Submitted:
23 April 2025
Posted:
24 April 2025
You are already at the latest version
Abstract
Keywords:
1. Introduction
2. Results
2.1. Preanalytical Validation
2.1.1. RNA Stability
2.1.2. Specimen Format
2.2. Analytical Validation
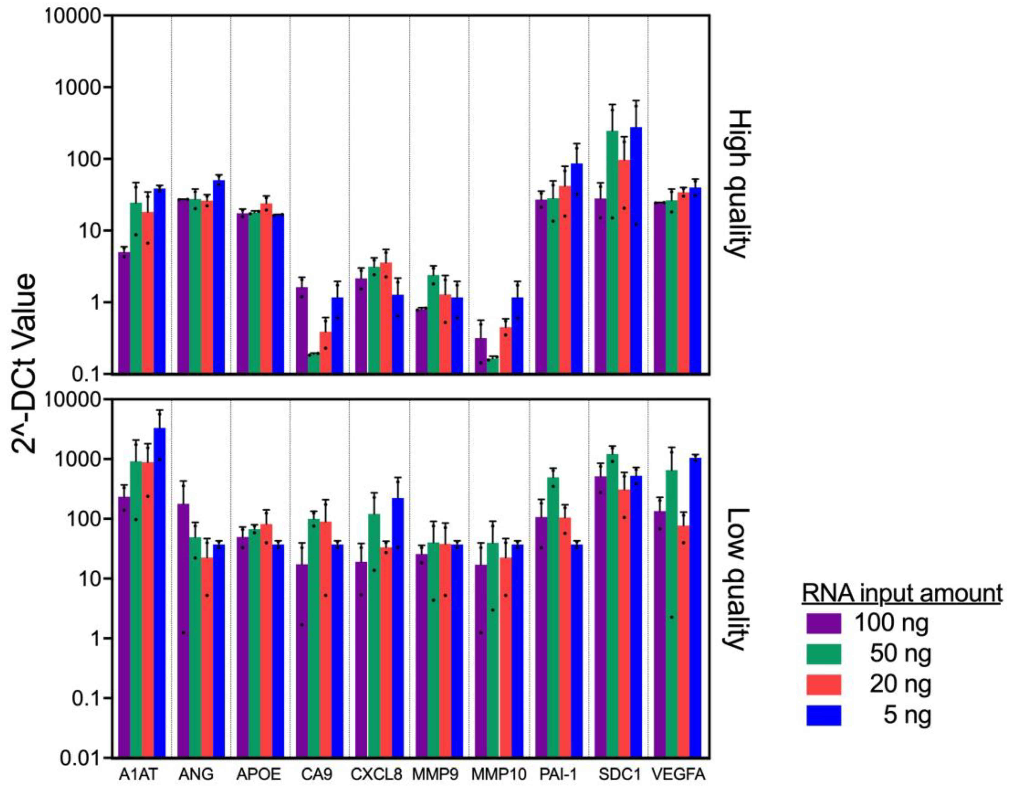
2.2.1. RNA Input
2.2.2. Tissue Quality
2.3. Reproducibility
3. Discussion
4. Materials and Methods
4.1. Study Design
4.2. Specimens
4.3. RNA Extraction
4.4. cDNA Synthesis
4.5. Primer and PCR array Design
4.6. Real-Time Quantitative PCR Array
4.7. Histologic Evaluation of H&E
4.8. Statistical Analysis
5. Conclusions
Supplementary Materials
Author Contributions
Funding
Institutional Review Board Statement
Informed Consent Statement
Data Availability Statement
Acknowledgments
Conflicts of Interest
Abbreviations
| BC | Bladder cancer |
| MIBC | muscle-invasive bladder cancer |
| NAC | neoadjuvant chemotherapy |
| FFPE | formalin-fixed paraffin-embedded |
| FF | fresh-frozen |
| OS | overall survival |
| RC | radical cystectomy |
| TCGA | The Cancer Genome Atlas |
| GEO | Gene Expression Omnibus |
| TURBT | Transurethral resection of bladder tumor |
| qPCR | Quantitative PCR |
| RT | room temperature |
References
- Jubber, I.; Ong, S.; Bukavina, L.; Black, P.C.; Comperat, E.; Kamat, A.M.; Kiemeney, L.; Lawrentschuk, N.; Lerner, S.P.; Meeks, J.J.; et al. Epidemiology of Bladder Cancer in 2023: A Systematic Review of Risk Factors. Eur Urol 2023, 84, 176–190. [Google Scholar] [CrossRef] [PubMed]
- Patel, V.G.; Oh, W.K.; Galsky, M.D. Treatment of muscle-invasive and advanced bladder cancer in 2020. CA Cancer J Clin 2020, 70, 404–423. [Google Scholar] [CrossRef] [PubMed]
- Grossman, H.B.; Natale, R.B.; Tangen, C.M.; Speights, V.O.; Vogelzang, N.J.; Trump, D.L.; deVere White, R.W.; Sarosdy, M.F.; Wood, D.P., Jr.; Raghavan, D.; et al. Neoadjuvant chemotherapy plus cystectomy compared with cystectomy alone for locally advanced bladder cancer. N Engl J Med 2003, 349, 859–866. [Google Scholar] [CrossRef] [PubMed]
- Neoadjuvant cisplatin, methotrexate, and vinblastine chemotherapy for muscle-invasive bladder cancer: a randomised controlled trial. International collaboration of trialists. Lancet 1999, 354, 533–540. [CrossRef]
- Yin, M.; Joshi, M.; Meijer, R.P.; Glantz, M.; Holder, S.; Harvey, H.A.; Kaag, M.; Fransen van de Putte, E.E.; Horenblas, S.; Drabick, J.J. Neoadjuvant Chemotherapy for Muscle-Invasive Bladder Cancer: A Systematic Review and Two-Step Meta-Analysis. Oncologist 2016, 21, 708–715. [Google Scholar] [CrossRef] [PubMed]
- Holzbeierlein, J.; Bixler, B.R.; Buckley, D.I.; Chang, S.S.; Holmes, R.S.; James, A.C.; Kirkby, E.; McKiernan, J.M.; Schuckman, A. Treatment of Non-Metastatic Muscle-Invasive Bladder Cancer: AUA/ASCO/SUO Guideline (2017; Amended 2020, 2024). J Urol 2024, 212, 3–10. [Google Scholar] [CrossRef] [PubMed]
- Advanced Bladder Cancer Meta-analysis, C. Neoadjuvant chemotherapy in invasive bladder cancer: update of a systematic review and meta-analysis of individual patient data advanced bladder cancer (ABC) meta-analysis collaboration. Eur Urol 2005, 48, 202–205. [Google Scholar] [CrossRef]
- Urquidi, V.; Goodison, S.; Cai, Y.; Sun, Y.; Rosser, C.J. A candidate molecular biomarker panel for the detection of bladder cancer. Cancer Epidemiol Biomarkers Prev 2012, 21, 2149–2158. [Google Scholar] [CrossRef] [PubMed]
- Yang, N.; Feng, S.; Shedden, K.; Xie, X.; Liu, Y.; Rosser, C.J.; Lubman, D.M.; Goodison, S. Urinary glycoprotein biomarker discovery for bladder cancer detection using LC/MS-MS and label-free quantification. Clin Cancer Res 2011, 17, 3349–3359. [Google Scholar] [CrossRef] [PubMed]
- Rosser, C.J.; Liu, L.; Sun, Y.; Villicana, P.; McCullers, M.; Porvasnik, S.; Young, P.R.; Parker, A.S.; Goodison, S. Bladder cancer-associated gene expression signatures identified by profiling of exfoliated urothelia. Cancer Epidemiol Biomarkers Prev 2009, 18, 444–453. [Google Scholar] [CrossRef] [PubMed]
- Kreunin, P.; Zhao, J.; Rosser, C.; Urquidi, V.; Lubman, D.M.; Goodison, S. Bladder cancer associated glycoprotein signatures revealed by urinary proteomic profiling. J Proteome Res 2007, 6, 2631–2639. [Google Scholar] [CrossRef] [PubMed]
- Zhang, G.; Gomes-Giacoia, E.; Dai, Y.; Lawton, A.; Miyake, M.; Furuya, H.; Goodison, S.; Rosser, C.J. Validation and clinicopathologic associations of a urine-based bladder cancer biomarker signature. Diagn Pathol 2014, 9, 200. [Google Scholar] [CrossRef] [PubMed]
- Chen, R.; Pagano, I.; Sun, Y.; Murakami, K.; Goodison, S.; Vairavan, R.; Tahsin, M.; Black, P.C.; Rosser, C.J.; Furuya, H. A Diagnostic Gene Expression Signature for Bladder Cancer Can Stratify Cases into Prescribed Molecular Subtypes and Predict Outcome. Diagnostics (Basel) 2022, 12. [Google Scholar] [CrossRef] [PubMed]
- Tripathi, N.; Fortuna, G.G.; Gebrael, G.; Dal, E.; Mathew Thomas, V.; Gupta, S.; Swami, U. Predictors of response to neoadjuvant therapy in urothelial cancer. Crit Rev Oncol Hematol 2024, 194, 104236. [Google Scholar] [CrossRef] [PubMed]
- Dimitrov, G.; Mangaldzhiev, R.; Slavov, C.; Popov, E. Contemporary Molecular Markers for Predicting Systemic Treatment Response in Urothelial Bladder Cancer: A Narrative Review. Cancers (Basel) 2024, 16. [Google Scholar] [CrossRef] [PubMed]
- Laviana, A.A.; Schiftan, E.G.; Mashni, J.W.; Large, M.C.; Kaimakliotis, H.Z.; Nolte, D.D.; Turek, J.J.; An, R.; Morgan, T.A.; Chang, S.S. Biodynamic prediction of neoadjuvant chemotherapy response: Results from a prospective multicenter study of predictive accuracy among muscle-invasive bladder cancer patients. Urol Oncol 2023, 41, 295 e299–295 e217. [Google Scholar] [CrossRef] [PubMed]
- Murphy, N.; Shih, A.J.; Shah, P.; Yaskiv, O.; Khalili, H.; Liew, A.; Lee, A.T.; Zhu, X.H. Predictive molecular biomarkers for determining neoadjuvant chemosensitivity in muscle invasive bladder cancer. Oncotarget 2022, 13, 1188–1200. [Google Scholar] [CrossRef] [PubMed]
- (CLSI), C.a.L.S.I. Collection, Transport, Preparation, and Storage of Specimens for Molecular Methods; Approved Guideline.; Clinical and Laboratory Standards Institute: 2005.
- Guo, Y.; Wu, J.; Zhao, S.; Ye, F.; Su, Y.; Clark, T.; Sheng, Q.; Lehmann, B.; Shu, X.O.; Cai, Q. RNA Sequencing of Formalin-Fixed, Paraffin-Embedded Specimens for Gene Expression Quantification and Data Mining. Int J Genomics 2016, 2016, 9837310. [Google Scholar] [CrossRef] [PubMed]
- CAP Guidelines. Available online: https://www.cap.org/protocols-and-guidelines/cap-guidelines (accessed on December 3).
- Kaczmarek, K.; Malkiewicz, B.; Skonieczna-Zydecka, K.; Leminski, A. Influence of Neoadjuvant Chemotherapy on Survival Outcomes of Radical Cystectomy in Pathologically Proven Positive and Negative Lymph Nodes. Cancers (Basel) 2023, 15. [Google Scholar] [CrossRef]
- Schmittgen, T.D.; Livak, K.J. Analyzing real-time PCR data by the comparative C(T) method. Nat Protoc 2008, 3, 1101–1108. [Google Scholar] [CrossRef] [PubMed]





| Day of RNA extraction | Storage temperature (°C) | High % viable cells | Low % viable cells | ||
| RNA concentration (ng/μl) |
DV200(%) | RNA concentration (ng/ μl) | DV200(%) | ||
| 1 | -80 | 134 | 10 | 81 | 27 |
| -20 | 185 | 42 | 43 | 23 | |
| 4 | 235 | 42 | 57 | 12 | |
| RT | 219 | 45 | 22 | 10 | |
| 7 | -80 | 303 | 38 | 71 | 19 |
| -20 | 208 | 40 | 74 | 23 | |
| 4 | 270.4 | 35 | 85 | 30 | |
| RT | 274 | 43 | 72 | 30 | |
| 14 | -80 | 268 | 40 | 58 | 24 |
| -20 | 238 | 40 | 68 | 24 | |
| 4 | 256 | 41 | 48 | 25 | |
| RT | 215 | 41 | 89 | 33 | |
Disclaimer/Publisher’s Note: The statements, opinions and data contained in all publications are solely those of the individual author(s) and contributor(s) and not of MDPI and/or the editor(s). MDPI and/or the editor(s) disclaim responsibility for any injury to people or property resulting from any ideas, methods, instructions or products referred to in the content. |
© 2025 by the authors. Licensee MDPI, Basel, Switzerland. This article is an open access article distributed under the terms and conditions of the Creative Commons Attribution (CC BY) license (http://creativecommons.org/licenses/by/4.0/).