Submitted:
15 July 2025
Posted:
15 July 2025
You are already at the latest version
Abstract
Keywords:
1. Introduction
- Fill-in some knowledge gaps that exit in the available literature. To this end, the Scorer solutions to Equation (1), as given by Equations (3) and (4), are used to obtain solutions to Equation (1) when .
- Introduce complementary functions, albeit divergent, to and that might be of importance in asymptotic analysis.
- Provide representations of all special functions arising in this work in terms of modified Bessel functions.
- Advance the state of knowledge by introducing a generalized Scorer function, .
- Discuss higher derivatives of all generalized functions arising in this work and obtain their associated polynomials.
- Introduce a computational procedure for the newly introduced generalized Scorer function and applying it to computing and graphing the generalized Scorer function over a subinterval of the X-axis.
- Provide a solution to an initial value problem involving the generalized Scorer function.
2. Further Representations of Airy’s Related Special Functions
2.1. Solutions to Equation (1) when
2.2. Relationship of to the Primatives of the Scorer Functions
2.3. Bessel Function Representation of Airy’s, Scorer’s and the Nield-Kuznetsov Functions
2.4. Complementary Function of
3. Generalized Airy’s Inhomogeneous Equation
3.1. Generalized Airy’s and Nield-Kuznetsov Functions
3.2. Generalized Scorer Function
3.3. Bessel Function Representation of the Generalized Scorer Function
3.4. Values at of the Generalized Scorer Function and Its Derivative
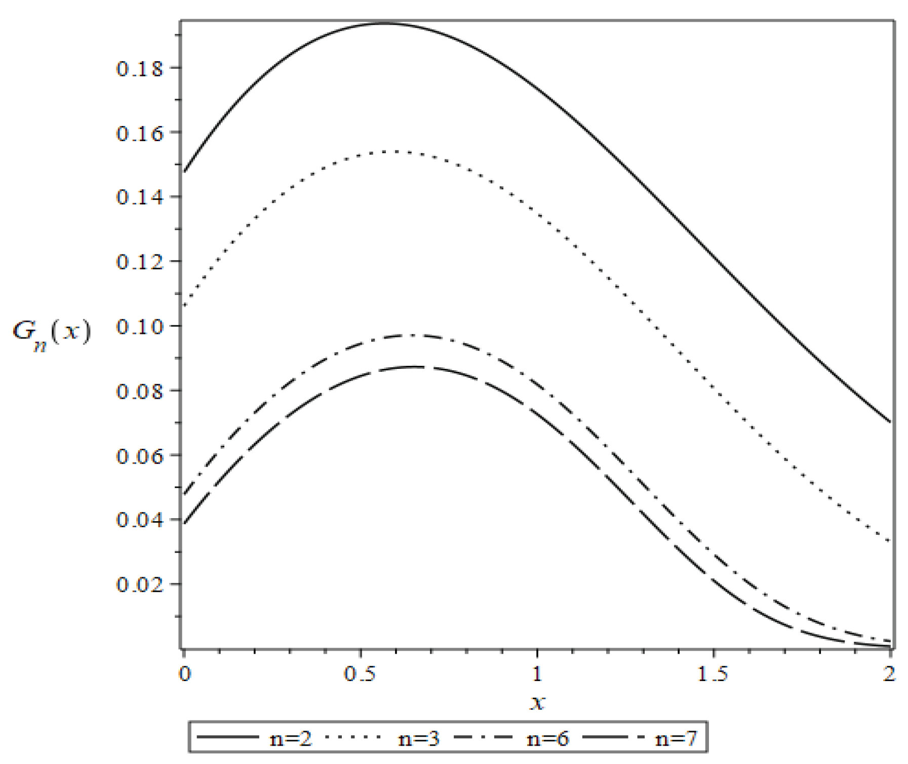
3.5. Computational Algorithm of the Generalized Functions
3.6. Initial Value Problem Involving the Generalized Scorer Function
4. Higher Derivatives of
4.1. Higher Derivatives of
4.2. Higher Derivatives of
4.3. Higher Derivatives of
4.4. The Polynomial Coefficients and Iterative Definition of the Higher Derivatives
4.5. Dependence of the Coefficient Polynomials on Index n
5. Conclusions
Author Contributions
Funding
Data Availability Statement
Acknowledgment
Conflicts of Interest
References
- Airy, G.B. On the intensity of light in the neighbourhood of a caustic. Trans. Cambridge Phil. Soc. 1838, 379–401. [Google Scholar]
- Abramowitz, M.; Stegun, I.A. Handbook of Mathematical Functions. Dover, New York,1984.
- Temme, N.M. Special Functions: An introduction to the Classical Functions of Mathematical Physics. John Wiley & Sons, New York, 1996.
- Vallée, O.; Soares, M. Airy Functions and Applications to Physics. World Scientific, London, 2004.
- Miller, J. C. P.; Mursi, Z. Notes on the Solution of the Equation . Quarterly J. Mech. Appl. Math., 3 (1950), pp. 113-118.
- Scorer, R.S. Numerical evaluation of integrals of the form and the tabulation of the function . Quarterly J. Mech. Appl. Math. 1950, 3, 107–112. [Google Scholar] [CrossRef]
- Gil, A.; Segura, J.; Temme, N.M. On non-oscillating integrals for computing inhomogeneous Airy functions. Math. Comput. 2001, 70, 1183–1194. [Google Scholar] [CrossRef]
- Lee, S.-Y. The inhomogeneous Airy functions, Gi(z) and Hi(z). J. Chem. Phys. 1980, 72, 332–336. [Google Scholar] [CrossRef]
- Hamdan, M.H.; Kamel, M.T. On the Ni(x) integral function and its application to the Airy’s non homogeneous equation Appl. Math. Comput. 2011, 21, 7349–7360. [Google Scholar]
- Nield, D.A.; Kuznetsov, A.V. The effect of a transition layer between a fluid and a porous medium: shear flow in a channel. Transp. Porous Med. 2009, 78, 477–487. [Google Scholar] [CrossRef]
- Abu Zaytoon, M. S.; Hamdan, M. H. On modeling laminar flow through variable permeability transition layer, Fluids 2025, 10(6), 151-168.
- Swanson, C. A.; Headley, V. B. An extension of Airy’s equation. SIAM J. Appl. Math. 1967, 15, 1400–1412. [Google Scholar] [CrossRef]
- Hamdan, M.H.; Alzahrani, S.M.; Abu Zaytoon, M.S.; Jayyousi Dajani, S. Inhomogeneous Airy’s and generalized Airy’s equations with initial and boundary conditions, Int. J. Circuits, Systems and Signal Processing 2021, 15, 1486–1496. [Google Scholar] [CrossRef]
- Dunster, T.M. Nield-Kuznetsov functions and Laplace transforms of parabolic cylinder functions. SIAM J. Math. Analysis 2021, 53, 5915–5947. [Google Scholar] [CrossRef]
- Abramochkin, E.G.; Razueva, E.V. Higher derivatives of Airy’s functions and of their products. SIGMA 2018, 14, 1–26. [Google Scholar]
- Hamdan, M.H.; Jayyousi Dajani, S.; Abu Zaytoon, M.S. Higher derivatives and polynomials of the standard Nield-Kuznetsov function of the first kind. Int. J. Circuits, Systems and Signal Processing 2021, 15, 1737–1743. [Google Scholar] [CrossRef]
- Askari, H.; Ansari, A. (2025),Stokes phenomenon for the M-wright function of order 1/n. Appl. Math. Comput. 2025, 487, 129088. [Google Scholar]
- Cinque, F.; Orsingher, E. General Airy-type equations, heat-type equations and pseudo-processes. 2025, J. Evol. Equ., 25, 17.
- Aspnes, D.E. (1966). Electric-field effects on optical absorption near thresholds in solids, Phys. Rev. 1966, 147, 554–566. [Google Scholar]
- Aspnes, D.E. Electric-field effects on the dielectric constant of solids, Phys. Rev. 1967, 153, 972–982. [Google Scholar]
- Olver, F.W.J.; Maximon, L.C. Chapter 10, Bessel Functions, Digital Library of Mathematical Functions, NIST, Version 1.2.4; Release date 2025-03-15. U.S. Department of Commerce.


| 0 | 0 | 1 | 0 |
| 1 | 1 | 0 | 0 |
| 2 | 0 | -1 | |
| 3 | 0 | ||
| 4 | |||
| 5 | |||
| 6 |
|
|
|
| 7 |
|
|
| Polynomial | Degree is even) |
Degree is odd) |
|---|---|---|
| 0 | 0 | 1 | 0 |
| 1 | 1 | 0 | 0 |
| 2 | 0 | -1 | |
| 3 | 0 | ||
| 4 | |||
| 5 | |||
| 6 | |||
| 7 |
Disclaimer/Publisher’s Note: The statements, opinions and data contained in all publications are solely those of the individual author(s) and contributor(s) and not of MDPI and/or the editor(s). MDPI and/or the editor(s) disclaim responsibility for any injury to people or property resulting from any ideas, methods, instructions or products referred to in the content. |
© 2025 by the authors. Licensee MDPI, Basel, Switzerland. This article is an open access article distributed under the terms and conditions of the Creative Commons Attribution (CC BY) license (http://creativecommons.org/licenses/by/4.0/).
