cristopher Moore, and M. E. J. Newman. Hierarchical structure and the prediction of missing links in networks. Nature, 453(7191):98–101, May 2008.
- Federico Battiston, Enrico Amico, Alain Barrat, Ginestra Bianconi, Guilherme Ferraz de Arruda, Benedetta Franceschiello, Iacopo Iacopini, Sonia Kéfi, Vito Latora, Yamir Moreno, Micah M. Murray, Tiago P. Peixoto, Francesco Vaccarino, and Giovanni Petri. The physics of higher-order interactions in complex systems. Nature Physics, 17(10):1093–1098, Oct 2021.
- Renaud Lambiotte, Martin Rosvall, and Ingo Scholtes. From networks to optimal higher-order models of complex systems. Nature Physics, 15(4):313–320, Apr 2019.
- Zhihao Wu, Giulia Menichetti, Christoph Rahmede, and Ginestra Bianconi. Emergent complex network geometry. Scientific Reports, 5(1):10073, May 2015.
- Marián Boguñá, Ivan Bonamassa, Manlio De Domenico, Shlomo Havlin, Dmitri Krioukov, and M. Ángeles Serrano. Network geometry. Nature Reviews Physics, 3(2), 2021.
- Dmitri Krioukov, Fragkiskos Papadopoulos, Maksim Kitsak, Amin Vahdat, and Marián Boguñá. Hyperbolic geometry of complex networks. Phys. Rev. E, 82:036106, Sep 2010.
- M. Ángeles Serrano, Dmitri Krioukov, and Marián Boguñá. Self-similarity of complex networks and hidden metric spaces. Phys. Rev. Lett., 100:078701, Feb 2008.
- Dirk Brockmann and Dirk Helbing. The hidden geometry of complex, network-driven contagion phenomena. Science, 342(6164):1337–1342, 2013.
- Muscoloni Alessandro and Cannistraci Carlo Vittorio. Leveraging the nonuniform pso network model as a benchmark for performance evaluation in community detection and link prediction. New Journal of Physics, 20(6):063022, jun 2018.
- Linton C. Freeman. A set of measures of centrality based on betweenness. Sociometry, 40(1):35–41, 1977.
- Marcus Engsig, Alejandro Tejedor, Yamir Moreno, Efi Foufoula-Georgiou, and Chaouki Kasmi. Domirank centrality reveals structural fragility of complex networks via node dominance. Nature Communications, 15(1):56, Jan 2024.
- Vito D P Servedio, Alessandro Bellina, Emanuele Calò, and Giordano De Marzo. Fitness centrality: a non-linear centrality measure for complex networks. Journal of Physics: Complexity, 6(1):015002, jan 2025.
- Adilson E. Motter and Ying-Cheng Lai. Cascade-based attacks on complex networks. Phys. Rev. E, 66:065102, Dec 2002.
- Petter Holme, Beom Jun Kim, Chang No Yoon, and Seung Kee Han. Attack vulnerability of complex networks. Phys. Rev. E, 65:056109, May 2002.
- Marián Boguñá, Dmitri Krioukov, and K. C. Claffy. Navigability of complex networks. Nature Physics, 5(1), 2009.
- Jon M. Kleinberg. Navigation in a small world. Nature, 406(6798), 2000.
- Alessandro Muscoloni and Carlo Vittorio Cannistraci. Navigability evaluation of complex networks by greedy routing efficiency. Proceedings of the National Academy of Sciences, 116(5):1468–1469, 2019.
- Lenka Zdeborová, Pan Zhang, and Hai-Jun Zhou. Fast and simple decycling and dismantling of networks. Scientific Reports, 6(1), 2016.
- Pau Clusella, Peter Grassberger, Francisco J. Pérez-Reche, and Antonio Politi. Immunization and targeted destruction of networks using explosive percolation. Phys. Rev. Lett., 117:208301, Nov 2016.
- Xiao-Long Ren, Niels Gleinig, Dirk Helbing, and Nino Antulov-Fantulin. Generalized network dismantling. Proceedings of the National Academy of Sciences, 116(14):6554–6559, 2019.
- Yongtao Zhang, Cunqi Shao, Shibo He, and Jianxi Gao. Resilience centrality in complex networks. Phys. Rev. E, 101:022304, Feb 2020.
- Marco Grassia, Manlio De Domenico, and Giuseppe Mangioni. Machine learning dismantling and early-warning signals of disintegration in complex systems. Nature Communications, 12(1), 2021.
- Marco Grassia and Giuseppe Mangioni. Coregdm: Geometric deep learning network decycling and dismantling. In Andreia Sofia Teixeira, Federico Botta, José Fernando Mendes, Ronaldo Menezes, and Giuseppe Mangioni, editors, Complex Networks XIV, pages 86–94, Cham, 2023. Springer Nature Switzerland.
- Konstantin Zuev, Marián Boguñá, Ginestra Bianconi, and Dmitri Krioukov. Emergence of soft communities from geometric preferential attachment. Scientific Reports, 5(1):9421, Apr 2015.
- Alessandro Muscoloni and Carlo Vittorio Cannistraci. A nonuniform popularity-similarity optimization (npso) model to efficiently generate realistic complex networks with communities. New Journal of Physics, 20(5):052002, may 2018.
- Fragkiskos Papadopoulos, Maksim Kitsak, M. Ángeles Serrano, Marián Boguñá, and Dmitri Krioukov. Popularity versus similarity in growing networks. Nature, 489(7417):537–540, Sep 2012.
- Phillip Bonacich and. Factoring and weighting approaches to status scores and clique identification. The Journal of Mathematical Sociology, 2(1):113–120, 1972.
- Lawrence Page, Sergey Brin, Rajeev Motwani, and Terry Winograd. The pagerank citation ranking: Bringing order to the web. Technical Report 1999-66, Stanford InfoLab, November 1999. Previous number = SIDL-WP-1999-0120.
- Changjun Fan, Li Zeng, Yizhou Sun, and Yang-Yu Liu. Finding key players in complex networks through deep reinforcement learning. Nature Machine Intelligence, 2(6):317–324, Jun 2020.
- Ginestra Bianconi, Richard K. Darst, Jacopo Iacovacci, and Santo Fortunato. Triadic closure as a basic generating mechanism of communities in complex networks. Phys. Rev. E, 90:042806, Oct 2014.
- Changjun Fan, Li Zeng, Yanghe Feng, Baoxin Xiu, Jincai Huang, and Zhong Liu. Revisiting the power of reinsertion for optimal targets of network attack. Journal of Cloud Computing, 9(1), 2020.
- Rui Fan, Ke Xu, and Jichang Zhao. A gpu-based solution for fast calculation of the betweenness centrality in large weighted networks. PeerJ Computer Science, 3:e140, 2017.
- Zhiao Shi and Bing Zhang. Fast network centrality analysis using gpus. BMC Bioinformatics, 12(1):149, May 2011.
- Prasanna Pande and David A. Bader. Computing betweenness centrality for small world networks on a gpu. In Proceedings of the 15th Annual High Performance Embedded Computing Workshop (HPEC), September 2011.
- Adam McLaughlin and David A. Bader. Accelerating gpu betweenness centrality. Commun. ACM, 61(8):85–92, July 2018.
- Ahmet Erdem Sariyüce, Kamer Kaya, Erik Saule, and Ümit V. Çatalyürek. Betweenness centrality on gpus and heterogeneous architectures. In Proceedings of the 6th Workshop on General Purpose Processor Using Graphics Processing Units, GPGPU-6, page 76–85, New York, NY, USA, 2013. Association for Computing Machinery.
- Massimo Bernaschi, Giancarlo Carbone, and Flavio Vella. Scalable betweenness centrality on multi-gpu systems. In Proceedings of the ACM International Conference on Computing Frontiers, CF ’16, page 29–36, New York, NY, USA, 2016. Association for Computing Machinery.
- Ulrik Brandes and. A faster algorithm for betweenness centrality*. The Journal of Mathematical Sociology, 25(2):163–177, 2001.
- C. M. Schneider, T. Mihaljev, and H. J. Herrmann. Inverse targeting —an effective immunization strategy. Europhysics Letters, 98(4):46002, may 2012.
- M. E. J. Newman. Assortative mixing in networks. Phys. Rev. Lett., 89:208701, Oct 2002.
- Carlo Vittorio Cannistraci, Gregorio Alanis-Lobato, and Timothy Ravasi. From link-prediction in brain connectomes and protein interactomes to the local-community-paradigm in complex networks. Scientific Reports, 3(1):1613, Apr 2013.
- M. E. J. Newman. Detecting community structure in networks. The European Physical Journal B, 38(2):321–330, Mar 2004.



| Algorithm | Year | Networks | Ref. |
|---|---|---|---|
| Collective Influence (CI) | 2016 | 0 | [3] |
| CoreHD | 2016 | 12 | [32] |
| Explosive Immunization (EI) | 2016 | 5 | [33] |
| Min-Sum (MS) | 2016 | 2 | [2] |
| GND | 2019 | 10 | [34] |
| Resilience Centrality | 2020 | 4 | [35] |
| GDM | 2021 | 57 | [36] |
| CoreGDM | 2023 | 15 | [37] |
| Domirank Centrality | 2024 | 6 | [25] |
| Fitness Centrality | 2025 | 5 | [26] |
| LGD-NA | 2025 | 1,475 | Ours |
| Field | Subfields | Types | Networks |
|---|---|---|---|
| Biomolecular | 5 | PPI, Genetic, Metabolic, Molecular, Transcription | 27 |
| Brain | 1 | Connectome | 529 |
| Covert | 2 | Covert, Terrorist | 89 |
| Foodweb | 1 | Foodweb | 71 |
| Infrastructure | 7 | Flight, Nautical, Power grid, Rail, Road, Subway, Trade | 314 |
| Internet | 1 | Internet | 206 |
| Misc | 8 | Citation, Copurchasing, Game, Hiring, Lexical, Phone call, Software, Vote | 38 |
| Social | 7 | Coauthorship, Collaboration, Contact, Email, Friendship, Social network, Trust | 201 |
| Total | 32 | 1,475 |
Disclaimer/Publisher’s Note: The statements, opinions and data contained in all publications are solely those of the individual author(s) and contributor(s) and not of MDPI and/or the editor(s). MDPI and/or the editor(s) disclaim responsibility for any injury to people or property resulting from any ideas, methods, instructions or products referred to in the content. |
© 2025 by the authors. Licensee MDPI, Basel, Switzerland. This article is an open access article distributed under the terms and conditions of the Creative Commons Attribution (CC BY) license (http://creativecommons.org/licenses/by/4.0/).