Submitted:
14 May 2025
Posted:
15 May 2025
You are already at the latest version
Abstract

Keywords:
1. Introduction
2. Study Site
3. Materials and Methods
3.1. Constant-Rate Pumping Test
3.2. Step Drawdown Tests
3.3. Recovery Tests
3.4. Tracer Test
4. Results
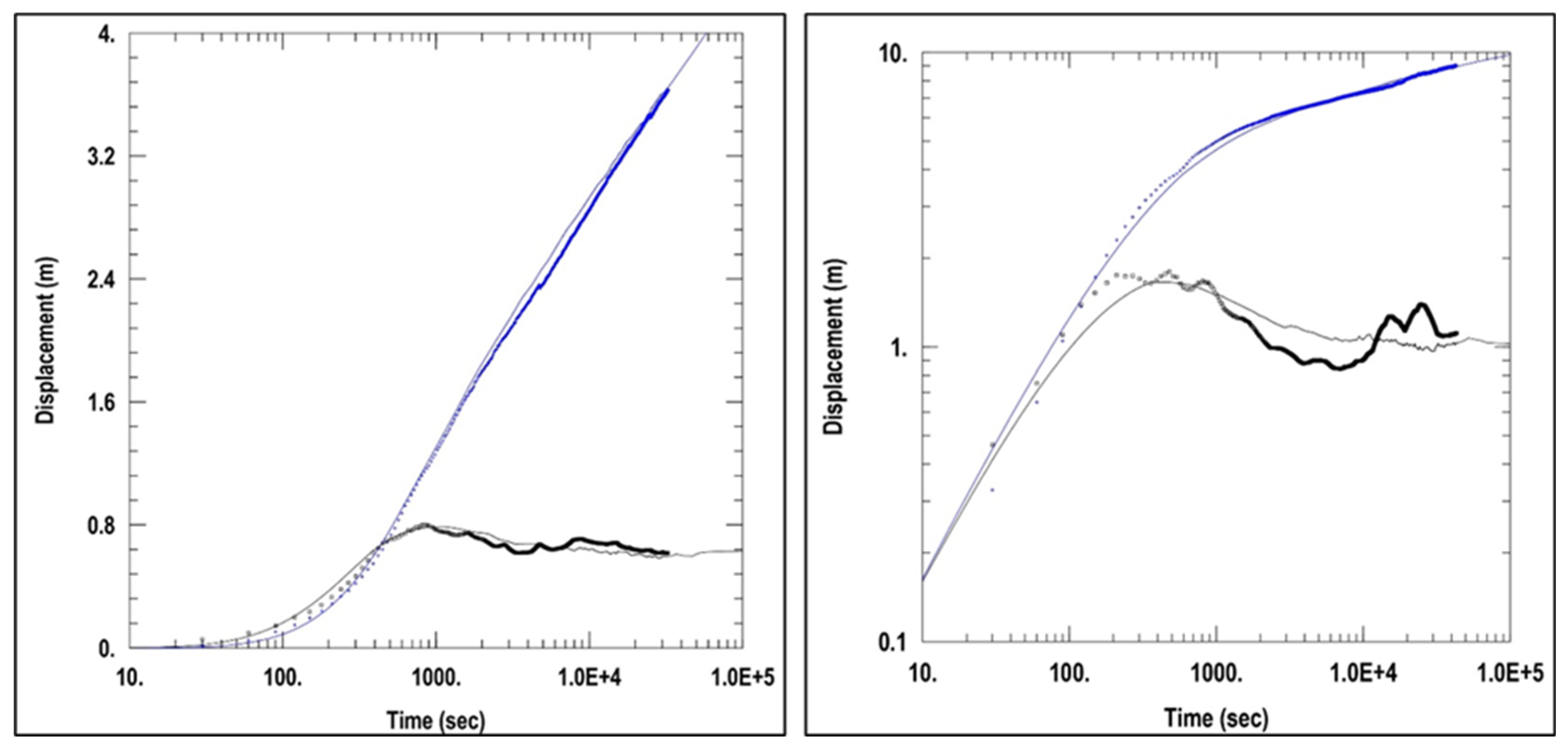
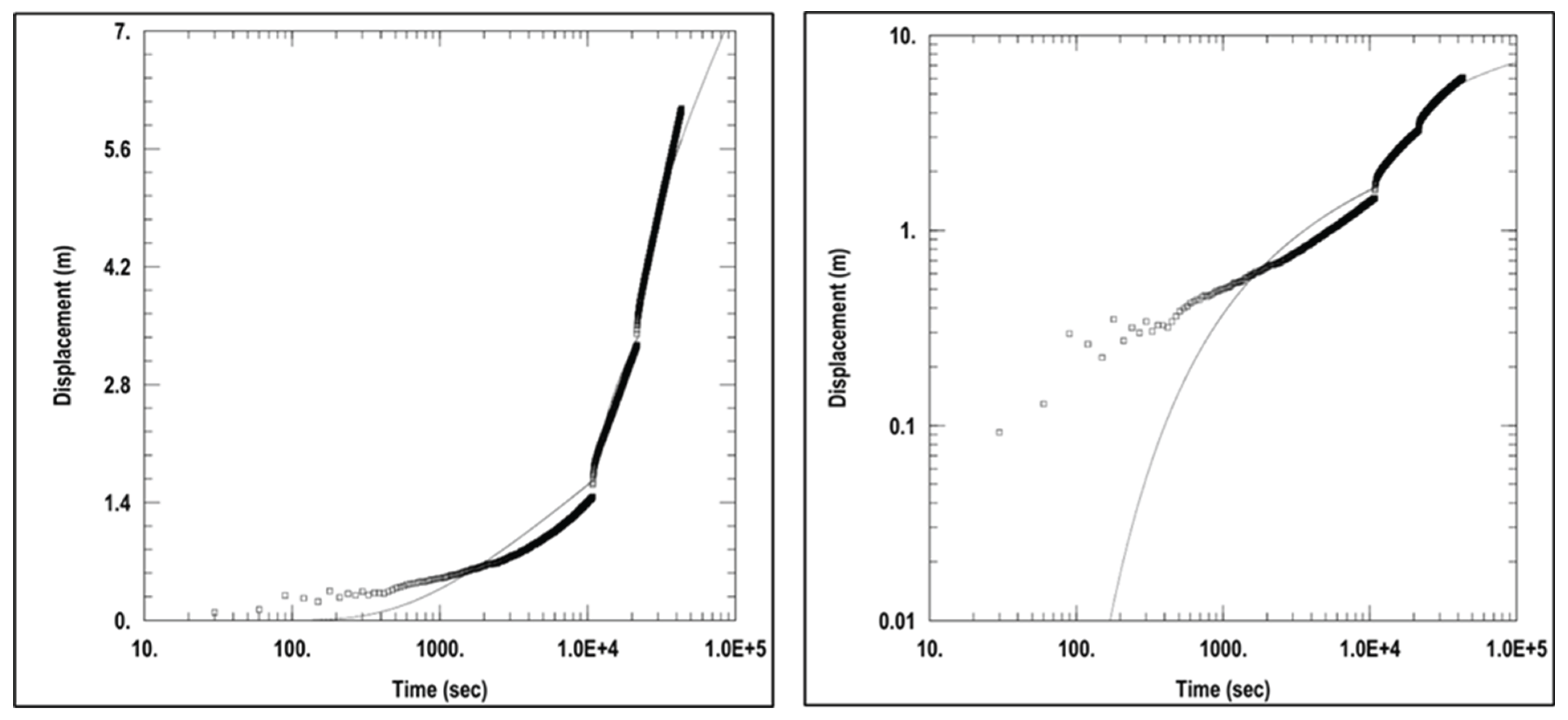
4.1. Constant Rate Pumping Tests
4.2. Step-Drawdown Pumping Test
4.3. Recovery Test
4.4. Tracer Test
5. Discussion
5.1. Aquifer Hydraulic Properties
5.2. Aquifer Connectivity
5.3. Well Yield and Sustainable Aquifer Use
6. Conclusions
Author Contributions
Funding
Data Availability Statement
Acknowledgments
Conflicts of Interest
References
- Abbott, B.W; Baranov, V.; Mendoza-Lera, C.; Nikolakopoulou, M.; Harjung, A.; Kolbe, T.; Balasubramanian, M.N.; Vaessen, T.N.; Ciocca, F.; Campeau, A.; Wallin, M.B.; Romeijn, P.; Antonelli, M.; Gonçalves, J.; Datry, T.; Laverman, A.M.; de Dreuzy, J.R.; Hannah, D.M.; Krause, S.; Oldham, C.; Pinay, G. Using multi-tracer inference to move beyond single-catchment ecohydrology. Earth-Science Reviews 2016, 160, 19-42.
- Lachassagne, P.; Dewandel, B.; Wyns, R. Review: Hydrogeology of weathered crystalline/hard-rock aquifers—guidelines for the operational survey and management of their groundwater resources. Hydrogeology Journal 2021, 29,(8), 2561-2594. [CrossRef]
- Muchingami, I.; Chuma, C.; Gumbo, M.; Hlatywayo, D.; Mashingaidze, R. Review: Approaches to groundwater exploration and resource evaluation in the crystalline basement aquifers of Zimbabwe. Hydrogeology Journal 2019, 27(3), 915-928. [CrossRef]
- Doro, K.O.; Adegboyega, C.O.; Aizebeokhai, A.P.; Oladunjoye, M.A. The Ibadan Hydrogeophysics Research Site (IHRS)—An Observatory for Studying Hydrological Heterogeneities in A Crystalline Basement Aquifer in Southwestern Nigeria. Water 2023, 15(3), 433. [CrossRef]
- Neuman, S.P.; Blattstein, A.; Riva, M.; Tartakovsky, D.M.; Guadagnini, A.; Ptak, T. Type curve interpretation of late-time pumping test data in randomly heterogeneous aquifers. Water Resources Research 2007, 43(10).
- Akurugu, B.A.; Chegbeleh, L.P.; Yidana, S.M. Characterisation of groundwater flow and recharge in crystalline basement rocks in the Talensi District, Northern Ghana. Journal of African Earth Sciences 2020, 161, 103665. [CrossRef]
- Yidana, S.M.; Alfa, B.; Banoeng-Yakubo, B.; Obeng Addai, M. Simulation of groundwater flow in a crystalline rock aquifer system in Southern Ghana – An evaluation of the effects of increased groundwater abstraction on the aquifers using a transient groundwater flow model. Hydrological Processes 2014, 28(3), 1084-1094. [CrossRef]
- Doro, K.O.; Ehosioke, S.; Aizebeokhai, A.P. Sustainable Soil and Water Resources Management in Nigeria: The Need for a Data-Driven Policy Approach. Sustainability 2020, 12(10), 4204. [CrossRef]
- Lachassagne, P.; Wyns, R.; Dewandel, B. The fracture permeability of hard rock aquifers is due neither to tectonics, nor to unloading, but to weathering processes. Terra Nova 2011, 23(3), 145-161. [CrossRef]
- Ofterdinger, U.; MacDonald, A.M.; Comte, J.-C.; Young, M.E. Groundwater in fractured bedrock environments: managing catchment and subsurface resources–an introduction. Geol. Soc 2019, 479, 1–9. [CrossRef]
- Wright, E.P. The hydrogeology of crystalline basement aquifers in Africa. Geological Society, London, Special Publications 1992, 66(1), 1-27.
- Maréchal, J.-C.; Dewandel, B.; Subrahmanyam, K. Use of hydraulic tests at different scales to characterize fracture network properties in the weathered-fractured layer of a hard rock aquifer. Water Resources Research 2004, 40(11).
- Berkowitz, B. Characterizing flow and transport in fractured geological media: A review. Advances in Water Resources 2002, 25(8-12), 861-884.
- Neuman, S.P.Trends, prospects and challenges in quantifying flow and transport through fractured rocks. Hydrogeology Journal 2005, 13, 124-147. [CrossRef]
- Maréchal, J.-C.; Vouillamoz, J.-M.; Kumar, M.M.; Dewandel, B. Estimating aquifer thickness using multiple pumping tests. Hydrogeology journal 2010, 18(8), 1787-1796. [CrossRef]
- Stober, I.; Bucher, K. Hydraulic properties of the crystalline basement. Hydrogeology Journal 2007, 15(2), 213-224. [CrossRef]
- Pradhan, R.M.; Singh, A.; Ojha, A.K.; Biswal, T.K. Structural controls on bedrock weathering in crystalline basement terranes and its implications on groundwater resources. Scientific Reports 2022, 12(1), 11815. [CrossRef]
- Mézquita González, J.A.; Comte, J.-C.; Legchenko, A.; Ofterdinger, U.; Healy, D. Quantification of groundwater storage heterogeneity in weathered/fractured basement rock aquifers using electrical resistivity tomography: Sensitivity and uncertainty associated with petrophysical modelling. Journal of Hydrology 2021, 593, 125637. [CrossRef]
- Chapman, M. Conceptualization and characterization of fractured-bedrock ground-water systems. Current research [abs.] 2001, p. 2.
- Harned, D.; Daniel III, C. The transition zone between bedrock and regolith: conduit for contamination. In Ground water in the Piedmont, Proceedings of a Conference on Ground Water in the Piedmont of the Eastern United States, Charlotte, NC, Oct 1992, 16, No. 18, p. 1989.
- National Academies of Sciences, E., & Medicine. Characterization, modeling, monitoring, and remediation of fractured rock, National Academies Press Washington, DC 2020. [CrossRef]
- Nicolas, M. Impact of heterogeneity on natural and managed aquiferrecharge in weathered fractured crystalline rock aquifers. Doctoral Thesis, Université de Rennes, Rennes, March 2019.
- Maréchal, J.-C.; Selles, A.; Dewandel, B.; Boisson, A.; Perrin, J.; Ahmed, S. An Observatory of Groundwater in Crystalline Rock Aquifers Exposed to a Changing Environment: Hyderabad, India. Vadose Zone Journal 2018, 17(1), 180076. [CrossRef]
- Aizebeokhai, A.P.; Ogungbade, O.; Oyeyemi, K.D.; Application of geoelectrical resistivity for delineating crystalline basement aquifers in Basiri, Ado-Ekiti, Southwestern Nigeria. Arabian Journal of Geosciences 2021, 14(1), 51. [CrossRef]
- Doro, K.O.; Leven, C.; Cirpka, O.A. Delineating subsurface heterogeneity at a loop of River Steinlach using geophysical and hydrogeological methods. Environmental Earth Sciences 2013, 69(2), 335-348. [CrossRef]
- Burbey, T.J.; Hisz, D.; Murdoch, L.C.; Zhang, M. Quantifying fractured crystalline-rock properties using well tests, earth tides and barometric effects. Journal of Hydrology 2012, 414-415, 317-328.
- Cirpka, O.A.; Leven, C.; Schwede, R.; Doro, K.; Bastian, P.; Ippisch, O.; Klein, O.; Patzelt, A. Tomography of the Earth’s Crust: From Geophysical Sounding to Real-Time Monitoring: In Geotechnologien Science Report No. 21. Weber, M. and Münch, U. Eds; Springer International Publishing, Cham. Germany, 2014, pp. 157-176.
- Butler Jr., J.J.; Zhan, X. Hydraulic tests in highly permeable aquifers. Water Resources Research 2004, 40(12).
- Doro, K.O.; Cirpka, O.A.; Leven, C. Tracer Tomography: Design Concepts and Field Experiments Using Heat as a Tracer. Groundwater 2015, 53(S1), 139-148. [CrossRef]
- Leven, C.; Dietrich, P. What information can we get from pumping tests?-comparing pumping test configurations using sensitivity coefficients. Journal of Hydrology 2006, 319(1), 199-215. [CrossRef]
- Maliva, R.G. Aquifer characterization techniques: Schlumberger Methods in Water Resources Evaluation Series No. 4. Springer International Publishing, Switzerland, 2016, pp 617.
- Dashti, Z.; Nakhaei, M.; Vadiati, M.; Karami, G.H.; Kisi, O. A literature review on pumping test analysis (2000–2022). Environmental Science and Pollution Research 2023, 30(4), 9184-9206. [CrossRef]
- Kruseman, G.P.; De Ridder, N.A. Analysis and evaluation of pumping test data, International institute for land reclamation and improvement, ageningen, The Netherlands, 2000, pp 372.
- Theis, C.V. The relation between the lowering of the Piezometric surface and the rate and duration of discharge of a well using ground-water storage. Eos, Transactions American Geophysical Union 1935, 16(2), 519-524.
- Chang, S.W.; Memari, S.S.; Clement, T.P. PyTheis—A Python Tool for Analyzing Pump Test Data. Water 2021, 13(16), 2180. [CrossRef]
- Cooper Jr, H.; Jacob, C.E. A generalized graphical method for evaluating formation constants and summarizing well-field history. Eos, Transactions American Geophysical Union 1946, 27(4), 526-534.
- Neuman, S.P. Effect of partial penetration on flow in unconfined aquifers considering delayed gravity response. Water Resources Research 1974, 10(2), 303-312. [CrossRef]
- Hammond, P.A.; Field, M.S. A reinterpretation of historic aquifer tests of two hydraulically fractured wells by application of inverse analysis, derivative analysis, and diagnostic plots. Journal of Water Resource and Protection 2014, 6(5) 45306.
- Moench, A.F. Double-porosity models for a fissured groundwater reservoir with fracture skin. Water Resources Research 1984, 20(7), 831-846. [CrossRef]
- Barker, J. A generalized radial flow model for hydraulic tests in fractured rock. Water Resources Research 1988, 24(10), 1796-1804. [CrossRef]
- Wu, Y.-S.; Ye, M.; Sudicky, E.A. Fracture-Flow-Enhanced Matrix Diffusion in Solute Transport Through Fractured Porous Media. Transport in Porous Media 2010, 81(1), 21-34. [CrossRef]
- Lin, Y.C.; Yeh, H.D. A lagging model for describing drawdown induced by a constant-rate pumping in a leaky confined aquifer. Water Resources Research 2017, 53(10), 8500-8511. [CrossRef]
- Tamayo-Mas, E.; Bianchi, M.; Mansour, M. Impact of model complexity and multi-scale data integration on the estimation of hydrogeological parameters in a dual-porosity aquifer. Hydrogeology Journal 2018, 26(6), 1917-1933. [CrossRef]
- Chen, C.; Tao, Q.; Wen, Z.; Wörman, A.; Jakada, H. Step-drawdown test for identifying aquifer and well loss parameters in a partially penetrating well with irregular (non-linear increasing) pumping rates. Journal of Hydrology 2022, 614, 128652. [CrossRef]
- Shekhar, S. An approach to interpretation of step drawdown tests. Hydrogeology Journal 2006, 14, 1018-1027. [CrossRef]
- An, H.; Ha, K.; Lee, E. Transient analysis of a step-drawdown test using a time-varying well-loss equation. Hydrogeology Journal 2022, 30(1), 303-314. [CrossRef]
- Randall, A.D.; Mills, A.C. Transmissivity estimated from brief aquifer tests of domestic wells and compared with bedrock lithofacies and position on hillsides in the Appalachian Plateau of New York, US Geological Survey Scientific Investigations Report 2020-5087. 2020, 21 p. [CrossRef]
- Viswanathan, H.S.; Ajo-Franklin, J.; Birkholzer, J.T.; Carey, J.W.; Guglielmi, Y.; Hyman, J.D.; Karra, S.; Pyrak-Nolte, L.J.; Rajaram, H.; Srinivasan, G.; Tartakovsky, D.M. From Fluid Flow to Coupled Processes in Fractured Rock: Recent Advances and New Frontiers. Reviews of Geophysics 2022, 60(1), e2021RG000744. [CrossRef]
- Wang, Y.; Zhan, H.; Huang, K.; He, L.; Wan, J. Identification of non-Darcian flow effect in double-porosity fractured aquifer based on multi-well pumping test. Journal of Hydrology 2021, 600, 126541. [CrossRef]
- Flury, M.; Wai, N.N. Dyes as tracers for vadose zone hydrology. Reviews of Geophysics 2003, 41(1).
- Bear, J.; Buchlin, J.-M. Modelling and applications of transport phenomena in porous media, Springer, Netherland, 1991, pp 381.
- Cook, P.G. A guide to regional groundwater flow in fractured rock aquifers, CSIRO Land and Water, Australia, 2003.
- Pettenati, M.; Perrin, J.; Pauwels, H.; Ahmed, S. Simulating fluoride evolution in groundwater using a reactive multicomponent transient transport model: application to a crystalline aquifer of Southern India. Applied geochemistry 2013, 29, 102-116. [CrossRef]
- Huysmans, M.; Dassargues, A. Review of the use of Péclet numbers to determine the relative importance of advection and diffusion in low permeability environments. Hydrogeology Journal 2005, 13, 895-904. [CrossRef]
- Becker, M.W.; Shapiro, A.M. Interpreting tracer breakthrough tailing from different forced-gradient tracer experiment configurations in fractured bedrock. Water Resources Research 2003, 39(1).
- Haggerty, R.; Gorelick, S.M. Multiple-rate mass transfer for modeling diffusion and surface reactions in media with pore-scale heterogeneity. Water Resources Research 1995, 31(10), 2383-2400.
- Wang, L.; Yoon, S.; Zheng, L.; Wang, T.; Chen, X.; Kang, P.K. Flux exchange between fracture and matrix dictates late-time tracer tailing. Journal of Hydrology 2023, 627, 130480. [CrossRef]
- Wu, H.; Wei, Y.; Zhang, K. Quantifying matrix diffusion effect on solute transport in subsurface fractured media. EGUsphere 2025, 2025,1-23.
- Elueze, A. Geology of the precambrian schist belt in Ilesha area southwestern Nigeria. Geological surv. Nig 1988, 77-82.
- Jayeoba, A.; Oladunjoye, M.A. 2-D electrical resistivity tomography for groundwater exploration in hard rock terrain. International Journal of Science and Technology 2015, 4(4), 156-163.
- Olaojo, A.A.; Oladunjoye, M.A.; Sanuade, O.A. Geoelectrical assessment of polluted zone by sewage effluent in University of Ibadan campus southwestern Nigeria. Environmental monitoring and assessment 2018, 190, 1-12. [CrossRef]
- Rahaman, M. Recent advances in the study of the basement complex of Nigeria. Pre Cambrian geology of Nigeria, 11-41. 1988.
- Dasho, O.A.; Ariyibi, E.A.; Adebayo, A.S.; Falade, S.C. Seismotectonic lineament mapping over parts of Togo-Benin-Nigeria shield. NRIAG Journal of Astronomy and Geophysics 2020, 9(1), 539-547. [CrossRef]
- Oladejo, O.; Adagunodo, T.; Sunmonu, L.; Adabanija, M.; Omeje, M.; Babarimisa, I.; Bility, H. Structural analysis of subsurface stability using aeromagnetic data: a case of Ibadan, southwestern Nigeria, p. 012083, IOP Publishing.2019.
- Doro, K.O.; Adegboyega, C.O.; Aizebeokhai, A.P.; Oladunjoye, M.A. Hydrological Variability in Crystalline Basement Aquifers – Insight from a First Hydrogeophysics Research Site in Nigeria. Water 2020, 1, 1-5.
- Oladunjoye, M.; Korode, I.; Adefehinti, A. Geoelectrical exploration for groundwater in crystalline basement rocks of Gbongudu community, Ibadan, southwestern Nigeria. Global Journal of Geological Sciences 2019, 17, 25-43. [CrossRef]
- Balasubramanian, A. Procedure for conducting pumping tests. Indian Soc. Sci. Congr.-Trends Earth Sci. Res. 2017. https://doi. org/10.13140/RG 2(18948), 32641.32641.
- Dross, P. Technical Review: Practical guidelines for test pumping in water wells, International Committee of the Red Cross. 2011.
- Gross, E.L. Manual pumping test method for characterizing the productivity of drilled wells equipped with rope pumps, Michigan Technological University, Houghton, Michigan 2008.
- van Tonder, G.J.; Botha, J.F.; Chiang, W.H.; Kunstmann, H.; Xu, Y. Estimation of the sustainable yields of boreholes in fractured rock formations. Journal of Hydrology 2001, 241(1), 70-90. [CrossRef]
- Bourdet, D.; Ayoub, J.A.; Kniazeff, V.; Pirard, Y.M.; Whittle, T.M. Interpreting well tests in fractured reservoirs. World Oil; (United States) 197:5, Medium: X; Size: Pages: 77-78, 1983.
- Remson, I.; Lang, S. A pumping-test method for the determination of specific yield. Eos, Transactions American Geophysical Union 1955, 36(2), 321-325.
- Gomo, M. On the Flow Characteristics (FC) method for estimating sustainable borehole yield. Water SA 2024, 50(1), 131-136. [CrossRef]
- van Tonder, G.; Kunstmann, H.; Xu, Y.; Fourie, F. Estimation of the sustainable yield of a borehole including boundary information, drawdown derivatives and uncertainty propagation. In Calibration and Reliability in Groundwater Modelling. Proceedings of the ModelCARE 99 Conference, held at Zurich, Switzerland, September 1999). IAHS Publ. no. 265, 2000 .IAHS publication, 2000, 367-376.
- Hantush, M.S.; Jacob, C.E. Non-steady radial flow in an infinite leaky aquifer. Eos, Transactions American Geophysical Union 1955, 36(1), 95-100.
- Agarwal, R.G. 1980 A new method to account for producing time effects when drawdown type curves are used to analyze pressure buildup and other test data, pp. SPE-9289-MS, SPE.
- Gutierrez, A., Klinka, T., Thiéry, D., Buscarlet, E., Binet, S., Jozja, N., Défarge, C., Leclerc, B., Fécamp, C., Ahumada, Y. and Elsass, J. 2013. TRAC, a collaborative computer tool for tracer-test interpretation. EPJ Web of Conferences 50, 03002.
- Rorabaugh, M.I. Graphical and theoretical analysis of step-drawdown test of artesian well, pp. 1-23, ASCE. 1953.
- Singhal, B.B.S.; Gupta, R.P. Applied hydrogeology of fractured rocks, Springer Science & Business Media, 2010.
- Chilton, P.J.; Foster, S.S. Hydrogeological characterisation and water-supply potential of basement aquifers in tropical Africa. Hydrogeology journal 1995, 3, 36-49. [CrossRef]
- Taylor, R.; Howard, K. A tectono-geomorphic model of the hydrogeology of deeply weathered crystalline rock: evidence from Uganda. Hydrogeology Journal 2000, 8, 279-294. [CrossRef]
- Acheampong, S.Y.; Hess, J.W. Hydrogeologic and hydrochemical framework of the shallow groundwater system in the southern Voltaian Sedimentary Basin, Ghana. Hydrogeology Journal 1998, 6, 527-537. [CrossRef]
- Blessent, D.; Therrien, R.; Gable, C.W. Large-scale numerical simulation of groundwater flow and solute transport in discretely-fractured crystalline bedrock. Advances in Water Resources 2011, 34(12), 1539-1552. [CrossRef]
- Zhang, Y.; Green, C.T.; Tick, G.R. Peclet number as affected by molecular diffusion controls transient anomalous transport in alluvial aquifer–aquitard complexes. Journal of Contaminant Hydrology 2015, 177-178, 220-238.
- Lapworth, D.; MacDonald, A.; Tijani, M.; Darling, W.; Gooddy, D.; Bonsor, H.; Araguás-Araguás, L. Residence times of shallow groundwater in West Africa: implications for hydrogeology and resilience to future changes in climate. Hydrogeology Journal 2013, 21(3), 673-686. [CrossRef]










| Well Name | Status | Distance from Pumped Well (m) | 9hrs Drawdown (m) | 12hrs Drawdown (m) |
|---|---|---|---|---|
| A | Pumping | 0 | 4.94 | 5.43 |
| B | Observation | 11.4 | 2.48 | 2.86 |
| C | Observation | 8.3 | 3.63 | 4.13 |
| D | Observation | 8.5 | 1.63 | 2.03 |
| A | Observation | 11.4 | 2.73 | 2.96 |
| B | Pumping | 0 | 12.47 | 12.58 |
| C | Observation | 6.85 | 2.68 | 3.01 |
| D | Observation | 15.7 | 1.73 | 2.08 |
| A | Pumping | 8.3 | 3.52 | 4.12 |
| B | Pumping | 6.85 | 2.55 | 3.08 |
| C | Observation | 0 | 7.22 | 9.00 |
| D | Observation | 9.2 | 1.28 | 2.31 |
| A | Observation | 8.5 | 1.77 | 2.31 |
| B | Observation | 15.7 | 1.74 | 2.19 |
| C | Observation | 9.2 | 1.86 | 2.34 |
| D | Observation | 0 | 6.18 | 7.3 |
| WELLS | HYDRAULIC PARAMETERS | Pumping At Well A (9 Hrs) | Pumping At Well D (9 Hrs) | Pumping At Well C (9 Hrs) | Pumping At Well B (9 Hrs) | Pumping At Well B (12 Hrs) | Pumping At Well C (12 Hrs) | Pumping At Well D (12 Hrs) | Pumping At Well A (12 Hrs) |
|---|---|---|---|---|---|---|---|---|---|
| WELL A | Fracture Hydraulic Conductivity (m/s) | 6.57E-06 | 1.23E-06 | 2.43E-06 | 2.97E-06 | 2.99E-06 | 3.22E-06 | 6.41E-07 | 1.00E-05 |
| Matrix Hydraulic Conductivity (m/s) | 1.09E-06 | 1.92E-09 | 2.43E-10 | 3.54E-10 | 3.40E-10 | 2.61E-10 | 1.00E-10 | 1.00E-10 | |
| Fracture Specific Storage (m-1) | 2.46E-04 | 2.30E-06 | 2.77E-07 | 3.03E-07 | 3.15E-07 | 2.14E-07 | 1.96E-06 | 1.08E-04 | |
| Matrix Specific Storage (m-1) | 5.48E-02 | 9.75E-04 | 7.33E-05 | 6.88E-05 | 6.53E-05 | 2.42E-05 | 4.85E-03 | 7.02E-05 | |
| Transmissivity (m²/s) | 1.01E-04 | 1.89E-05 | 3.71E-05 | 4.54E-05 | 4.56E-05 | 4.92E-05 | 9.79E-06 | 1.54E-04 | |
| Flow Dimension (n) | 2.055 | 2.22 | 1.972 | 2 | 2 | 2 | 2 | 1.776 | |
| WELL B | Fracture Hydraulic Conductivity (m/s) | 3.82E-06 | 3.64E-06 | 2.64E-06 | 3.53E-06 | 3.54E-06 | 3.17E-06 | 7.85E-07 | 1.66E-05 |
| Matrix Hydraulic Conductivity (m/s) | 9.19E-10 | 4.29E-08 | 6.95E-10 | 7.69E-10 | 1.00E-10 | 7.63E-10 | 1.00E-10 | 4.25E-02 | |
| Fracture-Specific Storage | 5.78E-07 | 5.07E-05 | 2.06E-05 | 4.60E-06 | 1.09E-06 | 1.89E-05 | 6.35E-07 | 4.51E-05 | |
| Matrix Specific Storage | 9.19E-05 | 1.16E-04 | 2.23E-04 | 1.00E-10 | 1.00E-10 | 1.20E-04 | 5.40E-04 | 1.16E-10 | |
| Transmissivity (m²/s) | 1.06E-04 | 1.01E-04 | 7.30E-05 | 9.75E-05 | 9.77E-05 | 8.70E-05 | 2.17E-05 | 2.53E-04 | |
| Flow Dimension (n) | 2.352 | 1.996 | 2 | 2 | 2 | 2 | 2 | 1.712 | |
| WELL C | Fracture Hydraulic Conductivity (m/s) | 7.19E-06 | 1.91E-06 | 2.76E-06 | 3.71E-06 | 1.82E-06 | 2.49E-06 | 1.45E-05 | 2.66E-06 |
| Matrix Hydraulic Conductivity (m/s) | 1.87E-10 | 8.06E-09 | 7.67E-09 | 1.43E-09 | 1.45E-10 | 1.00E-10 | 6.14E-02 | 1.00E-10 | |
| Fracture-Specific Storage | 1.16E-05 | 1.29E-05 | 1.90E-03 | 2.24E-05 | 1.70E-05 | 2.46E-03 | 1.95E-04 | 3.02E-06 | |
| Matrix Specific Storage | 1.30E-05 | 4.94E-04 | 9.31E-04 | 7.84E-05 | 5.65E-04 | 1.00E-10 | 1.00E-10 | 1.43E-04 | |
| Transmissivity (m²/s) | 1.99E-04 | 5.30E-05 | 7.66E-05 | 1.03E-04 | 5.05E-05 | 6.91E-05 | 4.03E-04 | 4.06E-05 | |
| Flow Dimension (n) | 2 | 2 | 2 | 2.05 | 2 | 2 | 0.9255 | ||
| WELL D | Fracture Hydraulic Conductivity (m/s) | 2.63E-07 | 5.11E-07 | 5.59E-08 | 5.50E-06 | 1.36E-06 | 4.36E-07 | 4.80E-07 | 1.64E-05 |
| Matrix Hydraulic Conductivity (m/s) | 3.52E-10 | 1.00E+00 | 1.71E-10 | 6.70E-05 | 1.00E-10 | 1.13E-10 | 4.04E-01 | 1.42E-05 | |
| Fracture-Specific Storage | 1.27E-05 | 1.25E+00 | 1.90E-06 | 1.00E-03 | 1.12E-06 | 1.86E-06 | 1.10E+00 | 2.40E-03 | |
| Matrix Specific Storage | 1.02E-02 | 1.00E+00 | 3.34E-03 | 1.00E-03 | 5.44E-04 | 2.48E-03 | 9.54E-01 | 2.83E-08 | |
| Transmissivity (m²/s) | 7.28E-06 | 1.41E-05 | 1.54E-06 | 1.52E-04 | 3.75E-05 | 1.21E-05 | 1.33E-05 | 1.64E-05 | |
| Flow Dimension (n) | 2.676 | 2 | 2 | 2 | 2 | 2 | 2 |
| Pumping Well | Extraction Well | A | B | C | D |
| A | Specific Yield (%) | 0.16% | 0.22% | 0.34% | |
| Distance from pumping well | 11.4 m | 8.3 m | 8.5 m | ||
| Volume of material dewatered (m³) | 3426.8 m³ | 2427.6 m³ | 1575.9 m³ | ||
| Volume of water drained (Liters) | 38.84 L | 53.41 L | 53.58 L | ||
| B | Specific Yield (%) | 0.03% | 0.08% | 0.05% | |
| Distance from pumping well | 11.4 m | 6.85 m | 15.7 m | ||
| Volume of material dewatered (m³) | 16358.75 m³ | 6295.01 m³ | 9494.89 m³ | ||
| Volume of water drained (Liters) | 50.71 L | 50.36 L | 47.48 L | ||
| C | Specific Yield (%) | 0.04% | 0.17% | 0.20% | |
| Distance from pumping well | 8.3 m | 6.85 m | 9.2 m | ||
| Volume of material dewatered (m³) | 12448.4 m³ | 3075.7 m³ | 2595.83 m³ | ||
| Volume of water drained (Liters) | 49.794 L | 52.29 L | 51.926 L | ||
| D | Specific Yield (%) | 0.28% | 0.08% | 0.24% | |
| Distance from pumping well | 8.5 m | 15.7 m | 9.2 m | ||
| Volume of material dewatered (m³) | 1906.7 m³ | 6372.93 m³ | 2247.88 m³ | ||
| Volume of water drained (Liters) | 53.38 L | 50.98 L | 53.94 L |
| Well | Sustainable Yield | Number of Persons That can be supplied |
| A | 1166.4 m³ at 0.45 L/s | 1555 People |
| B | 414.72 m³ at 0.16 L/s | 553 People |
| C | 803.52 m³ at 0.31 L/s | 1071 People |
| D | 984.96 m³ at 0.38 L/s | 1313 People |
Disclaimer/Publisher’s Note: The statements, opinions and data contained in all publications are solely those of the individual author(s) and contributor(s) and not of MDPI and/or the editor(s). MDPI and/or the editor(s) disclaim responsibility for any injury to people or property resulting from any ideas, methods, instructions or products referred to in the content. |
© 2025 by the authors. Licensee MDPI, Basel, Switzerland. This article is an open access article distributed under the terms and conditions of the Creative Commons Attribution (CC BY) license (http://creativecommons.org/licenses/by/4.0/).
