Submitted:
27 May 2025
Posted:
28 May 2025
You are already at the latest version
Abstract
Keywords:
1. Introduction
2. Materials and Methods
2.1. Design, Population, and Sample
2.1.1. Sample size
2.2. Variables
- Are you feeling fatigued?
- Are you unable to climb one flight of stairs?
- Are you unable to walk one block?
- Do you have more than five illnesses?
- Have you lost more than 5% of your weight in the past six months?
2.3. Procedures
2.4. Ethical Considerations
2.5. Statistical Analysis
3. Results
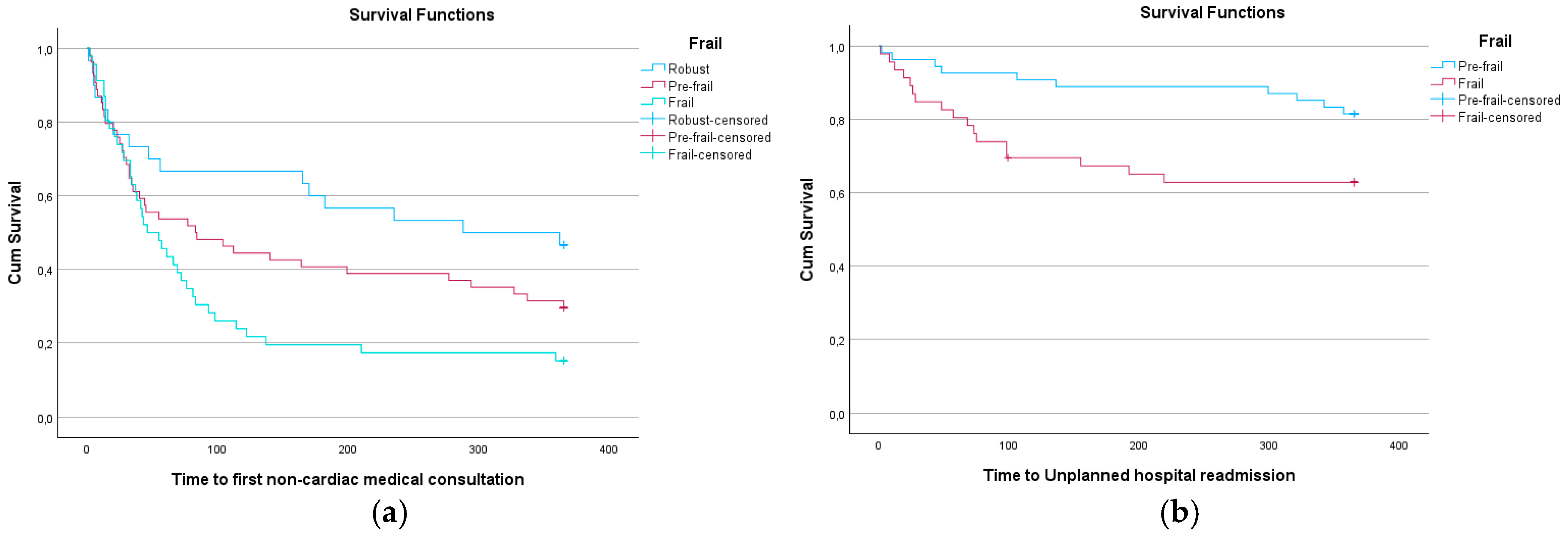
3.1. Survival Analysis
3.2. Univariate Analysis of Frailty Groups and Survival Events
3.3. Univariate and Multivariate Analysis of Sociodemographic and Clinical Variables about Frailty Status and Survival Events
3.3.1. First Cardiology Consultation
3.3.2. First Medical Consultation for Other Reasons
3.3.3. Emergency Care
3.3.4. Unplanned Hospital Readmission
3.4. Multivariate Backward Stepwise Analysis
3.4.1. First Cardiology Consultation
3.4.2. First Medical Consultation for Other Reasons
3.4.3. Emergency Care
3.4.4. Unplanned Hospital Readmission
4. Discussion
5. Conclusions
Author Contributions
Funding
Institutional Review Board Statement
Informed Consent Statement
Data Availability Statement
Guidelines and Standards Statement
Conflicts of Interest
Abbreviations
| ACS | Acute Coronary Syndrome |
| BMI | Body Mass Index |
| CI | Confidence Interval |
| CVD | Cardiovascular Disease |
| FRAIL | Fatige, Resistence, Ambulation, Illnesses, Loss of weight |
| HDL | High-Density Lipoprotein Cholesterol |
| LDL | Low-Density Lipoprotein Cholesterol |
| HR | Hazard Rate |
| NSTE-ACS | Non-ST Segment Elevation Acute Coronary Syndrome |
| OR | Odds Ratio |
References
- Hoogendijk, E.O.; Afilalo, J.; Ensrud, K.E.; et al. Frailty: implications for clinical practice and public health. Lancet 2019, 394, 1365–1375. [Google Scholar] [CrossRef] [PubMed]
- Dou, Q.; Wang, W.; Wang, H.; et al. Prognostic value of frailty in elderly patients with acute coronary syndrome: A systematic review and meta-analysis. BMC Geriatr 2019, 19, 1–10. [Google Scholar] [CrossRef] [PubMed]
- Xu, W.; Cai, Y.; Liu, H.; et al. Frailty as a predictor of all-cause mortality and readmission in older patients with acute coronary syndrome: A systematic review and meta-analysis. Wien Klin Wochenschr 2020, 132, 301–309. [Google Scholar] [CrossRef]
- Yao, S.M.; Zheng, P.P.; Liang, Y.D.; et al. Predicting non-elective hospital readmission or death using a composite assessment of cognitive and physical frailty in elderly inpatients with cardiovascular disease. BMC Geriatr 2020, 20, 1–10. [Google Scholar] [CrossRef]
- Bueno, H.; Beatriz, P.-G. Global rounds: cardiovascular health, disease, and Care in Spain. Circulation 2019, 140, 13–15. [Google Scholar] [CrossRef]
- Rodríguez-Queraltó, O.; Formiga, F.; López-Palop, R.; et al. FRAIL Scale also Predicts Long-Term Outcomes in Older Patients With Acute Coronary Syndromes. J Am Med Dir Assoc 2020, 21, 683–687e1. [Google Scholar] [CrossRef]
- Batty, J.; Qiu, W.; Gu, S.; et al. One-year clinical outcomes in older patients with non-ST elevation acute coronary syndrome undergoing coronary angiography: An analysis of the ICON1 study. Int J Cardiol 2019, 274, 45–51. [Google Scholar] [CrossRef]
- Shi, J.; Tao, Y.; Meng, L.; et al. Frailty Status Among the Elderly of Different Genders and the Death Risk: A Follow-Up Study. Front Med; 8. Epub ahead of print 2021. [CrossRef]
- Vicent, L.; Ariza-Solé, A.; Alegre, O.; et al. Octogenarian women with acute coronary syndrome present frailty and readmissions more frequently than men. Eur Hear J Acute Cardiovasc Care 2019, 8, 252–263. [Google Scholar] [CrossRef] [PubMed]
- Kim, D.H.; Rockwood, K. Frailty in Older Adults. N Engl J Med 2024, 391, 538–548. [Google Scholar] [CrossRef]
- Fried, L.P.; Cohen, A.A.; Xue, Q.-L.; et al. The physical frailty syndrome as a transition from homeostatic symphony to cacophony. Nat Aging 2021, 1, 36–46. [Google Scholar] [CrossRef]
- Morley, J.E.; Malmstrom, T.K.; Miller, D.K. A simple frailty questionnaire (FRAIL) predicts outcomes in middle aged african americans. J Nutr Heal Aging 2012, 16, 601–608. [Google Scholar] [CrossRef] [PubMed]
- Newman, A.B.; Gottdiener, J.S.; McBurnie, M.A.; et al. Associations of subclinical cardiovascular disease with frailty. Journals Gerontol - Ser A Biol Sci Med Sci 2001, 56, M158–M166. [Google Scholar] [CrossRef] [PubMed]
- Gleason, L.J.; Benton, E.A.; Alvarez-Nebreda, M.L.; et al. FRAIL Questionnaire Screening Tool and Short-Term Outcomes in Geriatric Fracture Patients. J Am Med Dir Assoc 2017, 18, 1082–1086. [Google Scholar] [CrossRef]
- Xujiao, C.; Genxiang, M.; XLeng, S. Frailty syndrome: an overview. Clin Interv Aging 2014, 19, 433–441. [Google Scholar]
- Lorente, V.; Ariza-solé, A.; Jacob, J.; et al. Criterios de ingreso en unidades de críticos del paciente anciano con síndrome coronario agudo desde los servicios de urgencias hospitalarios de España. Estudio de cohorte LONGEVO-SCA 2019, 154–160. [Google Scholar]
- Benraad, C.E.M.; Haaksma, M.L.; Karlietis, M.H.J.; et al. Frailty as a predictor of mortality in older adults within 5 years of psychiatric admission. Int J Geriatr Psychiatry 2020, 35, 617–625. [Google Scholar] [CrossRef]
- Rodríguez-Mañas, L.; Rodríguez-Sánchez, B.; Carnicero, J.A.; et al. Impact of nutritional status according to GLIM criteria on the risk of incident frailty and mortality in community-dwelling older adults. Clin Nutr 2021, 40, 1192–1198. [Google Scholar] [CrossRef]
- Sinclair, A.J.; Abdelhafiz, A.H. Metabolic Impact of Frailty Changes Diabetes Trajectory. Metabolites; 13. Epub ahead of print 2023. 2023. [CrossRef]
- Corona, L.P.; de Oliveira Duarte, Y.A.; Lebrão, M.L. Markers of nutritional status and mortality in older adults: The role of anemia and hypoalbuminemia. Geriatr Gerontol Int 2018, 18, 177–182. [Google Scholar] [CrossRef] [PubMed]
- Mahoney, F.I.; Barthel, D.W. FUNCTIONAL EVALUATION: THE BARTHEL INDEX. Md State Med J 1965, 14, 61–5. [Google Scholar]
- Liotta, G.; Gilardi, F.; Orlando, S.; et al. Cost of hospital care for the older adults according to their level of frailty. A cohort study in the Lazio region, Italy. PLoS One 2019, 14, e0217829. [Google Scholar] [CrossRef]
- Cano-Escalera, G.; Graña, M.; Irazusta, J.; et al. Mortality Risks after Two Years in Frail and Pre-Frail Older Adults Admitted to Hospital. J Clin Med 2023, 12, 3103. [Google Scholar] [CrossRef] [PubMed]
- Lyu, H.; Wang, C.; Jiang, H.; et al. Prevalence and determinants of frailty in older adult patients with chronic coronary syndrome: a cross-sectional study. BMC Geriatr 2021, 21, 1–9. [Google Scholar] [CrossRef]
- Sato, R.; Vatic, M.; da Fonseca, G.W.P.; et al. Sarcopenia and Frailty in Heart Failure: Is There a Biomarker Signature? Curr Heart Fail Rep 2022, 19, 400–411. [Google Scholar] [CrossRef]
- Wu, Y.; Xiong, T.; Tan, X.; et al. Frailty and risk of microvascular complications in patients with type 2 diabetes: a population-based cohort study. BMC Med 2022, 20, 1–13. [Google Scholar] [CrossRef] [PubMed]
- Liang, H.; Li, X.; Lin, X.; et al. The correlation between nutrition and frailty and the receiver operating characteristic curve of different nutritional indexes for frailty. BMC Geriatr 2021, 21, 1–7. [Google Scholar] [CrossRef]
- Markle-Reid, M.; Browne, G. Conceptualizations of frailty in relation to older adults. J Adv Nurs 2003, 44, 58–68. [Google Scholar] [CrossRef] [PubMed]
- Rivas-González, N.; López, M.; Martín-Gil, B.; et al. Relationship Between Frailty and Risk of Falls Among Hospitalised Older People with Cardiac Conditions: An Observational Cohort Study. Nurs Reports 2025, 15, 1–16. [Google Scholar] [CrossRef]
- Richter, D.; Guasti, L.; Walker, D.; et al. Frailty in cardiology: Definition, assessment and clinical implications for general cardiology. A consensus document of the Council for Cardiology Practice (CCP), Association for Acute Cardio Vascular Care (ACVC), Association of Cardiovascular Nursing and. Eur J Prev Cardiol 2022, 29, 216–227. [Google Scholar] [CrossRef]
- Fallon, A.; Kilbane, L.; Briggs, R.; et al. Screening for frailty in older emergency department patients: the utility of the Survey of Health, Ageing and Retirement in Europe Frailty Instrument. QJM An Int J Med 2018, 111, 151–154. [Google Scholar] [CrossRef]
- Wang, X.; Sun, Y.; Wang, P.; et al. Impact of frailty on survival and readmission in patients with gastric cancer undergoing gastrectomy: A meta-analysis. Front Oncol 2022, 12, 1–9. [Google Scholar] [CrossRef]
- Von Elm, E.; Altman, D.G.; Egger, M.; et al. The Strengthening the Reporting of Observational Studies in Epidemiology (STROBE) Statement: Guidelines for reporting observational studies. Bull World Health Organ 2007, 85, 867–872. [Google Scholar] [CrossRef] [PubMed]


| n= 130 Variable | Total | Frail (n=46) | Pre-frail (n=54) | Robust (n=30) |
|---|---|---|---|---|
| Mean (SD) | Mean (SD) | Mean (SD) | Mean (SD) | |
| Age (years) | 72.98 (7.67) | 75.22 (8.68) | 71.70 (7.22) | 71.87 (6.13) |
| Male n=89 | 73.04 (7.39) | 74.00 (9.00) | 72.00 (7.00) | 73.00 (5.00) |
| Female n=41 | 72.85 (8.34) | 77.00 (8.00) | 71.00 (8.00) | 70.00 (8.00) |
| BMI (kg/m²) | 27.58 (4.38) | 27.49 (4.75) | 27.98 (4.54) | 26.99 (3.45) |
| Male | 27.55 (4,06) | 27.80 (4.50) | 27.30 (4.30) | 27.60 (3.00) |
| Female | 27.64 (5.05) | 26.70 (5.40) | 29.20 (4.80) | 25.50 (4.20) |
| Abdominal Circumference (cm) | 102.58 (13.14) | 103.84 (12.81) | 102.44 (14.84) | 101.18 (10.35) |
| Male ** | 104.60 (10.98) | 105.90 (11.70) | 103.60 (11.90) | 104.20 (8.30) |
| Female | 98.41 (16.28) | 98.60 (14.40) | 100.50 (19.00) | 93.00 (11.50) |
| Barthel Index | 96.00 (8.38) | 93.26 (9.79) | 96.30 (8.64) | 99.67* (1.27) |
| Male ** | 97.08 (6.02) | 95.15 (7.23) | 97.21 (6.05) | 99.77* (1.07) |
| Female | 93.66 (11.78) | 88.46 (13.60) | 94.75 (11.86) | 99.38 (1.77) |
| Total Cholesterol (mg/dL) | 159.39 (43.78) | 154.41 (49.53) | 162.15 (41.26) | 162.07 (39.34) |
| Male | 152.12 (44.50) | 151.06 (50.59) | 154.47 (45.29) | 150.09 (34.09) |
| Female ** | 175.17 (38.11) | 162.92 (47.61) | 175.20 (30.04) | 195.00 (35.16) |
| HDL (mg/dL) | 44.99 (14.24) | 43.24 (11.52) | 45.98 (14.25) | 45.90 (17.81) |
| Male | 42.33 (12.01) | 42.36 (11.81) | 43.50 (12.74) | 40.45 (11.39) |
| Female ** | 50.78 (16.91) | 45.46 (10.76) | 50.20 (15.96) | 60.88 (23.98) |
| LDL (mg/dL) | 90.85 (36.88) | 86.85 (41.42) | 94.04 (35.26) | 91.23 (32.71) |
| Male | 86.94 (37.91) | 84.73 (42.55) | 89.79 (39.24) | 85.86 (28.65) |
| Female | 99.32 (33.42) | 92.23 (39.51) | 101.25 (26.60) | 106.00 (40.38) |
| Albumin (g/dL) | 3.98 (1.12) | 3.73 (0.72) | 4.14 (1.50) | 4.06 (0.71) |
| Male | 4.05 (1.32) | 3.77 (0.71) | 4.27 (1.86) | 4.12 (0.83) |
| Female | 3.83 (0.52) | 3.65 (0.77) | 3.90 (0.39) | 4.12 (0.83) |
| Hemoglobin (g/dL) | 13.78 (1.93) | 13.48 (2.26) | 13.84 (1.77) | 14.13 (1.63) |
| Male | 14.13 (1.98) | 13.80 (2.38) | 14.26 (1.70) | 14.40 (1.74) |
| Female | 13.03 (1.60) | 12.65 (1.76) | 13.12 (1.70) | 13.40 (1.04) |
| Creatinine (mg/dL) | 1.15 (0.82) | 1.33 (1.26) | 1.10 (0.47) | 0.95 (0.22) |
| Male** | 1.22 (0.95) | 1.41 (1.47) | 1.18 (0.50) | 1.00 (0.22) |
| Female | 0.99 (0.39) | 1.15 (0.44) | 0.95 (0.41) | 0.81 (0.17) |
| Length of Stay (days) | 8.84 (5.68) | 11.35* (7.74) | 9.70 (9.00) | 6.90 (3.01) |
| Male | 9.56 (6.19) | 12.18 (8.75) | 10.53 (5.56) | 7.00 (3.30) |
| Female | 7.22 (3.97) | 9.23 (3.70) | 8.30 (9.30) | 6.63 (2.20) |
| Survival Outcome | Frailty Status | Mantel-Cox | |||||
|---|---|---|---|---|---|---|---|
| Frail | Pre-frail | Robust | ꭕ² | df | p-value | ||
| Mean (SD) | |||||||
| Time to first cardiology visit | 153.98 (139.03) | 205.07 (135.04) | 215.03 (129.85) | 4.25 | 2 | 0.119 | |
| Time to first non-cardiac visit | 105.63 (126.32) | 165.91 (157.17) | 223.70 (158.62) | 8.61 | 2 | 0.014* | |
| Time to emergency care | 210.39 (149.45) | 255.33 (138.16) | 257.57 (142.04) | 2.29 | 2 | 0.193 | |
| Time to unplanned readmission | 250.43 (149.58) | 328.22 (98.61) | 295.33 (132.05) | 5.23 | 2 | 0.073 | |
| Death | 363.00 (30.20) | 358.24 (49.67) | 365.00 (0.00) | 0.62 | 2 | 0.734 | |
| Survival Outcome | Frailty Status Comparison | Mantel-Cox χ² | df | p-value |
|---|---|---|---|---|
| Time to first cardiology consultation | Frail vs. Robust | 2.78 | 1 | 0.096 |
| Frail vs. Pre-frail | 1.59 | 1 | 0.452 | |
| Time to first non-cardiac consultation | Frail vs. Robust | 8.71 | 1 | 0.003 ** |
| Frail vs. Pre-frail | 2.72 | 1 | 0.099 | |
| Time to emergency care | Frail vs. Robust | 2.08 | 1 | 0.149 |
| Frail vs. Pre-frail | 2.43 | 1 | 0.119 | |
| Time to unplanned hospital readmission | Frail vs. Robust | 1.49 | 1 | 0.221 |
| Frail vs. Pre-frail | 5.01 | 1 | 0.025 * | |
| Death | Frail vs. Robust | 0.652 | 1 | 0.419 |
| Frail vs. Pre-frail | 0.011 | 1 | 0.915 |
| Frailty Comparison | Survival Outcome | B | df | p-value | HR | 95% CI |
|---|---|---|---|---|---|---|
| Robust -Pre-frail-Frail | First cardiology consultation | 0.264 | 1 | 0.073 | 1.302 | 0.976 – 1.736 |
| First non-cardiac consultation | 0.414 | 1 | 0.004 ** | 1.513 | 1.143 – 2.003 | |
| Emergency care | 0.273 | 1 | 0.107 | 1.314 | 0.943 – 1.832 | |
| Unplanned hospital readmission | 0.387 | 1 | 0.111 | 1.473 | 0.915 – 2.371 | |
| Frail vs. Pre-frail | First cardiology consultation | -0.417 | 1 | 0.086 | 0.659 | 0.409 – 1.062 |
| First non-cardiac consultation | -0.376 | 1 | 0.103 | 0.687 | 0.437 – 1.078 | |
| Emergency care | -0.427 | 1 | 0.122 | 0.653 | 0.380 – 1.120 | |
| Unplanned hospital readmission | -0.866 | 1 | 0.030 * | 0.421 | 0.192 – 0.920 | |
| Frail vs. Robust | First cardiology consultation | 0.473 | 1 | 0.100 | 1.605 | 0.914 – 2.818 |
| First non-cardiac consultation | 0.870 | 1 | 0.004 ** | 2.386 | 1.316 – 4.325 | |
| Emergency care | 0.480 | 1 | 0.153 | 1.616 | 0.836 – 3.125 | |
| Unplanned hospital readmission | 0.542 | 1 | 0.228 | 1.720 | 0.713 – 4.149 | |
| Frail vs. Robust + Pre-frail | First cardiology consultation | 0.448 | 1 | 0.042 * | 1.565 | 1.016 – 2.409 |
| First non-cardiac consultation | 0.536 | 1 | 0.012 * | 1.709 | 1.125 – 2.596 | |
| Emergency care | 0.447 | 1 | 0.073 | 1.563 | 0.959 – 2.549 | |
| Unplanned hospital readmission | 0.746 | 1 | 0.030 * | 2.109 | 1.076 – 4.135 |
| Outcome | Variable | Univariate Analysis | Multivariate Analysis | ||||
|---|---|---|---|---|---|---|---|
| p-value | HR | 95% CI Lower–Upper | p-value | HR | 95% CI Lower–Upper | ||
| First cardiology consultation | Frailty | 0.073 | 1.302 | 0.976 – 1.736 | 0.111 | 1.405 | 0.924 – 2.136 |
| Age | 0.069 | 1.026 | 0.998 – 1.054 | 0.286 | 1.023 | 0.981 – 1.066 | |
| Sex | 0.646 | 1.110 | 0.711 – 1.735 | 0.406 | 0.727 | 0.343 – 1.541 | |
| Diagnosis | 0.207 | 1.193 | 0.907 – 1.569 | 0.260 | 0.818 | 0.576 – 1.161 | |
| Previous readmission | 0.545 | 1.200 | 0.665 – 2.164 | 0.103 | 0.480 | 0.198 – 1.161 | |
| Diabetes mellitus | 0.741 | 1.077 | 0.692 – 1.677 | 0.334 | 0.706 | 0.349 – 1.431 | |
| Dyspnea | 0.151 | 1.391 | 0.886 – 2.182 | 0.432 | 1.271 | 0.699 – 2.308 | |
| Barthel Index | 0.676 | 1.005 | 0.980 – 1.031 | 0.067 | 1.044 | 0.997 – 1.094 | |
| Albumin | 0.011 ** | 0.644 | 0.459 – 0.905 | 0.126 | 0.694 | 0.434 – 1.108 | |
| Hemoglobin | 0.004 ** | 0.856 | 0.770 – 0.951 | 0.011 * | 0.808 | 0.686 – 0.952 | |
| Creatinine | 0.102 | 1.206 | 0.964 – 1.510 | 0.359 | 1.319 | 0.730 – 2.385 | |
| Total cholesterol | 0.264 | 0.997 | 0.991 – 1.002 | 0.037 * | 0.980 | 0.961 – 0.999 | |
| HDL cholesterol | 0.592 | 1.004 | 0.989 – 1.020 | 0.036 * | 1.029 | 1.002 – 1.058 | |
| LDL cholesterol | 0.496 | 0.998 | 0.991 – 1.004 | 0.030 * | 1.022 | 1.002 – 1.042 | |
| Body mass index (BMI) | 0.535 | 0.986 | 0.942 – 1.031 | 0.339 | 1.067 | 0.934 – 1.220 | |
| Abdominal circumference | 0.307 | 0.992 | 0.977 – 1.007 | 0.729 | 0.993 | 0.951 – 1.036 | |
| Length of hospital stay | <0.01 ** | 1.079 | 1.037 – 1.122 | 0.002 ** | 1.085 | 1.031 – 1.141 | |
| First consultation (non-cardiac) | Frailty | 0.004 ** | 1.513 | 1.143 – 2.003 | 0.068 | 1.473 | 0.971 – 2.232 |
| Age | 0.533 | 0.992 | 0.967 – 1.018 | 0.175 | 0.975 | 0.941 – 1.011 | |
| Sex | 0.834 | 1.048 | 0.676 – 1.626 | 0.855 | 1.067 | 0.535 – 2.128 | |
| Diagnosis | 0.604 | 1.069 | 0.831 – 1.377 | 0.213 | 0.792 | 0.548 – 1.144 | |
| Previous readmission | 0.203 | 1.420 | 0.827 – 2.437 | 0.745 | 1.136 | 0.526 – 2.453 | |
| Diabetes mellitus | 0.011 * | 1.719 | 1.134 – 2.605 | 0.448 | 1.257 | 0.697 – 2.266 | |
| Dyspnea | 0.523 | 1.157 | 0.739 – 1.811 | 0.943 | 0.980 | 0.565 – 1.700 | |
| Barthel Index | 0.317 | 0.989 | 0.967 – 1.011 | 0.860 | 0.996 | 0.958 – 1.036 | |
| Albumin | 0.273 | 0.846 | 0.627 – 1.141 | 0.949 | 0.991 | 0.749 – 1.310 | |
| Hemoglobin | 0.024 * | 0.885 | 0.796 – 0.984 | 0.251 | 0.906 | 0.766 – 1.072 | |
| Creatinine | 0.601 | 1.060 | 0.851 – 1.320 | 0.730 | 0.887 | 0.448 – 1.754 | |
| Total cholesterol | 0.066 | 0.995 | 0.990 – 1.000 | 0.808 | 0.997 | 0.970 – 1.024 | |
| HDL cholesterol | 0.556 | 0.996 | 0.981 – 1.010 | 0.678 | 1.006 | 0.978 – 1.035 | |
| LDL cholesterol | 0.034 * | 0.993 | 0.987 – 0.999 | 0.787 | 0.996 | 0.968 – 1.025 | |
| Body mass index (BMI) | 0.207 | 1.029 | 0.984 – 1.076 | 0.408 | 1.055 | 0.929 – 1.199 | |
| Abdominal circumference | 0.577 | 1.004 | 0.989 – 1.019 | 0.861 | 0.996 | 0.957 – 1.037 | |
| Length of hospital stay | 0.155 | 1.027 | 0.990 – 1.065 | 0.267 | 1.027 | 0.980 – 1.076 | |
| Emergency care | Frailty | 0.107 | 1.314 | 0.943 – 1.832 | 0.477 | 1.189 | 0.738 – 1.915 |
| Age | 0.454 | 1.012 | 0.981 – 1.044 | 0.963 | 1.001 | 0.960 – 1.044 | |
| Sex | 0.404 | 1.241 | 0.748 – 2.060 | 0.302 | 1.639 | 0.641 – 4.188 | |
| Diagnosis | 0.883 | 1.023 | 0.759 – 1.378 | 0.937 | 0.984 | 0.652 – 1.483 | |
| Previous readmission | 0.072 | 1.747 | 0.952 – 3.208 | 0.482 | 1.367 | 0.572 – 3.268 | |
| Diabetes mellitus | 0.601 | 1.142 | 0.694 – 1.878 | 0.646 | 1.187 | 0.572 – 2.461 | |
| Dyspnea | 0.804 | 1.069 | 0.632 – 1.806 | 0.357 | 0.725 | 0.366 – 1.438 | |
| Barthel Index | 0.899 | 0.998 | 0.971 – 1.027 | 0.999 | 1.000 | 0.957 – 1.045 | |
| Albumin | 0.288 | 1.182 | 0.868 – 1.609 | 0.069 | 1.344 | 0.977 – 1.849 | |
| Hemoglobin | 0.316 | 0.939 | 0.830 – 1.062 | 0.583 | 1.059 | 0.864 – 1.297 | |
| Creatinine | 0.329 | 0.789 | 0.489 – 1.271 | 0.788 | 0.893 | 0.392 – 2.036 | |
| Total cholesterol | 0.462 | 0.998 | 0.992 – 1.004 | 0.321 | 0.987 | 0.963 – 1.012 | |
| HDL cholesterol | 0.827 | 1.002 | 0.984 – 1.020 | 0.133 | 1.023 | 0.993 – 1.054 | |
| LDL cholesterol | 0.428 | 0.997 | 0.990 – 1.004 | 0.680 | 1.005 | 0.980 – 1.032 | |
| Body mass index (BMI) | 0.609 | 1.014 | 0.962 – 1.068 | 0.065 | 1.168 | 0.990 – 1.377 | |
| Abdominal circumference | 0.727 | 0.997 | 0.979 – 1.015 | 0.087 | 0.958 | 0.912 – 1.006 | |
| Length of hospital stay | 0.011 * | 1.055 | 1.012 – 1.100 | 0.011 * | 1.083 | 1.018 – 1.153 | |
| Unplanned hospital readmission | Frailty | 0.111 | 1.473 | 0.915 – 2.371 | 0.764 | 1.111 | 0.558 – 2.215 |
| Age | 0.707 | 0.992 | 0.948 – 1.037 | 0.152 | 0.954 | 0.894 – 1.018 | |
| Sex | 0.515 | 0.776 | 0.362 – 1.663 | 0.942 | 0.959 | 0.311 – 2.957 | |
| Diagnosis | 0.023 * | 1.550 | 1.061 – 2.265 | 0.545 | 1.182 | 0.687 – 2.036 | |
| Previous readmission | 0.196 | 1.731 | 0.753 – 3.977 | 0.625 | 1.374 | 0.384 – 4.917 | |
| Diabetes mellitus | 0.011 * | 2.394 | 1.220 – 4.697 | 0.276 | 1.671 | 0.663 – 4.207 | |
| Dyspnea | 0.766 | 0.891 | 0.416 – 1.908 | 0.691 | 0.817 | 0.301 – 2.216 | |
| Barthel Index | 0.040 * | 0.970 | 0.942 – 0.999 | 0.154 | 0.962 | 0.912 – 1.015 | |
| Albumin | 0.255 | 1.126 | 0.918 – 1.381 | 0.352 | 1.152 | 0.855 – 1.550 | |
| Hemoglobin | 0.287 | 0.910 | 0.765 – 1.082 | 0.392 | 0.881 | 0.659 – 1.178 | |
| Creatinine | 0.679 | 1.069 | 0.780 – 1.463 | 0.168 | 1.826 | 0.776 – 4.297 | |
| Total cholesterol | 0.985 | 1.000 | 0.992 – 1.008 | 0.088 | 0.975 | 0.947 – 1.004 | |
| HDL cholesterol | 0.140 | 0.979 | 0.951 – 1.007 | 0.485 | 0.984 | 0.939 – 1.030 | |
| LDL cholesterol | 0.399 | 1.004 | 0.995-1.012 | 0.021 * | 1.038 | 1.006 – 1.071 | |
| Body mass index (BMI) | 0.536 | 1.024 | 0.950 – 1.104 | 0.487 | 1.083 | 0.865 – 1.355 | |
| Abdominal circumference | 0.451 | 1.009 | 0.985 – 1.035 | 0.632 | 0.982 | 0.910 – 1.059 | |
| Length of hospital stay | <0.001 ** | 1.086 | 1.034 – 1.140 | 0.505 | 1.025 | 0.954 – 1.100 | |
Disclaimer/Publisher’s Note: The statements, opinions and data contained in all publications are solely those of the individual author(s) and contributor(s) and not of MDPI and/or the editor(s). MDPI and/or the editor(s) disclaim responsibility for any injury to people or property resulting from any ideas, methods, instructions or products referred to in the content. |
© 2025 by the authors. Licensee MDPI, Basel, Switzerland. This article is an open access article distributed under the terms and conditions of the Creative Commons Attribution (CC BY) license (http://creativecommons.org/licenses/by/4.0/).