Submitted:
02 May 2025
Posted:
06 May 2025
You are already at the latest version
Abstract
Keywords:
1. Introduction
2. Materials and Methods
2.1. Standard Protocol Approvals, Registrations, and Participant Consents
2.2. Procedures
2.2.1. New Line Bisecting Task (LBT)

2.2.2. Vestibular Function Examination and Questionnaire
2.3. Data Analysis
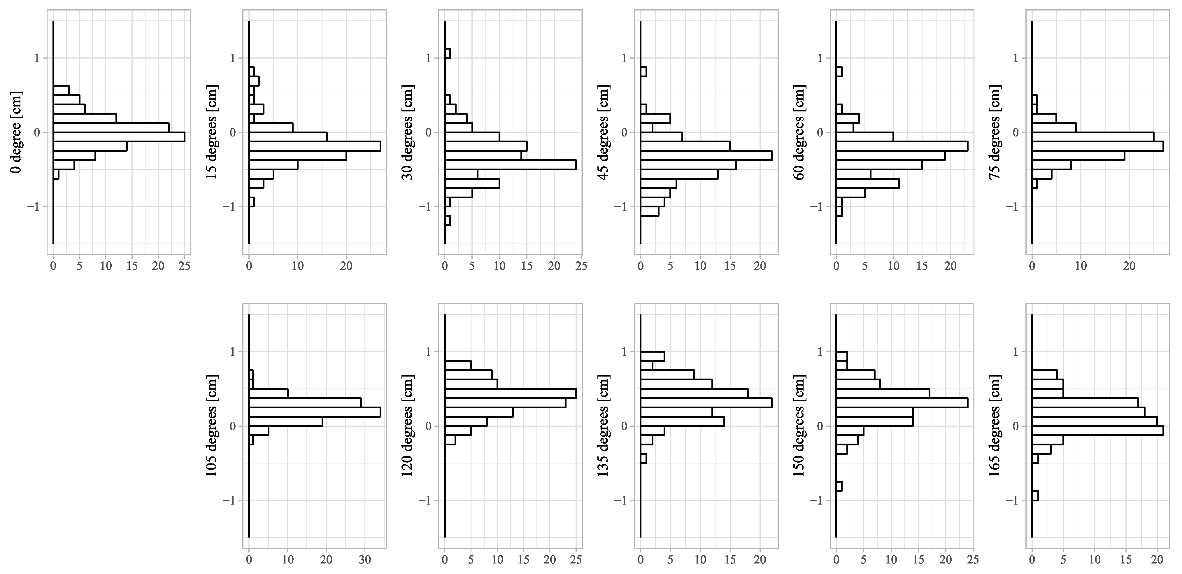
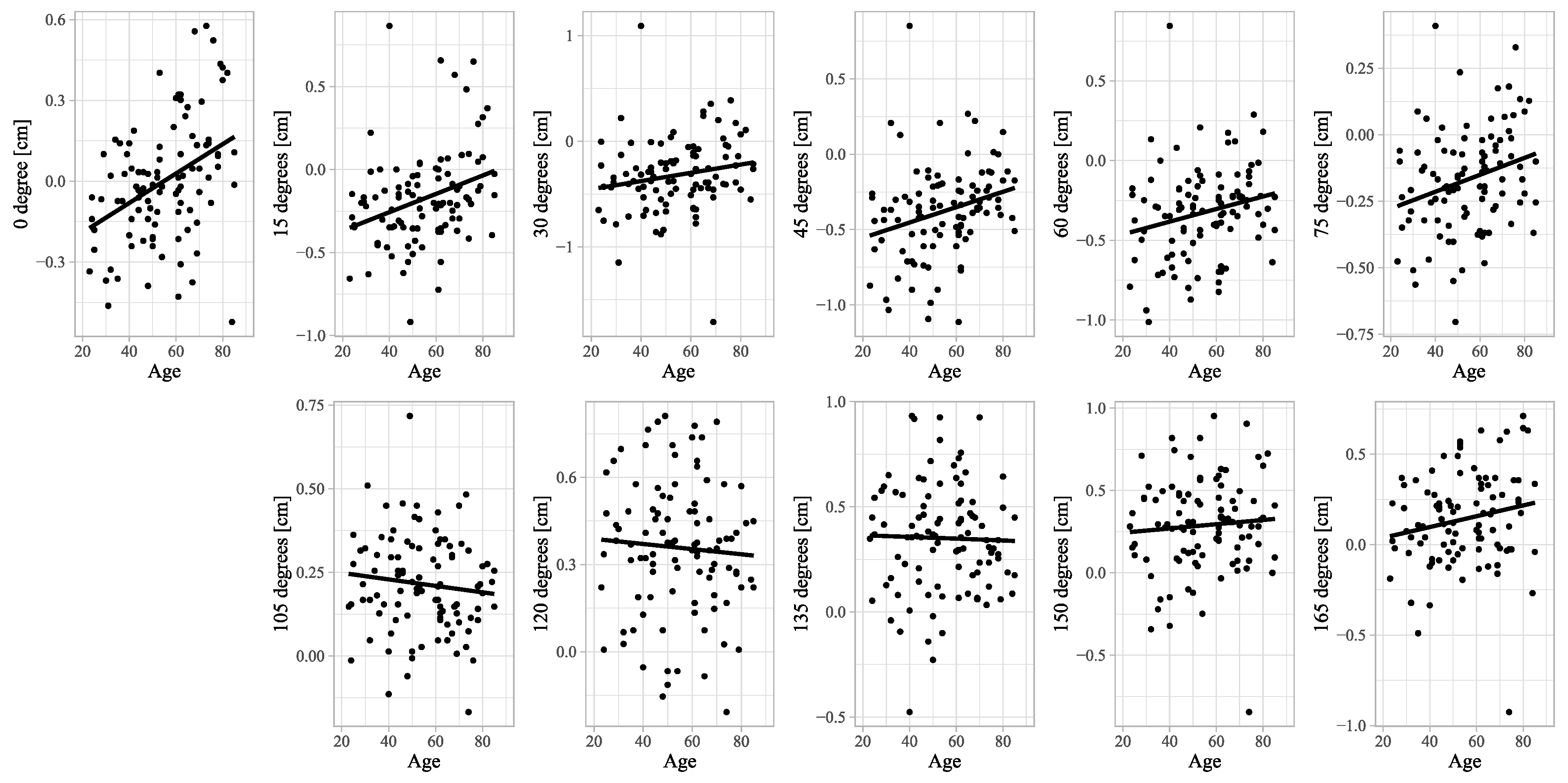
3. Results

4. Discussion
5. Conclusions
Author Contributions
Funding
Institutional Review Board Statement
Informed Consent Statement
Data Availability Statement
Acknowledgments
Conflicts of Interest
Abbreviations
| LBT | Line bisection task |
| PN | Pseudoneglect |
| GVS | Galvanic vestibular stimulation |
| LCD | Liquid crystal display |
| CP | Canal paresis |
| vHIT | Video head impulse test |
| VOR | Vestibulo-ocular reflex |
| AUC | Area under the curve |
| cVEMP | Cervical vestibular evoked myogenic potential |
| oVEMP | Ocular vestibular evoked myogenic potential |
| EMG | Electromyographic |
| SCM | Sternocleidomastoid muscle |
| AR | Asymmetry ratio |
| DHI | Dizziness Handicap Inventory |
| SDS | Self-rating Depression Scale |
| GDS | Geriatric Depression Scale |
| HADS | Hospital Anxiety and Depression Scale |
| POUNDing | Pulsating, duration of 4-72 hOurs, Unilateral, Nausea, Disabling |
| MIDAS | Migraine Disability Assessment |
| MANOVA | Multivariate analysis of variance |
| ANOVA | Analysis of variance |
Appendix A










References
- Liepmann, H.; Kalmus, E. Über einer Augenmasstörung beu Hemianopikern. Berl Klin Wschr 1900, 38, 838–842. [Google Scholar]
- Bowers, D.; Heilman, K.M. Pseudoneglect: Effects of hemispace on a tactile line bisection task. Neuropsychologia 1980, 18, 491–498. [Google Scholar] [CrossRef] [PubMed]
- Jewell, G.; McCourt, M.E. Pseudoneglect: A review and meta-analysis of performance factors in line bisection tasks. Neuropsychologia 2000, 38, 93–110. [Google Scholar] [CrossRef] [PubMed]
- Ferrè, E.R.; Arthur, K.; Haggard, P. Galvanic vestibular stimulation increases novelty in free selection of manual actions. Front. Integr. Neurosci. 2013, 7. [Google Scholar] [CrossRef] [PubMed]
- Ferrè, E.R.; Longo, M.R.; Fiori, F.; Haggard, P. Vestibular modulation of spatial perception. Front. Hum. Neurosci. 2013, 7, 660. [Google Scholar] [CrossRef]
- Rorsman, I.; Magnusson, M.; Johansson, B.B. Reduction of visuo-spatial neglect with vestibular galvanic stimulation. Scand. J. Rehabil. Med. 1999, 31, 117–124. [Google Scholar] [CrossRef]
- Utz, K.S.; Keller, I.; Kardinal, M.; Kerkhoff, G. Galvanic vestibular stimulation reduces the pathological rightward line bisection error in neglect-A sham stimulation-controlled study. Neuropsychologia 2011, 49, 1219–1225. [Google Scholar] [CrossRef]
- Oppenländer, K.; Keller, I.; Karbach, J.; Schindler, I.; Kerkhoff, G.; Reinhart, S. Subliminal galvanic-vestibular stimulation influences ego- and object-centred components of visual neglect. Neuropsychologia 2015, 74, 170–177. [Google Scholar] [CrossRef]
- Ruet, A.; Jokic, C.; Denise, P.; Leroy, F.; Azouvi, P. Does galvanic vestibular stimulation reduce spatial neglect? A negative study. Ann. Phys. Rehabil. Med. 2014, 57, 570–577. [Google Scholar] [CrossRef]
- Peirce, J.; Gray, J.R.; Simpson, S.; MacAskill, M.; Höchenberger, R.; Sogo, H.; Kastman, E.; Lindeløv, J.K. PsychoPy2: Experiments in behavior made easy. Behav. Res. Methods 2019, 51, 195–203. [Google Scholar] [CrossRef]
- Vater, C.; Wolfe, B.; Rosenholtz, R. Peripheral vision in real-world tasks: A systematic review. Psychon. Bull. Rev. 2022, 29, 1531–1557. [Google Scholar] [CrossRef] [PubMed]
- Zhaoping, L. Peripheral vision is mainly for looking rather than seeing. Neurosci. Res. 2024, 201, 18–26. [Google Scholar] [CrossRef] [PubMed]
- Iwasaki, S.; Takai, Y.; Ozeki, H.; Ito, K.; Karino, S.; Murofushi, T. Extent of lesions in idiopathic sudden hearing loss with vertigo: Study using click and galvanic vestibular evoked myogenic potentials. Arch. Otolaryngol. - Head Neck Surg. 2005, 131, 857–862. [Google Scholar] [CrossRef] [PubMed]
- Fujimoto, C.; Murofushi, T.; Chihara, Y.; Suzuki, M.; Yamasoba, T.; Iwasaki, S. Novel subtype of idiopathic bilateral vestibulopathy: Bilateral absence of vestibular evoked myogenic potentials in the presence of normal caloric responses. J. Neurol. 2009, 256, 1488–1492. [Google Scholar] [CrossRef]
- Fujimoto, C.; Egami, N.; Kinoshita, M.; Sugasawa, K.; Yamasoba, T.; Iwasaki, S. Involvement of vestibular organs in idiopathic sudden hearing loss with vertigo: An analysis using oVEMP and cVEMP testing. Clin. Neurophysiol. 2015, 126, 1033–1038. [Google Scholar] [CrossRef]
- Jacobson, G.P.; Newman, C.W. The Development of the Dizziness Handicap Inventory. Arch. Otolaryngol. Neck Surg. 1990, 116, 424–427. [Google Scholar] [CrossRef]
- Zung, W.W.K. A Self-Rating Depression Scale. Arch. Gen. Psychiatry 1965, 12, 63–70. [Google Scholar] [CrossRef]
- Yesavage, J.A.; Brink, T.L.; Rose, T.L.; Lum, O.; Huang, V.; Adey, M.; Leirer, V.O. Development and validation of a geriatric depression screening scale: A preliminary report. J. Psychiatr. Res. 1982, 17, 37–49. [Google Scholar] [CrossRef]
- Sheikh, J.I.; Yesavage, J.A. 9/geriatric depression scale (Gds) recent evidence and development of a shorter version. Clin. Gerontol. 1986, 5, 165–173. [Google Scholar] [CrossRef]
- Zigmond, A.S.; Snaith, R.P. The Hospital Anxiety and Depression Scale. Acta Psychiatr. Scand. 1983, 67, 361–370. [Google Scholar] [CrossRef]
- Detsky, M.E.; McDonald, D.R.; Baerlocher, M.O.; Tomlinson, G.A.; McCrory, D.C.; Booth, C.M. Does this patient with headache have a migraine or need neuroimaging? JAMA 2006, 296, 1274–1283. [Google Scholar] [CrossRef] [PubMed]
- Stewart, W.F.; Lipton, R.B.; Dowson, A.J.; Sawyer, J. Development and testing of the Migraine Disability Assessment (MIDAS) Questionnaire to assess headache-related disability. Neurology 2001, 56, S20–8. [Google Scholar] [CrossRef] [PubMed]
- Takeshima, T.; Sakai, F.; Suzuki, N.; Shimizu, T.; Igarashi, H.; Araki, N.; Manaka, S.; Nakashima, K.; Hashimoto, Y.; Iwata, M.; et al. A simple migraine screening instrument; Validation study in Japan. Japanese J. Headache 2015, 42, 134–143. [Google Scholar]
- R Core Team R: A Language and Environment for Statistical Computing 2024.
- Stam, C.J.; Bakker, M. The prevalence of neglect: superiority of neuropsychological over clinical methods of estimation. Clin. Neurol. Neurosurg. 1990, 92, 229–235. [Google Scholar] [CrossRef]
- Fujii, T.; Fukatsu, R.; Yamadori, A.; Kimura, I. Effect of Age on the Line Bisection Test. J. Clin. Exp. Neuropsychol. 1995, 17, 941–944. [Google Scholar] [CrossRef]
- Manly, T.; Dobler, V.B.; Dodds, C.M.; George, M.A. Rightward shift in spatial awareness with declining alertness. Neuropsychologia 2005, 43, 1721–1728. [Google Scholar] [CrossRef]
- Matthias, E.; Bublak, P.; Costa, A.; Müller, H.J.; Schneider, W.X.; Finke, K. Attentional and sensory effects of lowered levels of intrinsic alertness. Neuropsychologia 2009, 47, 3255–3264. [Google Scholar] [CrossRef]
- Smaczny, S.; Bauder, D.; Sperber, C.; Karnath, H.O.; de Haan, B. Reducing alertness does not affect line bisection bias in neurotypical participants. Exp. Brain Res. 2024, 242, 195–204. [Google Scholar] [CrossRef]
- Pavlou, M.; Kanegaonkar, R.G.; Swapp, D.; Bamiou, D.E.; Slater, M.; Luxon, L.M. The effect of virtual reality on visual vertigo symptoms in patients with peripheral vestibular dysfunction: A pilot study. J. Vestib. Res. Equilib. Orientat. 2012, 22, 273–281. [Google Scholar] [CrossRef]
- Roberts, R.E.; Ahmad, H.; Patel, M.; Dima, D.; Ibitoye, R.; Sharif, M.; Leech, R.; Arshad, Q.; Bronstein, A.M. An fMRI study of visuo-vestibular interactions following vestibular neuritis. NeuroImage Clin. 2018, 20, 1010–1017. [Google Scholar] [CrossRef]
- Dieterich, M.; Bense, S.; Lutz, S.; Drzezga, A.; Stephan, T.; Bartenstein, P.; Brandt, T. Dominance for vestibular cortical function in the non-dominant hemisphere. Cereb. Cortex 2003, 13, 994–1007. [Google Scholar] [CrossRef] [PubMed]
- Schmitz, J.; Kumsta, R.; Moser, D.; Güntürkün, O.; Ocklenburg, S. DNA methylation of dopamine-related gene promoters is associated with line bisection deviation in healthy adults. Sci. Rep. 2019, 9, 5902. [Google Scholar] [CrossRef] [PubMed]
- Mezzalira, R.; Bittar, R.S.M.; Bilécki-Stipsky, M.M.D.C.; Brugnera, C.; Grasel, S.S. Sensitivity of caloric test and video head impulse as screening test for chronic vestibular complaints. Clinics 2017, 72, 469–473. [Google Scholar] [CrossRef] [PubMed]
- Vallim, M.G.B.; Gabriel, G.P.; Mezzalira, R.; Stoler, G.; Chone, C.T. Does the video head impulse test replace caloric testing in the assessment of patients with chronic dizziness? A systematic review and meta-analysis. Braz. J. Otorhinolaryngol. 2021, 87, 733–741. [Google Scholar] [CrossRef]




Disclaimer/Publisher’s Note: The statements, opinions and data contained in all publications are solely those of the individual author(s) and contributor(s) and not of MDPI and/or the editor(s). MDPI and/or the editor(s) disclaim responsibility for any injury to people or property resulting from any ideas, methods, instructions or products referred to in the content. |
© 2025 by the authors. Licensee MDPI, Basel, Switzerland. This article is an open access article distributed under the terms and conditions of the Creative Commons Attribution (CC BY) license (http://creativecommons.org/licenses/by/4.0/).