Submitted:
02 May 2025
Posted:
06 May 2025
You are already at the latest version
Abstract

Keywords:
1. Introduction
2. Materials and Methods
2.1. Study Site
2.2. Swine Wastewater Collection and Characterization
2.3. Experimental Design and Plant Material
2.4. Evaluated Variables
2.5. Emergency Test and Emergency Rate Index
2.6. Evaluation of the Morphological Traits of the Seedlings
2.7. Elemental Analysis of Seedlings
2.8. Statistical Analysis
3. Results
3.1. Physicochemical Parameters of Swine Wastewater
3.2. Seedling Emergence and Emergence Rate
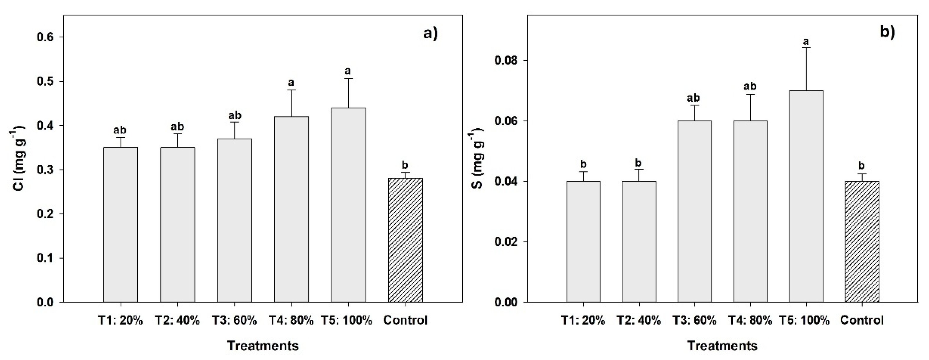
3.3. Distribution of Essential Elements in Habanero Pepper Seedlings
3.4. Concentration of Essential and Non-Essential Elements in Habanero Pepper Seedlings

3.5. Morphological Characteristics in Habanero Pepper Seedlings
4. Discussion
4.1. Swine Wastewater
4.2. Physiological Responses of Habanero Pepper Seeds
4.3. Distribution of Essential Elements in Habanero Pepper Seedlings
4.4. Morphological Responses of Habanero Chile Seedlings Irrigated with Pig Wastewater
5. Conclusions
Author Contributions
Funding
Data Availability Statement
Acknowledgments
Conflicts of Interest
References
- SIAP-SADER. Producción pecuaria de México. Servicio de Información Agropecuaria, Secretaria de Agricultura y Desarrollo Rural. México 2019. https://www.inforural.com.
- Bautista, F.; Aguilar, Y.; Díaz, E.; Cano, A.; Ramírez, S. Los territorios kársticos de la península de Yucatán: caracterización, manejo y riesgos. Asociación Mexicana de Estudios sobre el Karst. Ciudad de México. Los suelos como plantas de tratamiento de las aguas residuales porcinas. 2021,196 pp. https://www.researchgate.net/publication/352750661 [accessed Apr 2025].
- Bautista, F.; Aguilar, Y.; Gijón-Yescas, N. Las granjas porcinas en zonas de karst: ¿Cómo pasamos de la contaminación a la sustentabilidad? Tropical and Subtropical Agroecosystems 2022, 25: #093. [CrossRef]
- Álvarez-Valencia, L.H.; García-Reyes, R.B.; Ulloa-Mercado, R.G.; Arellano-Gil, M.; García-González, A. Biotechnological potential for the valorization of waste generated from pig farms and wheat cultivation. Entreciencias: Diálogos en la Sociedad del Conocimiento, 2019, vol. 7, núm. 21, pp. 1-21. [CrossRef]
- Polanco, A.G.; Beilin, K. Toxic bodies: water and women in Yucatan. Hispanic Issues On-Line, 2019, 24, pp. 168-193.
- Valdez-Vázquez, M.; Bobadilla-Vidrio, Y.G.; García-Reyes, R. B. ; Martínez-Rodríguez. C. M.; Alvarez-Valencia, L. H. Influencia de la separación de agua residual porcina en fracciones sólida y líquida, en la producción de metano con Iodo anaerobio granular y disperso. Biotecnia, 2022, vol. 24, núm. 1, pp. 107-115. [CrossRef]
- Wei, J.; Wei, Q.; Qiang, Z.; Xuan, W.; Yan, M.; Qing, C. Evaluation of crop residues and manure production and their geographical distribution in China. Journal of Cleaner Production, 2018, 188, pp. 954-965. [CrossRef]
- Pérez-Gutiérrez, A.; Dzul-Mukul, C. R.; Borges-Gómez, L.; Latournerie-Moreno, L.; Ruiz-Sánchez, E.; Ayora-Ricalde, G. Potential use of pork farm effluents for Capsicum chinense production. Rev. Fitotec. Mex. 2015, Vol. 38 (4) 383 -387,2015.
- Caballero-Salinas, J.C.; Ovando-Salinas, S.G.; Núñez-Ramos, E.; Aguilar-Cruz, F. Sustratos alternativos para la producción de plántulas de tomate de cáscara (Physalis ixocarpa Brot.) en Chiapas. Revista Siembra, 2020, 7(2), 14-21. [CrossRef]
- Preciado-Rangel, P.; García-Hernández, J. L.; Segura-Castruita, M.Á.; Salas-Pérez, L.; Ayala-Garay, A.V.; Esparza-Rivera, J.R.; Troyo-Diéguez, E. Efecto del lixiviado de vermicomposta en la producción hidropónica de maíz forrajero. Terra Latinoamericana, 2014, 32(4), 333-338.
- Durukan, H.; Demirbas, A.; Tutar, U. The effects of solid and liquid vermicompost application on yield and nutrient uptake of tomato plant. Turkish Journal of Agriculture-Food Science and Technology, 2019, 7(7), 1069-1074.
- Torres-García, A.; Héctor-Ardisana, E.F.; Fosado-Téllez, O.; Cué-García, J.L.; Mero-Muñoz, J.A.; León-Aguilar, R.; Peñarrieta-Bravo, S. Respuesta del pimiento (Capsicum annuum L.) ante aplicaciones foliares de diferentes dosis y fuentes de lixiviados de vermicompost. Bioagro, 2019, 31(3), 213-220.
- Hernández-Pinto, C.; Garruña, R.; Andueza-Noh, R.; Hernández-Núñez, E.; Zavala-León, M. J.; Pérez-Gutiérrez, A. Post-harvest storage of fruits: An alternative to improve physiological quality in habanero pepper seeds. Revista Bio Ciencias 2020, 7, e796. [Google Scholar] [CrossRef]
- Dickson, A.; Leaf, A.L.; Hosner, J.F. Quality appraisal of white spruce and white pine seedlings stock in nurseries. The Forestry Chronicle, 1960; 36, 10–13. [Google Scholar] [CrossRef]
- Cárdenas, M.; Espinosa, S.; Cárdenas, M. Determinación de parámetros del agua residual de una granja porcina en el municipio Torbes, Táchira. Revista científica Unet. Ciencias exactas. 2017, Vol. 29(2): 161-172.
- Bilal, H.M.; Zulfiqar, R.; Adnan, M.; Umer, M.S.; Islam, H.; Zaheer, H.; Abbas, W. M.; Haider, F.; Ahmad, I. Impact of salinity on citrus production; A review. International Journal of Applied Research. 2020, 6: 173-176.
- Amalfitano, C.; Del Vacchio, L.; Somma, S.; Cuciniello, A.; Caruso, G. Effects of cultural cycle and nutrient solution electrical conductivity on plant growth, yield and fruit quality of ‘Friariello’ pepper grown in hydroponics. Horticultural Science. 2017, 44: 91-98. [CrossRef]
- Durukan, H.; Demirbas, A.; Tutar, U. The effects of solid and liquid vermicompost application on yield and nutrient uptake of tomato plant. Turkish Journal of Agriculture-Food Science and Technology, 2019, 7(7), 1069-1074.
- Gamboa-Angulo, J.; Ruíz-Sánchez, E.; Alvarado-López, C.; Gutiérrez-Miceli, F.; Ruíz-Valdiviezo, V.M.; Medina-Dzul, K. Efecto de biofertilizantes microbianos en las características agronómicas de la planta y calidad del fruto del chile xcat’ik (Capsicum annuum L.). Terra Latinoamericana, 2020, 38(4), 817-826. [CrossRef]
- Hernández-Pinto, C.D.; Alvarado-López, C.J.; Garruña, R.; Andueza-Noh, R.H.; Hernández-Núñez, E.; Zamora-Bustillos, R.; Ballina-Gómez, H.S.; Ruiz-Sánchez, E.; Samaniego-Gámez, B.Y.; Samaniego-Gámez, S.U. Kinetics of Macro and Micronutrients during Germination of Habanero Pepper Seeds in Response to Imbibition. Agronomy. 2022, Vol. 12, 2117. [Google Scholar] [CrossRef]
- Cedeño-Guerra, J. L.; Héctor-Ardisana, E. F.; Torres-García, A.; Fosado-Téllez, O. Respuestas del crecimiento y el rendimiento en pimiento (Capsicum annuum L.) híbrido Nathalie a un lixiviado de vermicompost bovino. La Técnica: Revista de las Agrociencias, 2020, 2(1), 1-10. [CrossRef]
- Luna-Fletes, J. A.; Cruz-Crespo, E.; Can-Chulim, A.; Chan-Cupul, W.; Luna-Esquivel, G.; García-Paredes, J.D.; Mancilla-Villa, O. R. Producción de plántulas de chile habanero con fertilización orgánica y biológica. Terra Latinoamericana, 2022, 39, e988. [CrossRef]
- Calero-Hurtado, A.; Pérez Díaz, Y.; González-Pardo, H.Y.; Yanes-Simón, L.A.; Peña-Calzada, K.; Olivera-Viciedo, D.; Meléndrez-Rodríguez, J.F. Respuesta agroproductiva de la habichuela a la aplicación de vermicompost lixiviado y microorganismos eficientes. Revista de la Facultad de Ciencias, 2020, 9(1), 112-124. [CrossRef]
- Yoon, H.; Kang, Y.G. ; Chang-Yoon, Seok-Kim, J.H. Effects of Zerovalent Iron Nanoparticles on Photosynthesis and Biochemical Adaptation of Soil-Grown Arabidopsis thaliana. Nanomaterials. 2019, 9: 1543. [CrossRef]
- Gohain, B.P.; Rose, T.J.; Liu, L.; Barkla, B.J.; Raymond, C.A.; King, G.J. Remobilization and fate of sulphur in mustard. Ann Bot. 2019, August 16;124(3):471–480. [CrossRef]
- Garcia-Terrazas, M.I.; Santillán-Carrillo, I.E.; Holguín-Mina, R.; Sariñana-Aldaco, O. Impacto de la conductividad eléctrica de la solución nutritiva en la biomasa, pigmentos fotosintéticos y compuestos nitrogenados en lechuga. Biotecnia, 2022, 24(3), 115-122. [CrossRef]
- Cázarez-Flores, L. L.; Partida-Ruvalcaba, L.; Velázquez-Alcaraz, T.J.; Ayala-Tafoya, F.; Díaz-Valdés, T.; Yáñez-Juárez, M.G.; López-Orona, C.A. Silicio y cloro en el crecimiento, rendimiento y calidad postcosecha de pepino y tomate. Terra Latinoamericana, 2022, 40, e994. [CrossRef]
- Marschner, H. Marschner’s mineral nutrition of higher plants. San Diego, CA, USA: Academic Press. 2011.
- Tingxuan, L.; Changquan, W.; Guorui, M.; Xizhou, Z.; Rensui, Z. Research progress of chloride-containing fertilizers. Southwest China Journal of Agricultural Sciences, 2022, 15(2), 86-91.
- Geilfus, C.M. Review on the significance of chlorine for crop yield and quality. Plant Science, 2018, 270, 114-122. [CrossRef]
- Jobe, T.O.; Zenzen, I.; Rahimzadeh-Karvansara, P.; Kopriva, S. Integration of sulfate assimilation with carbon and nitrogen metabolism in transition from C3 to C4 photosynthesis. J Exp Bot. 2019, 70(16):4211–4221. [CrossRef]
- Alatorre-Rosas, R.; Quero-Carrillo, A.R.; Miranda-Jiménez, L.; Ramírez-Alarcón, S.; Villanueva-Verduzco, C.; Jarquín-Nieto, I.A.; Villanueva-Sánchez, E. Biofertilizantes: la solución a la productividad en el campo. Texcoco, Estado de México, México: Universidad Autónoma Chapingo-Colegio de Postgraduados. 2015.
- Chinga, W.; Torres-García, A.; Chirinos, D.T.; Marmol, L.E. Efecto de un lixiviado de vermicompost sobre el crecimiento y producción del algodón. Revista Científica Ecuatoriana, 2020, 7(2), 32-40. [CrossRef]
- Acevedo-Alcalá, P.; Cruz-Hernández, J.; Taboada-Gaytán, O.R. Abonos orgánicos comerciales, estiércoles locales y fertilización química en la producción de plántula de chile poblano. Revista Fitotecnia Mexicana, 2020, 43(1), 35-44. [CrossRef]
- Julca-Otiniano, A.; Borjas-Ventura, R.; Bello-Amez, S.; Ladera-Manyari, Y.; Rebaza-Fernández, D. El crecimiento del café var. Caturra roja y su relación con la aplicación de abonos orgánicos. Revista de la Facultad de Ingeniería de la USIL, 2015, 2(2), 75-89.






| Treatments | pH | EC (µS/cm) | COD (mg/l) | TKN (mg/l) | TP (mg/l) |
|---|---|---|---|---|---|
| T1: 20% wastewater + 80% water | 7.53 NS | 2120 ± 0.11 e | 144 ± 0.17 d | 136 ± 0.2 e | 11.2 ± 0.12 a |
| T2: 40% wastewater + 60% wáter | 8.55 NS | 3437 ± 0.13 d | 201 ± 0.22 c | 247± 0.3 d | 9.80 ± 0.15 a |
| T3: 60% wastewater + 40% water | 8.7 NS | 4612 ± 0.17 c | 290 ± 0.27 b | 422 ± 0.33 c | 8.11 ± 0.21 b |
| T4: 80% wastewater + 20% wáter | 8.91 NS | 5700 ± 0.24 ab | 485 ± 0.41 a | 571 ± 0.52 b | 5.34 ± 0.33 c |
| T5: 100% wastewater | 9.20 NS | 7233 ± 0.31 a | 563 ± 0.55 a | 711 ± 0.74 a | 6.63 ± 0.38 c |
| T6: 100% water (Control) | 7.0 NS | 878 ± 0.034 f | menor a ≤20 ± 0.01 e | 5.8 ± 0.1 f | 6.0 ± 0.09 c |
| Treatments | Seedling emergence (%) | Emergence rate (seedling/day) |
|---|---|---|
| T1: 20% wastewater + 80% water | 97 ± 0.06 a | 13.09 ± 0.01 a |
| T2: 40% wastewater + 60% water | 87 ± 0.05 ab | 9 ± 0.03 b |
| T3: 60% wastewater + 40% water | 81 ± 0.06 bc | 5.1 ± 0.01 c |
| T4: 80% wastewater + 20% water | 78 ± 0.87 bc | 3.77 ± 1.04 c |
| T5: 100% wastewater | 70 ± 2.0 c | 3.10 ± 1.51 c |
| T6: 100% water (Control) | 98 ± 0.03 a | 13.58 ± 0.01 a |
| Treatments | C/N | Height (cm) | Stem Dry Weight (mg) | Root Dry Weight (mg) | Total Dry Weight (mg) | Slenderness Index | Dickson Quality Index |
|---|---|---|---|---|---|---|---|
| T1: 20% wastewater + 80% water | 3.75 ± 0.09 b | 8.11 ± 0.06 a | 130.94 ± 0.003 a | 41.83 ± 0.001 a | 172.77 ± 0.003 a | 4.26 ± 0.04 a | 0.23 ± 0.001 a |
| T2: 40% wastewater + 60% wáter | 3.90 ± 0.14 b | 7.25 ± 0.08 bc | 107.63 ± 0.004 b | 26.39 ± 0.002 b | 134.02± 0.004 b | 3.77 ± 0.05 b | 0.15 ± 0.005 b |
| T3: 60% wastewater + 40% water | 3.97 ± 0.22 ab | 6.68 ± 0.08 c | 105.18 ± 0.005 b | 30.43 ± 0.003 b | 135.63 ± 0.003 b | 3.73 ± 0.06 b | 0.19 ± 0.06 ab |
| T4: 80% wastewater + 20% wáter | 4.07 ± 0.30 a | 6.46 ± 0.10 c | 96 ± 0.007 b | 22.87 ± 0.003 b | 118.87 ± 0.006 b | 3.59 ± 0.08 b | 0.017 ± 0.09 b |
| T5: 100% wastewater | 4.20 ± 0.55 a | 3.31 ± 0.32 d | 58.84 ± 0.006 c | 6.85 ± 0.010 c | 65.69 ± 0.008 c | 2.69 ± 0.24 c | 0.05 ± 0.11 c |
| T6: 100% water (Control) | 3.40 ± 0.01 c | 7.87 ± 0.05 a | 112.51 ± 0.002 ab | 41.85± 0.001 a | 154.36 ± 0.003 ab | 3.85 ± 0.05 ab | 0.22 ± 0.001 a |
Disclaimer/Publisher’s Note: The statements, opinions and data contained in all publications are solely those of the individual author(s) and contributor(s) and not of MDPI and/or the editor(s). MDPI and/or the editor(s) disclaim responsibility for any injury to people or property resulting from any ideas, methods, instructions or products referred to in the content. |
© 2025 by the authors. Licensee MDPI, Basel, Switzerland. This article is an open access article distributed under the terms and conditions of the Creative Commons Attribution (CC BY) license (http://creativecommons.org/licenses/by/4.0/).