Submitted:
25 April 2025
Posted:
25 April 2025
Read the latest preprint version here
Abstract
Keywords:
1. Introduction
1.1. Two Aspects of Emotional Well-being: Positive and Blue Affect
1.2. Natural Landscape: The Impact of Snowy Landscapes on Emotional Well-being
1.3. The Influence of Surface Color on Emotion
1.4. The Influence of Light Color on Positive and Blue Emotions
1.5. Research Questions and Hypotheses
2. Materials and Methods
2.1. Experimental Procedures
2.2. Experiment settings
2.2.1. Creation of the Non-Artificial Light Scene (S0) and Lighted Scenes (S1-S6)
2.2.2. Color and Brightness Selection
2.2.3. Composite Scenes
2.3. Participant Demographic Information
2.4. Emotional Well-Being Measurements Questionnaire
2.5. Analysis of Experimental Data
2.5.1. Preliminary Testing
2.5.2. Multifactor Analysis of Variance (ANOVA)
2.5.3. Effect Size Calculation
2.5.4. Paired-Sample t-Test
3. Results
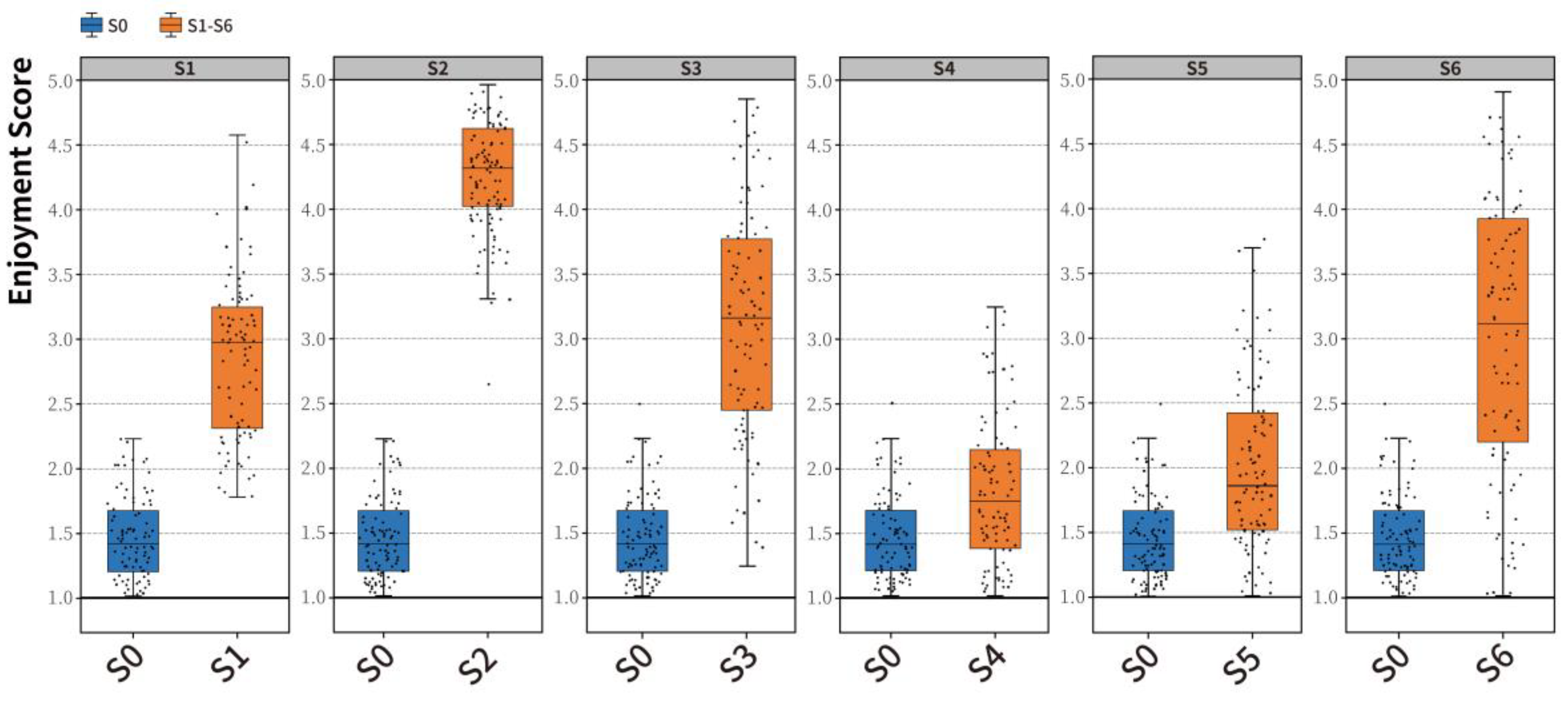
3.1. Warm-colored Lighting Significantly Enhances Pleasant and Enjoyment
3.2. Lighting Conditions and Emotional Dimensions Both Significantly Influence Emotional Scores and Exhibit Strong Interaction Effects
3.3. Both Emotional Dimensions and the Scene-Emotion Interaction Effect Reached a Large Effect Size
3.4. Comparison of Emotional Responses Between Baseline Scene (S0) and Each Lighting Condition
3.4.1. Comparison of Positive Emotions Between Baseline Scene (S0) and Each Lighting Condition
- Pleasant:
- 2.
- Enjoyment:
- 3.
- Relaxed:
3.4.2. Comparison of Blue Emotions Between Baseline Scene (S0) and Each Lighting Condition
- Worry:
- 2.
- Nervous:
- 3.
- Stress:
3.4.3. Summary
4. Discussion
4.1. The Impact of Surface Color in the No Artificial Lighting Scene (S0) on Emotional Well-being
4.2. The Impact of Light Color on Positive Emotions in Emotional Well-being
4.3. The Impact of Light Color on Blue Emotions in Emotional Well-being
4.4. The Dual Emotional Effect of Lighting
4.5. Research Limitations and Future Directions
4.6. Research Limitations and Future Directions
5. Conclusions
Author Contributions
Funding
Data Availability Statement
Acknowledgments
Conflicts of Interest
References
- Ömer ¸Sim¸sek. An Intentional Model of Emotional Well-Being: The Development and Initial Validation of a Measure of Subjective Well-Being. Journal of Happiness Studies 2011, 12, 421–442. [Google Scholar] [CrossRef]
- Kahneman, D.; Deaton, A. High income improves evaluation of life but not emotional well-being. Proceedings of the National Academy of Sciences 2010, 107, 16489–16493. [Google Scholar] [CrossRef] [PubMed]
- Sanjuan, P.M.; Magallares, A.; Arranz, H.; Castro, A. A longitudinal study on coping and emotional well-being in cardiac patients. Psychology, Health & Medicine 2023, 28, 1916–1923. [Google Scholar]
- Lee, J.A.; Efstratiou, C.; Siriaraya, P.; Sharma, D.; Ang, C.S. SnapAppy: A positive psychology intervention using smartphone photography to improve emotional well-being. Pervasive Mob. Comput. 2021, 73, 101369. [Google Scholar] [CrossRef]
- Skopec, L.; Musco, T.; Sommers, B.D. A potential new data source for assessing the impacts of health reform: Evaluating the Gallup-Healthways Well-Being Index. Healthcare 2014, 2 2, 113–20. [Google Scholar] [CrossRef]
- Weinberger, A.B.; Christensen, A.P.; Coburn, A.; Chatterjee, A. Psychological responses to buildings and natural landscapes. Journal of Environmental Psychology 2021, 77, 101676. [Google Scholar] [CrossRef]
- Ghalehnoei, M.P.; Massoud, M.; Yarmohammadian, M. Presenting a conceptual model for designing hospital architecture with a patient-centered approach based on the patient’s lived experience of sense of place in the therapeutic space. Journal of Education and Health Promotion 2022, 11. [Google Scholar] [CrossRef]
- Suess, C.; Mody, M. Hotel-like hospital rooms’ impact on patient well-being and willingness to pay. International Journal of Contemporary Hospitality Management 2018. [CrossRef]
- Hao, S.; Zhang, L.; Hou, R.; Lau, S.S.Y.; Lau, S.S.Y. Research on the physiological and psychological impacts of extraordinary nature on emotions and restorative effects for young adults. Journal of Environmental Psychology 2024. [CrossRef]
- Jiang, Y.; Li, N.; Yongga, A.; Yan, W. Short-term effects of natural view and daylight from windows on thermal perception, health, and energy-saving potential. Building and Environment 2021. [CrossRef]
- Rheinberger, D.; Baffsky, R.; McGillivray, L.; Zbukvic, I.; Dadich, A.; Larsen, M.E.; Lin, P.I.; Gan, D.Z.Q.; Kaplun, C.; Wilcox, H.C.; et al. Examining the Feasibility of Implementing Digital Mental Health Innovations Into Hospitals to Support Youth in Suicide Crisis: Interview Study With Young People and Health Professionals. JMIR Formative Research 2023, 7. [Google Scholar] [CrossRef] [PubMed]
- He, X.; Shao, L.; Tang, Y.; Hao, L. Understanding Outdoor Cold Stress and Thermal Perception of the Elderly in Severely Cold Climates: A Case Study in Harbin. Land 2024. [CrossRef]
- Mullins, J.T.; White, C. Temperature and Mental Health: Evidence from the Spectrum of Mental Health Outcomes. Political Economy - Development: Environment eJournal 2019.
- Wang, W.; Lu, C. Visualization analysis of big data research based on Citespace. Soft Computing 2019, 24, 8173–8186. [Google Scholar] [CrossRef]
- Kugo, A.; Terada, S.; Ishizu, H.; Takeda, T.; Sato, S.; Habara, T.; Fujimoto, Y.; Namba, T.; Horii, S.; Kuroda, S. Quality of life for patients with schizophrenia in a Japanese psychiatric hospital. Psychiatry Research 2006, 144, 49–56. [Google Scholar] [CrossRef]
- Bielinis, E.; Janeczko, E.; Takayama, N.; Zawadzka, A.M.; Słupska, A.; Pi˛etka, S.; Lipponen, M.; Bielinis, L. The effects of viewing a winter forest landscape with the ground and trees covered in snow on the psychological relaxation of young Finnish adults: A pilot study. PLoS ONE 2021, 16. [Google Scholar] [CrossRef]
- Jonauskait ˙e, D.; Mohr, C. Do we feel colours? A systematic review of 128 years of psychological research linking colours and emotions. Psychonomic bulletin & review 2025.
- Al-Ayash, A.; Kane, R.; Smith, D.; Green-Armytage, P. The influence of color on student emotion, heart rate, and performance in learning environments. Color Research and Application 2016, 41, 196–205. [Google Scholar] [CrossRef]
- Yıldırım, K.; Akalin-Baskaya, A.; Hidayeto ˘glu, M.L. Effects of indoor color on mood and cognitive performance. Building and Environment 2007, 42, 3233–3240. [Google Scholar] [CrossRef]
- Yıldırım, K.; Ça ˘gatay, K.; Ayalp, N. Effect of wall colour on the perception of classrooms. Indoor and Built Environment 2015, 24, 607–616. [Google Scholar] [CrossRef]
- Li, H.; Peng, J.; Jiao, Y.; Ai, S. Experiencing Urban Green and Blue Spaces in Urban Wetlands as a Nature-Based Solution to Promote Positive Emotions. Forests 2022. [CrossRef]
- Choi, J.; Chang, Y.K.; Lee, K.K.; Chang, J.D. Effect of perceived warmth on positive judgment. Journal of Consumer Marketing 2016, 33, 235–244. [Google Scholar] [CrossRef]
- Azetsu, T.; Suetake, N.; Kohashi, K.; Handa, C. Color Image Enhancement Focused on Limited Hues. Journal of Imaging 2022, 8. [Google Scholar] [CrossRef]
- Tantanatewin, W.; Inkarojrit, V. The influence of emotional response to interior color on restaurant entry decision. International Journal of Hospitality Management 2018, 69, 124–131. [Google Scholar] [CrossRef]
- Quartier, K.; Vanrie, J.; van Cleempoel, K. As real as it gets: What role does lighting have on consumer’s perception of atmosphere, emotions and behaviour? Journal of Environmental Psychology 2014, 39, 32–39. [Google Scholar] [CrossRef]
- Xiao, H.; Cai, H.; Li, X. Non-visual effects of indoor light environment on humans: A review. Physiology & Behavior 2020, 228.
- Minguillon, J.; Lopez-Gordo, M.A.; Renedo-Criado, D.A.; Sanchez-Carrion, M.J.; Pelayo, F. Blue lighting accelerates post-stress relaxation: Results of a preliminary study. PLoS ONE 2017, 12. [Google Scholar] [CrossRef] [PubMed]
- Lee, H.K.; Lee, E. Effects of coloured lighting on pleasure and arousal in relation to cultural differences. Lighting Research & Technology 2021, 54, 145–162. [Google Scholar]
- Özkul, E.; Bilgili, B.; Koç, E. The Influence of the color of light on the customers’ perception of service quality and satisfaction in the restaurant. Color Research and Application 2020, 45, 1217–1240. [Google Scholar] [CrossRef]
- Laufer, L.; Láng, E.; Izsó, L.; Nemeth, E.S. Psychophysiological effects of coloured lighting on older adults. Lighting Research & Technology 2009, 41, 371–378. [Google Scholar]
- Tantanatewin, W.; Inkarojrit, V. Effects of color and lighting on retail impression and identity. Journal of Environmental Psychology 2016, 46, 197–205. [Google Scholar] [CrossRef]
- Watson, D.B.; Clark, L.A.; Tellegen, A. Development and validation of brief measures of positive and negative affect: the PANAS scales. Journal of personality and social psychology 1988, 54, 1063–1070. [Google Scholar] [CrossRef]
- ISO/CIE 11664-1: 2019. Colorimetry — Part 1: CIE standard colorimetric observers. Technical report, International Organization for Standardization and Commission Internationale de l’Éclairage: Geneva, Switzerland, 2019.
- CIE 150: 2017. Guide on the Limitation of the Effects of Obtrusive Light from Outdoor Lighting Installations2nd Edition. Technical report, Commission Internationale de l’Éclairage: Vienna, Austria, 2017; chapter 4.2, pp.12-15.
- CIE 150: 2017. Guide on the Limitation of the Effects of Obtrusive Light from Outdoor Lighting Installations2nd Edition. Technical report, Commission Internationale de l’Éclairage: Vienna, Austria, 2017; chapter 4.3, pp.16-18.
- Lane, R.D.; Hsu, C.H.; Locke, D.; Ritenbaugh, C.; Stonnington, C.M. Role of theory of mind in emotional awareness and alexithymia: Implications for conceptualization and measurement. Consciousness and Cognition 2015, 33, 398–405. [Google Scholar] [CrossRef]
- Lee, J.; Shon, E. Measurement Equivalence of the Positive and Negative Affect Schedule between Young-Middle-Aged and Older Adults. Innovative Aging 2019, 3, S705. [Google Scholar] [CrossRef]
- van Whitlock, R.; Lubin, B.; Patren, S. The alternate forms of the Positive and Negative Mood Scales: reliability, validity, and equivalence in referred samples. Journal of clinical psychology 1997, 53 5, 507–15. [Google Scholar] [CrossRef]
- Hedges, L.V.; Pigott, T.D. The power of statistical tests in meta-analysis. Psychological methods 2001, 6 3, 203–17. [Google Scholar] [CrossRef]
- Warner, R. Orange is the warmest color: mood and chromatic temperature in Robert Altman’s McCabe & Mrs. Miller. New Review of Film and Television Studies 2017, 15, 24–39. [Google Scholar]



















| Age | Province | Count | Characteristi | Category | Count |
|---|---|---|---|---|---|
| 18-55 | Guangdong | 3 | Gender | Male | 41 |
| Hebei | 8 | Female | 54 | ||
| Heilongjiang | 39 | Marriage | Married | 69 | |
| Hubei | 3 | Unmarried | 26 | ||
| Hunan | 2 | Education | Below high school | 19 | |
| Jilin | 15 | junior college | 31 | ||
| Jiangxi | 2 | undergraduate | 34 | ||
| Liaoning | 15 | Master’s degree or above | 11 | ||
| Shandong | 8 |
| Emotion | S0 | S1 | S2 | S3 | S4 | S5 | S6 |
|---|---|---|---|---|---|---|---|
| Pleasant | 1.80 ± 0.71 | 4.17 ± 0.83 | 4.48 ± 0.65 | 2.28 ± 0.69 | 1.25 ± 0.44 | 1.86 ± 0.65 | 1.43 ± 0.50 |
| Enjoyment | 1.34 ± 0.48 | 2.83 ± 0.65 | 4.39 ± 0.53 | 3.14 ± 1.11 | 1.58 ± 0.81 | 1.78 ± 0.79 | 3.17 ± 1.38 |
| Relaxed | 3.38 ± 1.21 | 1.97 ± 0.89 | 4.17 ± 0.66 | 1.49 ± 0.58 | 1.64 ± 0.90 | 2.52 ± 0.80 | 1.40 ± 0.53 |
| Worry | 3.03 ± 1.32 | 2.92 ± 1.01 | 1.78 ± 0.77 | 3.02 ± 0.96 | 4.09 ± 0.99 | 4.08 ± 0.90 | 4.22 ± 0.80 |
| Nervous | 2.35 ± 1.00 | 2.21 ± 0.87 | 1.53 ± 0.74 | 2.04 ± 0.93 | 3.54 ± 0.97 | 2.67 ± 0.83 | 3.38 ± 0.93 |
| Pressure | 1.61 ± 0.73 | 1.61 ± 0.84 | 1.53 ± 0.85 | 1.62 ± 0.73 | 3.03 ± 0.89 | 1.76 ± 0.90 | 2.97 ± 1.04 |
| Effect Source | F-value | p-value | ) | Effect Size Interpretation |
|---|---|---|---|---|
| Main Effect: Scene (S1-S6) | 54.478 | <0.001 | 0.077 | Moderate Effect |
| Main Effect: Emotional Dimension | 165.348 | <0.001 | 0.173 | Large Effect |
| Interaction: Scene × Emotional Dimension | 141.411 | <0.001 | 0.518 | Large Effect |
Disclaimer/Publisher’s Note: The statements, opinions and data contained in all publications are solely those of the individual author(s) and contributor(s) and not of MDPI and/or the editor(s). MDPI and/or the editor(s) disclaim responsibility for any injury to people or property resulting from any ideas, methods, instructions or products referred to in the content. |
© 2025 by the authors. Licensee MDPI, Basel, Switzerland. This article is an open access article distributed under the terms and conditions of the Creative Commons Attribution (CC BY) license (http://creativecommons.org/licenses/by/4.0/).