Submitted:
20 May 2025
Posted:
21 May 2025
You are already at the latest version
Abstract
Keywords:
1. Introduction
2. Materials and Methods
2.1. Study Area Location
2.2. Field Data Collection
2.3. Climatic Data
2.4. Remote Sensing Data
2.5. Recruitment and Mortality Dynamics
2.6. Periodic Annual Increments
2.7. Modeling with Random Forest
2.8. Bias Correction of Estimates
2.9. Generation of Spatial Maps
3. Results and Discussion
3.1. Growth Dynamics
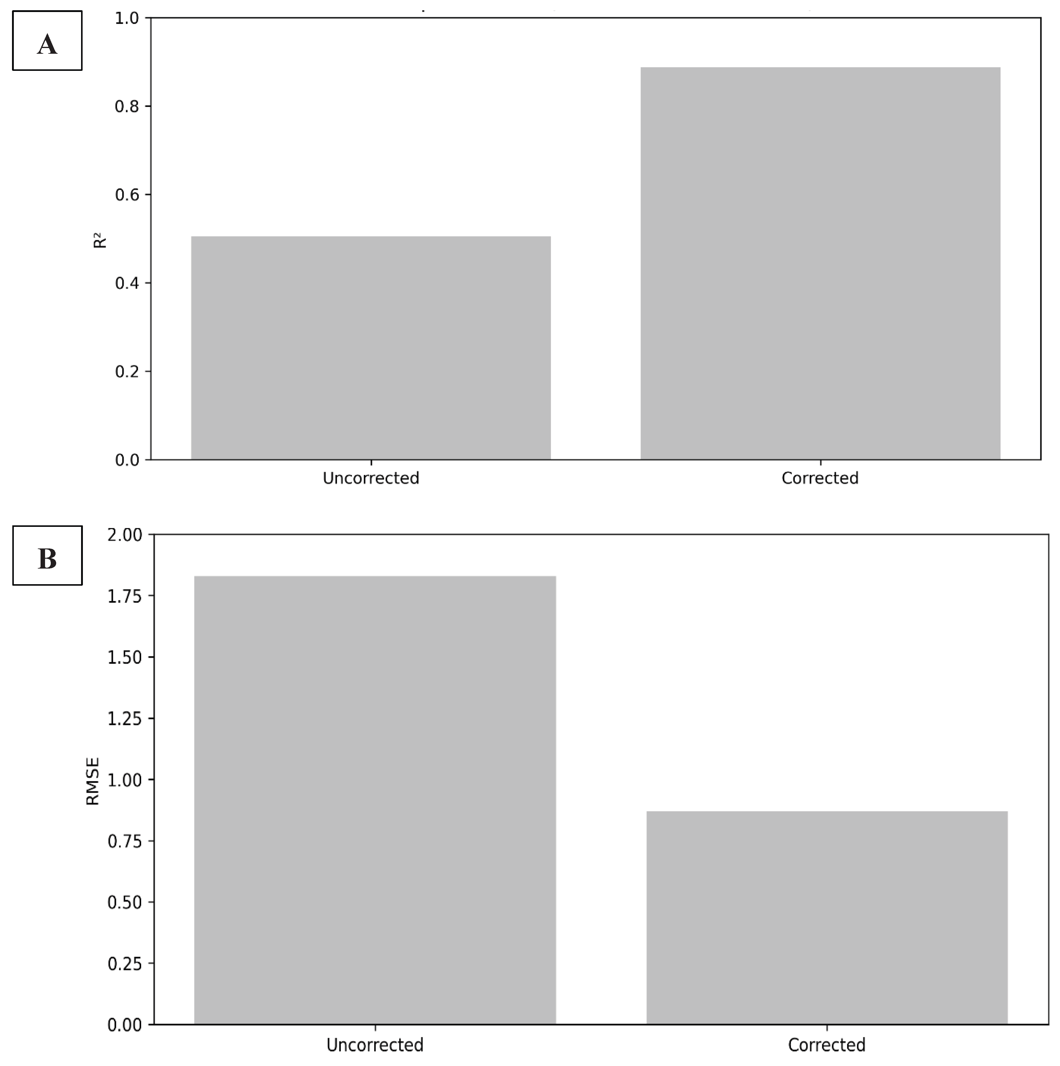
3.2. Random Forest Model Performance
4. Conclusions
Author Contributions
Funding
Data Availability Statement
Acknowledgments
Conflicts of Interest
References
- Perrando, E.R.; Breunig, F.M.; Galvão, L.S.; Bostelmann, S.L.; Martarello, V.; Straube, J.; Conte, B.; Sestari, G.; Burgin, M.R.B.; De Marco, R. Evaluation of the Effects of Pine Management on the Water Yield and Quality in Southern Brazil. Journal of Sustainable Forestry 2021, 40, 217–233. [Google Scholar] [CrossRef]
- Kumar Mishra, R.; Agarwal, R. Sustainable Forest Land Management to Restore Degraded Lands. 2024. [Google Scholar] [CrossRef]
- DA SILVA, A.F. ESTRUTURA E DINÂMICA RELACIONADAS A FATORES AMBIENTAIS EM FLORESTA SECA SUBMETIDA AO MANEJO FLORESTAL , Universidade Federal Rural de Pernambuco: Recife, 2023.
- Salazar, A.A.; Arellano, E.C.; Muñoz-sáez, A.; Miranda, M.D.; da Silva, F.O.; Zielonka, N.B.; Crowther, L.P.; Silva-ferreira, V.; Oliveira-reboucas, P.; Dicks, L. V. Restoration and Conservation of Priority Areas of Caatinga’s Semi-Arid Forest Remnants Can Support Connectivity within an Agricultural Landscape. Land 2021, Vol. 10, Page 550 2021, 10, 550. [Google Scholar] [CrossRef]
- Melo, C. L. S. M. S. D.; Ferreira, R. L. C.; Silva, J. A. A. D.; Machuca, M. Á. H.; Cespedes, G. H. G. Dynamics of Dry Tropical Forest after Three Decades of Vegetation Suppression. Floresta e Ambiente 2019, 26. [Google Scholar] [CrossRef]
- DOS SANTOS, N.Á.T. DINÂMICA DA FLORESTA SECA SOB DIFERENTES HISTÓRICOS DE USO: DISTRIBUIÇÃO DIAMÉTRICA DE INDIVÍDUOS E FUSTES, Universidade Federal Rural de Pernambuco: Recife, 2021.
- Dalla Lana, M.; Ferreira, R.L.C.; da Silva, J.A.A.; Duda, G.P.; Cespedes, G.H.G. Carbon Content in Shrub-Tree Species of the Caatinga. Floresta e Ambiente 2019, 26, e20170617. [Google Scholar] [CrossRef]
- Abreu, J. C. D.; Silva, J. A. A. D.; Ferreira, R. L. C.; Rocha, S. J. S. S. D.; Tavares, I. D. S.; Farias, A. A.; Silva, A. A. Mixed Models for Nutrients Prediction in Species of the Brazilian Caatinga Biome. Árvore 2023, 47. [Google Scholar] [CrossRef]
- Salami, G.; Ferreira, R.L.C.; Silva, J.A.A. da; Freire, F.J.; Silva, E.A.; Diodato, M.A.; Pessi, D.D. Distribuição Espaço-Temporal Da Biomassa e Carbono Florestal Acima Do Solo Em Floresta Tropical Seca Sob Pressão Antrópica, Brasil. Terr@ Plural 2024, 18, 1–27. [Google Scholar] [CrossRef]
- MOREIRA, G.L. Modelagem de Variáveis Biofísicas Em Floresta Tropical Seca Por Meio de Geotecnologias. 2021.
- de Oliveira, C.P.; Ferreira, R.L.C.; da Silva, J.A.A.; de Lima, R.B.; Silva, E.A.; da Silva, A.F.; de Lucena, J.D.S.; Dos Santos, N.A.T.; Lopes, I.J.C.; Pessoa, M.M. de L.; et al. Modeling and Spatialization of Biomass and Carbon Stock Using LiDAR Metrics in Tropical Dry Forest, Brazil. Forests 2021, Vol. 12, Page 473 2021, 12, 473. [Google Scholar] [CrossRef]
- Beck, H.E.; McVicar, T.R.; Vergopolan, N.; Berg, A.; Lutsko, N.J.; Dufour, A.; Zeng, Z.; Jiang, X.; van Dijk, A.I.J.M.; Miralles, D.G. High-Resolution (1 Km) Köppen-Geiger Maps for 1901–2099 Based on Constrained CMIP6 Projections. Scientific Data 2023 10:1 2023, 10, 1–16. [Google Scholar] [CrossRef]
- Ottoni, F.P.; Filgueira, C.T.S.; Lima, B.N.; Vieira, L.O.; Rangel-Pereira, F.; Oliveira, R.F. Extreme Drought Threatens the Amazon. Science (1979) 2023, 382, 1253–1255. [Google Scholar] [CrossRef]
- AR6 Synthesis Report: Climate Change 2023. Available online: https://www.ipcc.ch/report/ar6/syr/ (accessed on 20 March 2025).
- Santos, J.C.; Leal, I.R.; Almeida-Cortez, J.S.; Fernandes, G.W.; Tabarelli, M. Caatinga: The Scientific Negligence Experienced by a Dry Tropical Forest. Trop Conserv Sci 2011, 4, 276–286. [Google Scholar] [CrossRef]
- Leal, I.R.; Da Silva, J.M.C.; Tabarelli, M.; Lacher, T.E. Changing the Course of Biodiversity Conservation in the Caatinga of Northeastern BrazilCambiando El Curso de La Conservación de Biodiversidad En La Caatinga Del Noreste de Brasil. Conservation Biology 2005, 19, 701–706. [Google Scholar] [CrossRef]
- Pitman, N.C.A.; Silman, M.R.; Terborgh, J.W. Oligarchies in Amazonian Tree Communities: A Ten-Year Review. Ecography 2013, 36, 114–123. [Google Scholar] [CrossRef]
- Ter Steege, H.; Pitman, N.C.A.; Sabatier, D.; Baraloto, C.; Salomão, R.P.; Guevara, J.E.; Phillips, O.L.; Castilho, C. V.; Magnusson, W.E.; Molino, J.F.; et al. Hyperdominance in the Amazonian Tree Flora. Science (1979) 2013, 342. [Google Scholar] [CrossRef]
- Bonal, D.; Burban, B.; Stahl, C.; Wagner, F.; Hérault, B. The Response of Tropical Rainforests to Drought—Lessons from Recent Research and Future Prospects. Ann For Sci 2016, 73, 27–44. [Google Scholar] [CrossRef]
- Elias, F.; Marimon, B.S.; Marimon-Junior, B.H.; Budke, J.C.; Esquivel-Muelbert, A.; Morandi, P.S.; Reis, S.M.; Phillips, O.L. Idiosyncratic Soil-Tree Species Associations and Their Relationships with Drought in a Monodominant Amazon Forest. Acta Oecologica 2018, 91, 127–136. [Google Scholar] [CrossRef]
- Lloyd, J.; Domingues, T.F.; Schrodt, F.; Ishida, F.Y.; Feldpausch, T.R.; Saiz, G.; Quesada, C.A.; Schwarz, M.; Torello-Raventos, M.; Gilpin, M.; et al. Edaphic, Structural and Physiological Contrasts across Amazon Basin Forest-Savanna Ecotones Suggest a Role for Potassium as a Key Modulator of Tropical Woody Vegetation Structure and Function. Biogeosciences 2015, 12, 6529–6571. [Google Scholar] [CrossRef]
- Powers, J.S.; F.X.; S.-A.A.; M.D. Ter Steege, H.; Pitman, N. C. A.; Sabatier, D.; Baraloto, C.; Salomão, R. P. Et Al. Hyperdominance in the Amazonian Tree Flora. Science, 2013, v. 342, n. 6156, p. 325-+. Environmental Research Letters 2018, 13.
- Dickinson, M.B.; Hermann, S.M.; Whigham, D.F. Low Rates of Background Canopy-Gap Disturbance in a Seasonally Dry Forest in the Yucatan Peninsula with a History of Fires and Hurricanes. J Trop Ecol 2001, 17, 895–902. [Google Scholar] [CrossRef]
- Santos, J.R. dos; Narvaes, I.S.; Graca, P.M.L.A.; Goncalves, F.G.; Santos, J.R. dos; Narvaes, I.S.; Graca, P.M.L.A.; Goncalves, F.G. Polarimetric Responses and Scattering Mechanisms of Tropical Forests in the Brazilian Amazon. Advances in Geoscience and Remote Sensing 2009. [Google Scholar] [CrossRef]
- da Conceição Bispo, P.; Picoli, M.C.A.; Marimon, B.S.; Marimon Junior, B.H.; Peres, C.A.; Menor, I.O.; Silva, D.E.; de Figueiredo Machado, F.; Alencar, A.A.C.; de Almeida, C.A.; et al. Overlooking Vegetation Loss Outside Forests Imperils the Brazilian Cerrado and Other Non-Forest Biomes. Nature Ecology & Evolution 2023 8:1 2023, 8, 12–13. [Google Scholar] [CrossRef]
- Chave, J.; Réjou-Méchain, M.; Búrquez, A.; Chidumayo, E.; Colgan, M.S.; Delitti, W.B.C.; Duque, A.; Eid, T.; Fearnside, P.M.; Goodman, R.C.; et al. Improved Allometric Models to Estimate the Aboveground Biomass of Tropical Trees. Glob Chang Biol 2014, 20, 3177–3190. [Google Scholar] [CrossRef] [PubMed]
- Rosan, T.M.; Aragão, L.E.O.C.; Oliveras, I.; Phillips, O.L.; Malhi, Y.; Gloor, E.; Wagner, F.H. Extensive 21st-Century Woody Encroachment in South America’s Savanna. Geophys Res Lett 2019, 46, 6594–6603. [Google Scholar] [CrossRef]
- Raymundo, D.; Oliveira-Neto, N.E.; Martini, V.; Araújo, T.N.; Calaça, D.; de Oliveira, D.C. Assessing Woody Plant Encroachment by Comparing Adult and Juvenile Tree Components in a Brazilian Savanna. Flora 2022, 291, 152060. [Google Scholar] [CrossRef]
- Bilar, A.B.C.; Pimentel, R.M. de M.; Cerqueira, M.A. Monitoramento Da Cobertura Vegetal Através de Índices Biofísicos e Gestão de Áreas Protegidas. Geosul 2018, 33, 236–259. [Google Scholar] [CrossRef]
- García-Haro, F.J.; Campos-Taberner, M.; Muñoz-Marí, J.; Laparra, V.; Camacho, F.; Sánchez-Zapero, J.; Camps-Valls, G. Derivation of Global Vegetation Biophysical Parameters from EUMETSAT Polar System. ISPRS Journal of Photogrammetry and Remote Sensing 2018, 139, 57–74. [Google Scholar] [CrossRef]
- Piles, M.; Camps-Valls, G.; Chaparro, D.; Entekhabi, D.; Konings, A.G.; Jagdhuber, T. Remote Sensing of Vegetation Dynamics in Agro-Ecosystems Using Smap Vegetation Optical Depth and Optical Vegetation Indices. International Geoscience and Remote Sensing Symposium (IGARSS) 2017, 4346–4349. [Google Scholar] [CrossRef]
- Verrelst, J.; Malenovský, Z.; Van der Tol, C.; Camps-Valls, G.; Gastellu-Etchegorry, J.P.; Lewis, P.; North, P.; Moreno, J. Quantifying Vegetation Biophysical Variables from Imaging Spectroscopy Data: A Review on Retrieval Methods. Surv Geophys 2019, 40, 589–629. [Google Scholar] [CrossRef]
- Gutiérrez-Castorena, E.V.; Silva-Núñez, J.A.; Gaytán-Martínez, F.D.; Encinia-Uribe, V.V.; Ramírez-Gómez, G.A.; Olivares-Sáenz, E. Evaluation of Statistical Models of NDVI and Agronomic Variables in a Protected Agriculture System. Horticulturae 2025, Vol. 11, Page 131 2025, 11, 131. [Google Scholar] [CrossRef]
- Albuquerque, R.W.; Ferreira, M.E.; Olsen, S.I.; Tymus, J.R.C.; Balieiro, C.P.; Mansur, H.; Moura, C.J.R.; Costa, J.V.S.; Branco, M.R.C.; Grohmann, C.H. Forest Restoration Monitoring Protocol with a Low-Cost Remotely Piloted Aircraft: Lessons Learned from a Case Study in the Brazilian Atlantic Forest. Remote Sensing 2021, Vol. 13, Page 2401 2021, 13, 2401. [Google Scholar] [CrossRef]
- John, E.; Bunting, P.; Hardy, A.; Silayo, D.S.; Masunga, E. A Forest Monitoring System for Tanzania. Remote Sensing 2021, Vol. 13, Page 3081 2021, 13, 3081. [Google Scholar] [CrossRef]
- Wulder, M.A.; White, J.C.; Masek, J.G.; Dwyer, J.; Roy, D.P. Continuity of Landsat Observations: Short Term Considerations. Remote Sens Environ 2011, 115, 747–751. [Google Scholar] [CrossRef]
- Asner, G.P.; Powell, G.V.N.; Mascaro, J.; Knapp, D.E.; Clark, J.K.; Jacobson, J.; Kennedy-Bowdoin, T.; Balaji, A.; Paez-Acosta, G.; Victoria, E.; et al. High-Resolution Forest Carbon Stocks and Emissions in the Amazon. Proc Natl Acad Sci U S A 2010, 107, 16738–16742. [Google Scholar] [CrossRef]
- Saatchi, S.S.; Harris, N.L.; Brown, S.; Lefsky, M.; Mitchard, E.T.A.; Salas, W.; Zutta, B.R.; Buermann, W.; Lewis, S.L.; Hagen, S.; et al. Benchmark Map of Forest Carbon Stocks in Tropical Regions across Three Continents. Proc Natl Acad Sci U S A 2011, 108, 9899–9904. [Google Scholar] [CrossRef]
- Mitchard, E.T.A.; Flintrop, C.M. Woody Encroachment and Forest Degradation in Sub-Saharan Africa’s Woodlands and Savannas 1982–2006. Philosophical Transactions of the Royal Society B: Biological Sciences 2013, 368. [Google Scholar] [CrossRef]
- Berra, E.F.; Fontana, D.C.; Yin, F.; Breunig, F.M. Harmonized Landsat and Sentinel-2 Data with Google Earth Engine. Remote Sensing 2024, Vol. 16, Page 2695 2024, 16, 2695. [Google Scholar] [CrossRef]
- Claverie, M.; Ju, J.; Masek, J.G.; Dungan, J.L.; Vermote, E.F.; Roger, J.C.; Skakun, S. V.; Justice, C. The Harmonized Landsat and Sentinel-2 Surface Reflectance Data Set. Remote Sens Environ 2018, 219, 145–161. [Google Scholar] [CrossRef]
- Breiman, L. Random Forests. Mach Learn 2001, 45, 5–32. [Google Scholar] [CrossRef]
- da Silveira, H.L.F.; Galvão, L.S.; Sanches, I.D.A.; de Sá, I.B.; Taura, T.A. Use of MSI/Sentinel-2 and Airborne LiDAR Data for Mapping Vegetation and Studying the Relationships with Soil Attributes in the Brazilian Semi-Arid Region. International Journal of Applied Earth Observation and Geoinformation 2018, 73, 179–190. [Google Scholar] [CrossRef]
- Hastie, T.; Tibshirani, R.; Friedman, J. The Elements of Statistical Learning. 2009. [Google Scholar] [CrossRef]
- Goodfellow, I.; B.Y.; C.A. Deep Learning; 2016.
- Zhang, J.; Yin, K. Application of Gradient Boosting Model to Forecast Corporate Green Innovation Performance. Front Environ Sci 2023, 11, 1252271. [Google Scholar] [CrossRef]
- Rodriguez-Galiano, V.F.; Ghimire, B.; Rogan, J.; Chica-Olmo, M.; Rigol-Sanchez, J.P. An Assessment of the Effectiveness of a Random Forest Classifier for Land-Cover Classification. ISPRS Journal of Photogrammetry and Remote Sensing 2012, 67, 93–104. [Google Scholar] [CrossRef]
- Powell, S.L.; Cohen, W.B.; Healey, S.P.; Kennedy, R.E.; Moisen, G.G.; Pierce, K.B.; Ohmann, J.L. Quantification of Live Aboveground Forest Biomass Dynamics with Landsat Time-Series and Field Inventory Data: A Comparison of Empirical Modeling Approaches. Remote Sens Environ 2010, 114, 1053–1068. [Google Scholar] [CrossRef]
- Cutler, D.R.; Edwards, T.C.; Beard, K.H.; Cutler, A.; Hess, K.T.; Gibson, J.; Lawler, J.J. RANDOM FORESTS FOR CLASSIFICATION IN ECOLOGY. Ecology 2007, 88, 2783–2792. [Google Scholar] [CrossRef]
- Liaw, A.; Wiener, M. Classification and Regression by RandomForest. 2002, 2. 2002, 2. [Google Scholar]
- Machado, G.; Mendoza, M.R.; Corbellini, L.G. What Variables Are Important in Predicting Bovine Viral Diarrhea Virus? A Random Forest Approach. Vet Res 2015, 46, 1–15. [Google Scholar] [CrossRef] [PubMed]
- Ferreira, R.L.C.D.S.J.A.A.; A.J.F.T.; D.L.R.B.; D.L.M. Components of Growth for Tropical Dry Deciduous Forest, Brazil. In Proceedings of the In: ASA, CSSA & SSSA INTERNATIONAL ANNUAL MEETING, Long Beach.; Long Beach: , 2014.
- Christina, R.; Silva, S.; Luiz, R.; Ferreira, C.; Antônio, J.; Da Silva, A.; Maria, I.; Meunier, J.; Berger, R. Aspectos Fitossociológicos e de Crescimento de Commiphora Leptophloeos No Semiárido Brasileiro. Pesqui Florest Bras 2017, 37, 11–18. [Google Scholar] [CrossRef]
- PIMENTEL, D.J.O. Dinâmica Da Vegetação Lenhosa Em Área de Caatinga, Floresta – PE. 2012. [Google Scholar]
- Silva, G.F.; Mendonça, A.R.; Dias, A.N.; Nogueira, G.S.; Silva, J.A.A.; Oliveira, M.L.R.; Ferreira, R.L.C. Padronização Da Simbologia Em Mensuração e Manejo Florestal; Alegre - ES, 2022. [Google Scholar]
- Zhengming Wan MODIS/Terra Land Surface Temperature/Emissivity Daily L3 Global 1 Km SIN Grid. Available online: https://lpdaac.usgs.gov/products/mod11a1v061/ (accessed on 21 March 2025).
- Funk, C.; Peterson, P.; Landsfeld, M.; Pedreros, D.; Verdin, J.; Shukla, S.; Husak, G.; Rowland, J.; Harrison, L.; Hoell, A.; et al. The Climate Hazards Infrared Precipitation with Stations—a New Environmental Record for Monitoring Extremes. Scientific Data 2015 2:1 2015, 2, 1–21. [Google Scholar] [CrossRef]
- Buitinck, L.; Louppe, G.; Blondel, M.; Pedregosa, F.; Müller, A.C.; Grisel, O.; Niculae, V.; Prettenhofer, P.; Gramfort, A.; Grobler, J.; et al. API Design for Machine Learning Software: Experiences from the Scikit-Learn Project. 2013. [Google Scholar]
- Pedregosa FABIANPEDREGOSA, F.; Michel, V.; Grisel OLIVIERGRISEL, O.; Blondel, M.; Prettenhofer, P.; Weiss, R.; Vanderplas, J.; Cournapeau, D.; Pedregosa, F.; Varoquaux, G.; et al. Scikit-Learn: Machine Learning in Python Gaël Varoquaux Bertrand Thirion Vincent Dubourg Alexandre Passos PEDREGOSA, VAROQUAUX, GRAMFORT ET AL. Matthieu Perrot. Journal of Machine Learning Research 2011, 12, 2825–2830. [Google Scholar]
- McKinney, W. Data Structures for Statistical Computing in Python. In Proceedings of the scipy; SciPy, 2010; pp. 56–61. [Google Scholar]
- Virtanen, P.; Gommers, R.; Oliphant, T.E.; Haberland, M.; Reddy, T.; Cournapeau, D.; Burovski, E.; Peterson, P.; Weckesser, W.; Bright, J.; et al. SciPy 1.0: Fundamental Algorithms for Scientific Computing in Python. Nature Methods 2020 17:3 2020, 17, 261–272. [Google Scholar] [CrossRef]
- Hunter, J.D. Matplotlib: A 2D Graphics Environment. Comput Sci Eng 2007, 9, 90–95. [Google Scholar] [CrossRef]
- Waskom, M.L. Seaborn: Statistical Data Visualization. J Open Source Softw 2021, 6, 3021. [Google Scholar] [CrossRef]
- Harris, C.R.; Millman, K.J.; van der Walt, S.J.; Gommers, R.; Virtanen, P.; Cournapeau, D.; Wieser, E.; Taylor, J.; Berg, S.; Smith, N.J.; et al. Array Programming with NumPy. Nature 2020, 585, 357–362. [Google Scholar] [CrossRef] [PubMed]
- James, G.; Witten, D.; Hastie, T.; Tibshirani, R. Bias-Variance Trade-Off for k-Fold Cross-Validation. An Introduction to Statistical Learning - with Applications in R 2013, 7, 24. [Google Scholar]
- Spearman, C. The Proof and Measurement of Association between Two Things. Am J Psychol 1904, 15, 101. [Google Scholar] [CrossRef]
- Cort, J. Willmott; Kenji Matsuura Advantages of the Mean Absolute Error (MAE) over the Root Mean Square Error (RMSE) in Assessing Average Model Performance. Clim Res 2005, 30, 79–82. [Google Scholar]
- Shepard, D. A Two-Dimensional Interpolation Function for Irregularly-Spaced Data. Proceedings of the 1968 23rd ACM National Conference, ACM 1968, 1968; 517–524. [Google Scholar] [CrossRef]
- Jose A., Marengo; Ana P., Cunha; Lincoln, M. Alves A Seca de 2012-15 No Semiárido Do Nordeste Do Brasil No Contexto Histórico. Revista Climanálise 2016, 4, 49–54. [Google Scholar]
- da Costa Júnior, D.S.; Ferreira, R.L.C.; da Silva, J.A.A.; da Silva, A.F.; Pessoa, M.M. de L. Dinâmica de Crescimento de Uma Floresta Tropical Sazonalmente Seca No Semiárido Brasileiro. Ciência Florestal 2022, 32, 1594–1616. [Google Scholar] [CrossRef]
- Worbes, M. Annual Growth Rings, Rainfall-Dependent Growth and Long-Term Growth Patterns of Tropical Trees from the Caparo Forest Reserve in Venezuela. Journal of Ecology 1999, 87, 391–403. [Google Scholar] [CrossRef]
- Bucci, S.J.; Goldstein, G.; Meinzer, F.C.; Scholz, F.G.; Franco, A.C.; Bustamante, M. Functional Convergence in Hydraulic Architecture and Water Relations of Tropical Savanna Trees: From Leaf to Whole Plant. Tree Physiol 2004, 24, 891–899. [Google Scholar] [CrossRef]
- DE LA CRUZ, D.B.C. IDADE RELATIVA E TEMPO DE PASSAGEM PARA Cenostigma Bracteosum (TUL.) E. Gagnon & G. P. Lewis NO SEMIÁRIDO DE PERNAMBUCO, Universidade Federal Rural de Pernambuco: Recife, 2024.
- Da Silva, J.L.B.; De Albuquerque Moura, G.B.; De França E Silva, Ê.F.; Lopes, P.M.O.; Da Silva, T.T.F.; Lins, F.A.C.; De Oliveira Silva, D.A.; Ortiz, P.F.S. Dinâmica Espaço-Temporal Da Cobertura Vegetal de Caatinga Por Sensoriamento Remoto Em Município Do Semiárido Bras. Revista Brasileira de Ciências Agrárias 2019, 14, 1–10. [Google Scholar] [CrossRef]
- Estrada Zúñiga, A.C.; Cárdenas Rodriguez, J.; Víctor, J.; Saya, B.; Ñaupari Vásquez, J.; Zúñiga, E.; Rodriguez, C.; Ñaupari Vásquez, J. V Estimación de La Biomasa de Una Comunidad Vegetal Altoandina Utilizando Imágenes Multiespectrales Adquiridas Con Sensores Remotos UAV y Modelos de Regresión Lineal Múltiple, Máquina de Vectores Soporte y Bosques Aleatorios. Scientia Agropecuaria 2022, 13, 301–310. [Google Scholar] [CrossRef]
- Ferreira, M.B.; Ferreira, R.L.C.; Da Silva, J.A.A.; De Lima, R.B.; Silva, E.A.; De Sousa, A.N.; De, L.; Cruz, D.B.C.; Da Silva, M. V; Araújo, G.; et al. Spatial-Temporal Dynamics of Water Resources in Seasonally Dry Tropical Forest: Causes and Vegetation Response. AgriEngineering 2024, Vol. 6, Pages 2526-2552 2024, 6, 2526–2552. [Google Scholar] [CrossRef]
- Li, Y.; Li, M.; Li, C.; Liu, Z. Forest Aboveground Biomass Estimation Using Landsat 8 and Sentinel-1A Data with Machine Learning Algorithms. Scientific Reports 2020 10:1 2020, 10, 1–12. [Google Scholar] [CrossRef] [PubMed]
- Guzmán-Quesada, J.A. High-Resolution Remote Sensing for Monitoring Lianas and Trees in Tropical Dry Forests, University of Alberta: Edmonton, 2021.
- Barbosa, H.A.; Huete, A.R.; Baethgen, W.E. A 20-Year Study of NDVI Variability over the Northeast Region of Brazil. J Arid Environ 2006, 67, 288–307. [Google Scholar] [CrossRef]
- Miot, H.A. Análise de Correlação Em Estudos Clínicos e Experimentais. J Vasc Bras 2018, 17, 275–279. [Google Scholar] [CrossRef]
- Suleymanov, A.; Gabbasova, I.; Komissarov, M.; Suleymanov, R.; Garipov, T.; Tuktarova, I.; Belan, L. Random Forest Modeling of Soil Properties in Saline Semi-Arid Areas. Agriculture 2023, Vol. 13, Page 976 2023, 13, 976. [Google Scholar] [CrossRef]
- Wang, Q.; Zhao, L.; Wang, M.; Wu, J.; Zhou, W.; Zhang, Q.; Deng, M. A Random Forest Model for Drought: Monitoring and Validation for Grassland Drought Based on Multi-Source Remote Sensing Data. Remote Sensing 2022, Vol. 14, Page 4981 2022, 14, 4981. [Google Scholar] [CrossRef]
- Fremout, T.; Cobián-De Vinatea, J.; Thomas, E.; Huaman-Zambrano, W.; Salazar-Villegas, M.; Limache-de la Fuente, D.; Bernardino, P.N.; Atkinson, R.; Csaplovics, E.; Muys, B. Site-Specific Scaling of Remote Sensing-Based Estimates of Woody Cover and Aboveground Biomass for Mapping Long-Term Tropical Dry Forest Degradation Status. Remote Sens Environ 2022, 276, 113040. [Google Scholar] [CrossRef]
- Breidenbach, J.; McRoberts, R.E.; Astrup, R. Empirical Coverage of Model-Based Variance Estimators for Remote Sensing Assisted Estimation of Stand-Level Timber Volume. Remote Sens Environ 2016, 173, 274–281. [Google Scholar] [CrossRef]
- Stojanova, D.; Panov, P.; Kobler, A.; Džeroski, S.; Taškova, K. LEARNING TO PREDICT FOREST FIRES WITH DIFFERENT DATA MINING TECHNIQUES. In Proceedings of the Conference on data mining and data warehouses; 2006; pp. 255–258. [Google Scholar]
- Alberto, J.; Becerra, B.; De, S.; Jean, C.; Henry, P.; Ometto, B. Relação Das Sazonalidades Da Precipitação e Da Vegetação No Bioma Caatinga: Abordagem Multitemporal. In Proceedings of the XVII Simpósio Brasileiro de Sensoriamento Remoto - SBSR, RECIFE, April 25 2015; pp. 6668–6674. [Google Scholar]
- da Costa Júnior, D.S.; Ferreira, R.L.C.; da Silva, J.A.A.; Silva, J.W.L.; Pessoa, M.M. de L. Influências Ambientais No Incremento Anual Da Área Basal, Em Ambiente de Caatinga. Ciência Florestal 2024, 34, e67699–e67699. [Google Scholar] [CrossRef]
- ANDRADE, W.M.; LIMA, E. de A.; RODAL, M. de J.N.; ENCARNAÇÃO, C.R.F.; PIMENTEL, R.M. de M. Revista de Geografia. RECIFE August 2009, pp. 161–184.
- Galvíncio, J.D.; Mendes, S.M.; Morais, Y.C.B.; Souza, W.M.; De Moura, M.S.B.; Santos, W. Correlação Linear Entre a Precipitação e o Índice de Área Foliar Do Bioma Caatinga. Revista Brasileira de Geografia Física 2020, 13, 3304–3314. [Google Scholar] [CrossRef]
- Jardim, A.M.d.R.F.; Araújo Júnior, G.D.N.; da Silva, M.V.; Dos Santos, A.; da Silva, J.L.B.; Pandorfi, H.; de Oliveira-Júnior, J.F.; Teixeira, A.H. de C.; Teodoro, P.E.; de Lima, J.L.M.P.; et al. Using Remote Sensing to Quantify the Joint Effects of Climate and Land Use/Land Cover Changes on the Caatinga Biome of Northeast Brazilian. Remote Sens (Basel) 2022, 14, 1911. [Google Scholar] [CrossRef]
- Ferreira, J.M.S.; Ferreira, H. d. S.; Silva, H.A. d.; Santos, A.M. d.; Galvíncio, J.D. Análise Espaço-Temporal Da Dinâmica Da Vegetação de Caatinga No Município de Petrolina - PE (Analysis Space-Time from Dynamics of Caatinga Vegetation in the Municipality of Petrolina – PE). Revista Brasileira de Geografia Física 2012, 5, 904–922. [Google Scholar] [CrossRef]
- Liu, Z.; Huang, T.; Zhang, X.; Wu, Y.; Xu, X.; Wang, Z.; Zou, F.; Zhang, C.; Xu, C.; Ou, G. Interacting Sentinel-2A, Sentinel 1A, and GF-2 Imagery to Improve the Accuracy of Forest Aboveground Biomass Estimation in a Dry-Hot Valley. Forests 2024, Vol. 15, Page 731 2024, 15, 731. [Google Scholar] [CrossRef]
- Oliveira, S.N.; de Carvalho Júnior, O.A.; Gomes, R.A.T.; Guimarães, R.F.; McManus, C.M. Deforestation Analysis in Protected Areas and Scenario Simulation for Structural Corridors in the Agricultural Frontier of Western Bahia, Brazil. Land use policy 2017, 61, 40–52. [Google Scholar] [CrossRef]










| Vegetation Index | Formula | Reference Source |
|---|---|---|
| Normalized Difference Vegetation Index (NDVI) | (NIR - RED) / (NIR + RED) | ROUSE et al., 1973 |
| Enhanced Vegetation Index (EVI) | 2.5 * (NIR - RED) / (NIR + 6 * RED - 7.5 * BLUE + 1) | HUETE et al., 2002 |
| Soil-Adjusted Vegetation Index (SAVI) | (1 + L) * (NIR - RED) / (NIR + RED + L) | HUETE,1988 |
| Green Normalized Difference Vegetation Index (GNDVI) | (NIR - GREEN) / (NIR + GREEN) | GITELSON; MERZLYAK, 1994 |
| Normalized Difference Water Index (NDWI) | (NIR - SWIR) / (NIR + SWIR) or (GREEN - NIR) / (GREEN + NIR) | GAO, 1996 |
| Normalized Difference Built-up Index (NDBI) | (SWIR - NIR) / (SWIR + NIR) | ZHA et al., 2003 |
| Moisture Stress Index (MSI) | SWIR / NIR | ROCK et al., 1986 |
| Normalized Burn Ratio (NBR) | (NIR - SWIR) / (NIR + SWIR) | KEY; BENSON, 2001 |
| Normalized Difference Snow Index (NDSI) | (GREEN - SWIR) / (GREEN + SWIR) | RIGGS et al., 1994 |
| Leaf Area Index (LAI) | Ln((0.69 – SAVI) / 0,59) / 0,91 | TUCKER et al., 1981 |
| Variable | Mean | Median | Min | Max | SD | CV (%) |
| PAI | 4.30 | 3.94 | 0.58 | 16.57 | 2.59 | 60.27 |
| Blue | 0.06 | 0.05 | 0.02 | 0.09 | 0.02 | 32.94 |
| Green | 0.09 | 0.09 | 0.04 | 0.14 | 0.02 | 25.30 |
| Red | 0.12 | 0.13 | 0.03 | 0.20 | 0.04 | 36.11 |
| NIR | 0.27 | 0.26 | 0.19 | 0.38 | 0.03 | 12.89 |
| SWIR1 | 0.33 | 0.34 | 0.18 | 0.45 | 0.07 | 21.48 |
| SWIR2 | 0.23 | 0.24 | 0.08 | 0.36 | 0.07 | 31.81 |
| NDVI | 0.38 | 0.29 | 0.17 | 0.82 | 0.19 | 50.36 |
| EVI | 0.24 | 0.17 | 0.10 | 0.56 | 0.12 | 51.61 |
| SAVI | 0.25 | 0.19 | 0.11 | 0.54 | 0.12 | 46.55 |
| GNDVI | 0.49 | 0.43 | 0.31 | 0.76 | 0.12 | 24.51 |
| NDWI | -0.10 | -0.16 | -0.29 | 0.31 | 0.15 | -160.12 |
| NDBI | 0.10 | 0.16 | -0.31 | 0.29 | 0.15 | 160.12 |
| MSI | 1.27 | 1.38 | 0.53 | 1.83 | 0.35 | 27.33 |
| NBR | 0.10 | 0.03 | -0.19 | 0.62 | 0.21 | 214.83 |
| NDSI | -0.57 | -0.56 | -0.64 | -0.51 | 0.02 | -4.36 |
| LAI | 0.95 | 0.93 | 0.67 | 1.35 | 0.13 | 13.31 |
| Variable | Correlation | p-value |
| NIR | 0.254451 | 0.000004 |
| LAI | 0.244708 | 0.000010 |
| NDSI | 0.201745 | 0.000281 |
| NDVI | 0.118065 | 0.034761 |
| Class | Intervals (mmha⁻¹) | Correction Factor (FC) |
| 1 | 0.5835 – 1.8916 | -0.8685 |
| 2 | 1.8916 – 2.9572 | -0.6340 |
| 3 | 2.9572 – 3.9390 | -0.4750 |
| 4 | 3.9390 – 4.8921 | -0.1901 |
| 5 | 4.8921 – 6.4431 | 0.2911 |
| 6 | 6.4431 – 16.5665 | 1.5334 |
| Period | Mean Precipitation (mm) | Mean PAI (mm) |
| 2011-2013 | 286.2 | 4.04 |
| 2013-2015 | 245.9 | 3.73 |
| 2015-2017 | 372.5 | 4.23 |
| 2017-2019 | 461.7 | 6.14 |
Disclaimer/Publisher’s Note: The statements, opinions and data contained in all publications are solely those of the individual author(s) and contributor(s) and not of MDPI and/or the editor(s). MDPI and/or the editor(s) disclaim responsibility for any injury to people or property resulting from any ideas, methods, instructions or products referred to in the content. |
© 2025 by the authors. Licensee MDPI, Basel, Switzerland. This article is an open access article distributed under the terms and conditions of the Creative Commons Attribution (CC BY) license (http://creativecommons.org/licenses/by/4.0/).
