Preprint
Article

This version is not peer-reviewed.

Balancing Revenue Streams in Online Video Platforms: The Impact of Original Content Provision on Business Model Selection

A peer-reviewed version of this preprint was published in:
Journal of Theoretical and Applied Electronic Commerce Research 2025, 20(2), 98. https://doi.org/10.3390/jtaer20020098

Submitted:

17 April 2025

Posted:

18 April 2025

You are already at the latest version

Abstract
This research investigates the strategic decision related to original content provision and business model selection within the rapidly evolving online video industry. We develop a two-sided market model involving a video platform, users, and advertisers to analyze how the platform balances subscription and advertising revenue while offering original content. The study finds that the amount of original content provided directly influences market equilibrium, affecting the platform’s choice between a purely subscription-based model or a mixed model. The cost of original content production plays a critical role in this decision-making process. High production costs may lead the platform to favor a mixed model, offering less original content to generate both subscription and ad revenue. Lower costs, however, encourage a subscription model with more original content to boost subscribing revenue. Additionally, factors such as network externalities between users and advertisers also impact the business model choice. Notably, the model shows that allowing free users access to a portion of original content may help platforms expand both subscription and advertising revenue without needing to choose between them.
Keywords: 
;  ;  ;  ;  

1. Introduction

Online video platforms, leveraging streaming technologies, provide real-time audio and video content services via the Internet. In recent years, the widespread use of high-speed Internet and the convenient Internet access have enabled users to easily obtain a variety of high-quality video content, and the online video industry has boomed dramatically. According to a report by Grand View Research, the global video streaming market size was valued at USD 89.03 billion in 2022, and is expected to expand at a compound annual growth rate (CAGR) of 21.5% from 2023 and 2030. The rapid expansion of this market has intensified competition between platforms. Consequently, these platforms face critical challenge in formulating effective strategies to expand and maintain their user groups.
Users typically base their choice of video platforms on the quality and variety of video content [1]. Thus, in order to stay attractive to users, online video platforms strive to provide as much high-quality content as possible. Their thirst for content have driven up the content cost [2], leading to substantial fees for procuring third-party licensed videos. In response, platforms began to prioritize the development of their own original content to reduce the dependence on third-party content. Although investing in the production of original content may entail high initial costs, it is more cost-effective than third-party licensed content in the long run. On the one hand, platforms avoid paying additional copyright fees for original content. Once the original content is produced, it can be indefinitely streamed on the platform, avoiding issues such as removal off shelves or bidding wars triggered by copyright expiration. On the other hand, original content enhances user stickiness. As these contents are exclusively provided by the platform and users cannot access them from other platforms, it is necessary to continuously subscribe to the platform to track these contents.
Considering these factors, original content has become a major tool for online video platforms to promote user subscriptions [3]. For example, as early as 2013, Netflix made a substantial investment of $100 million to produce its first original series “House of Cards”, and achieved a growth of over 2 million subscribers in the United States and 1 million subscribers in other regions within the first three months of its premiere [4]. Since then, original content has become the focus of Netflix. As of 2018, Netflix has produced over 1,000 original titles. In the third quarter of 2022, thanks to the releases of original series “Stranger Things” and “Dahmer: Monster”, Netflix added more than 2.4 million subscribers, successfully reversing the trend of subscriber decline in the previous two quarters [5]. Netflix’s remarkable success with original content has drawn industry-wide attention, and other platforms have begun to increase their investment in original content to build their own content libraries. This includes iQIYI, China’s largest online video platform. Back in 2015, iQIYI announced plans to allocate half of its budget on new original content production with the aim of increasing its number of paying users [6]. By 2018, iQIYI’s investment in content development had reached RMB 21.1 billion (USD 3.13 billion), roughly equal to the total content expenditures of China’s six major broadcasting companies, and boasted over 250 original productions. In September 2022, the number of iQIYI’s subscribers exceeded 100 million [7]. This significant growth is largely attributable to its superior capability in producing original content [8].
Online video platforms’ original content is regarded as a model of high-quality dramas, characterized by high production values, edgy storytelling and narrative complexity [9]. It takes a lot of money for a platform in creating such original content, so finding the appropriate source of revenue to cover these costs is essential. The real online video market shows different business models to address the profitability problem. Typically, the platform attracts user to participate by providing video content, and these users also serve as potential customers for advertisers. Advertisers hope to reach these users to promote their products and services. This provides the platform with the possibility to profit from both the user and advertiser sides. Take iQIYI as an example, it generates both advertising and subscription revenue by offering users free and paid options. In the free basic service, users can watch part of the video content, but the viewing experience is interrupted by non-skippable advertisements. If users pay to upgrade to the premium service, they can enjoy ad-free viewing and access to original content. This business model adopted by iQIYI is often referred to as a mixed model. However, it is worth noting that not all platforms choose to profit from both the user and advertiser markets. Some platforms, such as Netflix and Amazon Prime, choose to implement a subscription model where users pay a fee for access to the entire content catalog on the platform. The uninterrupted service offered by these platforms is similar to the upgraded service with improved quality in the mixed model.
Indeed, although original content is regarded as a primary driver of user subscription [10], most online video platforms currently invest far more in producing original content than the profits they earned, leading platforms to rely on debt financing to bridge the cash flow gap. As a result, platforms urgently need to find strategies to increase profits to compensate for the rising costs of investing in original content. When platforms increase investment in original content, one feasible strategy is to expand revenue by increasing user subscription fees. However, price increases may discourage users form paying, potentially leading to a loss of subscribed users. In this scenario, platforms could leverage their large user base and attract advertiser participation through network externalities, adding advertising revenue as a source of profit to balance costs. Nevertheless, not all platforms employ this strategy, and some platforms strategically forego advertising revenue. The reasons behind such decisions call for further in-depth research.
In this context, our study aims to provide guideline on how online video platforms decide on strategies for providing original content and how to choose the most appropriate business model. Specifically, we focus on the following questions. First, how should a platform determine the amount of original content to offer, and price its services and advertising? Second, how do a platform choose between a purely subscription-based business model and a mixed model to maximize its profits? Third, how do factors such as network externalities affect a platform’s decisions regarding its business model, content investment, and pricing?
To solve these questions, we construct a two-sided market model consisting of an online video platform, users and advertisers. We find that the platform faces an inherent trade-off when deciding on a business model. On the one hand, increasing investment in original content can attract more users to subscribe, thereby raising subscription revenue, but this may lead to a decrease in the number of free users, consequently reducing advertising revenue. On the other hand, the platform could decrease the supply of original content, leading more users to choose the free service to increase advertising revenue, but this may result in a decrease in the number of subscribers and a loss of subscription revenue. In this dynamic change, when the amount of original content exceeds a certain threshold, the platform may choose to stop offering the free service, thereby giving up advertising revenue. Based on this finding, we find that the business model chosen by the platform in equilibrium actually depends on the marginal production cost of original content. When the production cost of original content is below a certain threshold, the platform tends to provide a large amount of original content to choose the subscription model. However, when this production cost is high, the platform hopes to reduce the amount of original content and shift towards a mixed model. In addition to the cost factor, our results also reveal that two other key factors, namely the revenue that users bring to advertisers and the value that original content creates for users also affect the business model chosen by the platform.
This study makes several key contributions. First, we enrich the theory of two-sided markets. Previous studies on two-sided markets mainly focused on how network externalities impact platform pricing strategies, specifically how platforms develop pricing structures that subsidize users one side while charging the other side [11,12,13]. However, in contrast to traditional two-sided platforms, network externalities between users and advertisers on online video platforms show opposite directions. This special form of network externality implies that platforms cannot implement cross-subsidization strategies but must balance the interaction between users and advertisers. Hence, in addition to pricing decisions, online video platforms also need to decide on their business models. Our research explores in detail the impact of the opposite network externalities between users and advertisers on platform pricing strategies and business models. This attempt deepens and expands the application of two-sided market theory in the specific field of video platforms. Second, we further analyze the influence of network externalities on content investment strategies of video platforms. Weeds [14] and Wu and Chiu [15] propose that developing original content is an essential means for video platforms to compete for users. On the basis of them, this study examines platforms’ content development strategies in the context of a two-sided market. We consider content investment as a non-pricing tool and systematically analyze its interaction with platforms’ pricing strategies, providing a theoretical basis for platforms on how to strategically use both the pricing and non-pricing tools to achieve optimal profits. Finally, this study providers new insights into the theory of platform business model choice. In this paper, for the first time, we analyze the connection between original content investment strategies and business models, and find that different amounts of original content provided by platforms lead to different business models. Based on this, we deeply explore how market factors such as content value, investment costs, and advertising benefits shape the investment strategy of platforms, which in turn affecting their choice of business model. This finding provides guidance for platforms on how to adjust and optimize their business models to accommodate different content strategies.
The remainder of this paper is organized as follows. Section 2 reviews the relevant literature and highlight the differences between our work and previous studies. The setup of our model is introduced in Section 3, and then in Section 4 we analyze the model and present the results. The baseline model is extended in Section 5. Finally, in Section 6, we summarize the main findings of the study, and describe managerial implications as well as the limitations of our research.

2. Literature Review

The online video market is characterized by platforms offering a variety of videos to attract viewers, while advertisers seek to promote their products and services to these viewers. In this sense, the online video market is a typical two-sided market. In two-sided markets, the platform acts as an intermediary to facilitate interaction between different user groups, where the benefits obtained by one group of users from joining the platform depend on the size of the other group of users [16]. This phenomenon, known as network externality, is a unique feature that distinguishes two-sided markets from traditional product markets [17]. The seminal studies on two-sided markets have emphasized the impact of network externalities between two user groups on platform pricing strategies [12,13,16,18,19,20], providing a theoretical foundation for analyzing these markets.
Unlike traditional two-sided markets, the two user groups in the online video market exhibit opposite network externalities. Empirical studies indicate that users on video platforms are usually not interested in advertisements, and reducing the number of advertisements is helpful for user growth [21]. On the contrary, the demand of advertisers shows a significant positive correlation with platforms’ user scale [22]. Given the opposite network externalities between users and advertisers, a core issue faced by online video platforms is how to adjust the supply of content and advertisements to balance these two user groups. Anderson and Coate [23] analyze the relationship between the advertising supply of media platforms and the socially optimal level, and give solutions to market failure in the media industry. Peitz and Valletti [24] find that advertising intensity and content of programming are also related to the charging method in the media market. Advertising intensity is higher in the free market, and platforms under the paid model always maximally differentiate their content. Godes et al. [25] study the impact of market competition on content pricing and find that media platforms may charge higher content prices in a duopoly than in a monopoly. Furthermore, many studies in the fields of marketing and operation management also investigate content pricing and advertising provision strategies in media markets [26,27,28,29,30]. However, most of the above literature assumes that the platform provides the same content and advertisements to all users. In contrast, this study examines the increasingly popular practice of segmenting the user market through differentiated services in the media market, focusing on content and advertising strategies under different service modes of platforms.
The inherent heterogeneity among users in the online video market forms the basis for the platform to implement differentiated service strategies. Prasad et al. [31] conduct the first formal study on this phenomenon. In their research, there are two types of viewers in the market, who are willing to pay a higher price and view fewer advertisements, or pay a lower price but view more advertisements. By providing these two options to viewers, platforms can generate both advertising and subscription revenues. Prasad et al. confirm that offering viewers differentiated price options is usually better than a pure advertiser-supported strategy or a pure pay per-view strategy. Fan et al. [32] explore the optimal pricing and advertising strategies for media providers who simultaneously distribute content through online and traditional channels. In their model, the traditional channel is always free and ad-sponsored, while the online channel could adopt selling, ad-sponsored or both strategies. They assume that consumers are heterogeneous in their sensitivities to usage costs. Their main conclusion is that media providers should use the advertising strategy when online access cost is relatively high, and sell programs online when this cost is low. However, it is always better for them to offer pricing and advertising options to consumers. Zennyo [33] studies whether it is necessary for platforms to introduce differentiated services, the difference being that he assumes that the cost of implementing such a strategy is non-negligible. Specifically, he examines two ad-supported platforms deciding whether to introduce an ad-free premium service in addition to the basic service with annoying advertisements. He find that the equilibrium business model choice depends on the fixed cost for introducing a premium service. When the fixed cost is low, adopting the freemium model is a dominant strategy for each platform. Conversely, when the cost is high, neither platform adopts the freemium model. If this fixed cost is at an intermediate level, asymmetric equilibrium where only one platform introduces the premium service may arise.
Among this stream of literature, the most relevant studies related to our research include Lin [34] and Carroni and Paolini [1]. Lin [34] analyzes the practice of differentiating ad allocations to segment consumers on media platforms. He mainly studies how the platform distributes ads across different consumer types and implement price discrimination in both consumer and advertiser markets. Our study is somewhat complementary to his research, as we explore the possibility of platforms differentiating users by providing different content. Carroni and Paolini [1] focus on two service strategies of streaming platforms, namely free basic services and paid premium services. In their research, the platform needs to decide on the quality upgrade level for paid services and consider whether to offer both services simultaneously, so as to choose among the free model, the subscription model, and the mixed model. They believe that users are annoyed by advertisements differently, and thus choose between the free basic service with ads and the ad-free premium service. In their model, users always generate revenue for the platform, as free users bring advertising revenue while paying users create subscription revenue. This leads to the scale of the user market becoming the determining factor for the platform’s business model choice. However, our research differs from Carroni and Paolini [1] in that we consider the heterogeneity in users’ valuation of platform content. In addition to choosing between free and premium services, users can also opt out of using the platform. In this context, the scale of the user market no longer has an important impact on the platform’s business model, and when making decisions, the platform needs to evaluate the potential losses caused by users who exit the market. In addition, our model takes into account a more generalized cost function faced by the platform when improving the quality level of premium services, and we provide a detailed analysis of how this cost influences the optimization decisions of the platform.
This study also adds to the literature on content provision of media platforms. For example, Chiang and Jhang-Li [2] examine two choices of digital content distribution for premium content providers: cable TV providers and streaming platforms. They discuss whether the content owner should keep the content exclusive throughout the contract period or redistribute the titles to the other platform after a certain delay. Their research reveals how content values would change the choice of redistributor and the length of windowing delay between the two platforms. Amaldoss et al. [35] investigate media platforms’ content provision strategies and their implications for platforms’ profits and content suppliers’ profits, taking into account the cross-side network externalities of a multisided media market and the nature of competition in the content supplier market.
In this category of literature, most relevant to our research are studies on platform content development, typically Weeds [14] and Wu and Chiu [15]. Weeds [14] considers two competing distributors in a pay TV industry, where one of the distributors has the ability to produce premium content and decide whether to license its premium content to a competitor in order to determine between exclusive and non-exclusive distribution. He finds that non-exclusive distribution is always dominant in a static environment. But in a dynamic environment with switching costs, exclusive distribution confers a market share advantage, benefiting the operator in the future, thereby becoming an effective strategy in the long run. Under a similar setting, Wu and Chiu [15] study the impact of consumer multi-homing behavior on whether media platforms should develop new content itself and the choice of exclusivity strategy for such content. They find that in the absence of multi-homing, developing exclusive new content is an efficient competitive strategy for platforms but may worsen social welfare. However, in the presence of multi-homing, developing exclusive content is a dominant strategy that benefits platforms, consumers and society.
Our study differs from the above two studies in the following two aspects. First, the studies by Weeds [14] and Wu and Chiu [15] only focus on the interaction between users and platforms, exploring how platform content development and distribution strategies affect user choice and platform profit. However, we construct a model where a media platform interact with two sides: users and advertisers, and explore how network externalities between users and advertisers influence the platform’s content development and advertising strategies. Second, Weeds [14] and Wu and Chiu [15] focus on the paid busines model of media platforms, while our study does not pre-assume how a platform earns profits, but making the source of profits as an endogenous outcome of the model. We consider that platforms offer users the choice of a free service with ads and an ad-free subscription service. Whether these two market segments exist at the same time depends on the content developed by the platform. We comprehensively analyze and compare the optimal amount of newly developed content and platform profits under different business models, focusing on how the platform selects the best business model according to the content development strategies.
Overall, while many previous studies have focused on how online video platforms segment users by offering various subscription options, most studies have failed to consider how platforms strategically decide on the quality differences between different services, nor have they conducted in-depth analysis of the impact of the cost of implementing differentiated services on platform strategies. In our research, the formation of free and paid user market segments is driven by platforms’ decisions on how much original content to develop. Our research aims to reveal the connections between network externalities, original content and business models, providing a new framework to explain the various business models manifested in the online video market. To the best of our knowledge, no scholars so far have explored the original content investment strategy of online video platforms in the context of two-sided markets, nor have they explained why, in dealing with the challenge of covering the production costs of original content, some platforms choose an ad-free subscription model while others adopt a strategy of introducing advertising. Our research attempts to fill this gap and provide theoretical reference for the strategic choice of online video platforms.

3. Model

In this study, a monopolistic online video platform is considered to be a two-sided platform connecting users and advertisers. The platform caters to its users by providing video content, fulfilling their demands for information and entertainment, while simultaneously offering advertising space to advertisers, allowing them to promote their products or services to platform users. Next, we will take a detailed look at these three market participants.

3.1. The Platform

The online video platform provides users with two service options, the free basic service and the paid premium service. In the free case, users can only watch the existing content of the platform and are frequently interrupted by advertisements during the viewing process. These advertisements create distractions for users, thereby reducing their utility. In the paying case, users pay a subscription fee in exchange for an upgraded and ad-free viewing experience. To incentivize more users to pay for subscriptions, the video platform also invest in developing original content to increase the value offered to subscribers.
The video platform’s revenue comes from two sources: advertising fees paid by advertisers and subscription fees paid by users. Simultaneously, when investing in the production of original content, the platform also incurs certain development costs [9]. Higher levels of original content generally lead to increased development costs, consistent with the view in previous studies [17,36,37]. Thus we assume that the total development cost of the platform is convex and increasing in the amount of original content x , given as c x ^ 2 / 2 . The parameter c represents the marginal development cost of the original content. Then, the profit of the video platform can be expressed as:
π = n s p s + n a p a 1 2 c x 2
Herein, p s and p a denote the subscription and advertising fees charged by the platform respectively. n s represents the number of users subscribing to the premium service, and n a represents the number of advertisers participating on the platform, that is, the platform’s advertising intensity. In this setting, the online video platform faces two key decisions: (1) how much original content should it develop? and (2) how should it determine the subscription price charged to users as well as the advertising intensity? In its attempt to maximize profit, the platform could pursue one of the following business models:
Subscription Model. The platform does not provide free services, and users must pay a subscription price to watch all the content on the platform. In this case, due to the absence of free users viewing advertisements, advertisers will not place ads on the platform, implying n a = 0 and p s > 0 . The platform choose to earn all its profits from users when pursing this model.
Mixed model. The platform provides both free services and subscription services to users. Users choose whether to participate in the platform, and if so, make a choice between the free and paid services, suggesting 0 < n a < 1 and p s > 0 . When pursuing this model, the platform earns profits from both the sides of the market.

3.2. Users

Users join the platform to enjoy its content, and make a choice between free basic services and paid premium services based on their utility. The utility derived by users from the free and subscription services is respectively given by:
u f = θ v γ n a
u s = θ 1 + k v + β x p s
where v > 0 represents the intrinsic value of free users from accessing the platform’s existing content, which is a comprehensive indicator composed of several factors such as content quality and diversity. When users pay a subscription fee p s to upgrade to premium service, they can enjoy higher intrinsic value given by 1 + k v , where k represents the improvement level of the intrinsic value enjoyed by subscribed users. Specifically, subscribed users can watch smoother and clearer videos with superior audio quality, therefore experiencing a higher intrinsic value [38]. θ represents users’ evaluation on the intrinsic value of the platform’s existing content. To characterize the heterogeneity of users’ evaluation, we assume θ to be uniformly distributed in the interval 0,1 . As advertisements typically interrupt users’ watching process, and thus have negative effects on users. The nuisance cost caused by each unit of advertisement to users is measured by γ . Since users must watch advertisements when choosing a free service, their utility is reduced by γ n a when the advertising intensity of the platform is n a . However, if users subscribe to the premium service, they can skip the advertisements, thus avoiding a loss of utility.
The platform is considered to have sufficient resources to develop new original content. In general, online video platforms possess extensive user behavior data, which can be leveraged to summarize user preferences and create original content based on precise analysis of these preferences to better meet user needs, greatly reducing the trial and error cost of these original content. Therefore, original content is often of high value [9]. Based on this fact, we believe that users share the same value evaluation for original content and assume it to be β . When the platform invests in producing x original content, it brings a utility increase of β x for subscribed users.
Recall that users’ evaluation of the intrinsic value θ is uniformly distributed in the interval 0,1 . There exist θ f and θ s , such that users with the evaluation θ f   0 < θ f < 1 are indifferent between accessing to the platform for free and not joining the platform, and users with the evaluation θ s   θ f < θ s < 1 are indifferent between subscribing to the premium service and choosing the free service. According to users’ utility function, θ f and θ s will satisfy the following conditions: θ f v γ n a = 0 and θ s 1 + k v + β x p s = θ f v γ n a . Then we can obtain that:
θ f = γ n a v
θ s = p s β x γ n a k v
The distribution of users is represented in Figure 1. It can be observed that users in the interval θ s , 1 will pay the platform to skip advertisements and subscribe to the original video content, users in the interval θ f , θ s will choose the free service and watch advertisements, while other users in the interval l 0 , θ f will not join the platform. Assuming that there is a unitary mass of users, then the number of subscribed and free users on the platform can be expressed as:
n s = 1 θ s = 1 p s β x γ n a k v
n f = θ s θ f = p s β x γ n a k v γ n a v

3.3. Advertisers

Advertisers seek to attract potential buyers to their products or services by placing advertisements on the video platform. The utility of advertisers is expressed as:
u a = α n f p a η
where p a represents the lump-sum advertising fee charged by the platform. Advertisers obtain a marginal revenue α from each users who choose to watch the advertisements. Since only free users watch advertisements, advertisers can only reach n f potential buyers through the platform and obtain a potential revenue of α n f . Advertisers also incur a fixed cost η in the process of designing and producing advertisements. We assume that advertisers are heterogeneous with respect to η , where η satisfies a uniform distribution over the interval 0,1 . Consistent with previous research [28], we assume that each advertiser can only place one advertisement on the platform. An advertiser decides to place an advertisement on the platform only when the net utility is non-negative, u a 0 . Therefore, all advertisers with fixed costs η α n f p a will pay p a to join the platform, and the demand function for advertising space is α n f p a . We refer to the number of advertisements displayed on the platform as the advertising intensity, and set it as a decision variable of the platform. When the platform decides to provide n a advertising space to advertisers, the fee clearing the market, that is, the advertising fee that makes the demand for advertising space equal to its supply, can be expressed as:
p a = α n f n a = α p s β x γ n a k v γ n a v n a
The decision process of our model is as follows. In the first stage, the platform decides how much original content x to develop. In the second stage, the platform simultaneously sets the advertising intensity n a and the subscription price p s . Finally, in the third stage, after observing the amount of original content and prices of the platform, advertisers decide whether to place advertisements on the platform, and users decide whether to join the platform and then whether to subscribe to the premium service.

4. Results

In this section, we use backward induction to solve the model. We first focus on the optimal subscription price and advertising intensity in the second stage. Then, based on these expected results, we analyze how the platform decides its investment strategy for original content and selects the appropriate business model to maximize profits in the first stage.

4.1. Stage 2: Subscription Price and Advertising Intensity

Let us assume that in the first stage the amount of original content developed by the platform is x . Now it decides how to maximize profits by choosing the advertising intensity n a and the subscription price p s . In particular, by substituting equations (2), (3) and (4) into the platform’s profit function (1), we can express the profit maximization problem as:
max p s , n a π = n s p s + n a p a 1 2 c x 2 = p s 1 p s β x γ n a k v + n a α p s β x γ n a k v γ n a v n a 1 2 c x 2
s . t . 0 n a 1
s . t . γ n a v p s β x γ n a k v 1
s . t . α p s β x γ n a k v γ n a v n a 0
In the above maximization problem, the platform’s profit takes into account the money raised by subscriptions as well as the advertising revenues, minus the costs incurred in developing original content. The advertising intensity n a and the subscription price p s are the platform’s decision variables at this stage. The constraints on these two decision variables are necessary for the platform to have both non-empty sets of paid users and free users. Intuitively, the first constraint ensures that the platform’s advertising intensity must be non-negative and cannot exceed the maximum demand of advertisers. The second constraint is to ensure that both free and paid user segments can be formed. It can be seen from this constraint that if the subscription price is too high, so that the condition p s β x γ n a k v > 1 is satisfied, users will only pay for the premium service when their evaluation θ > 1 . However, the maximum value of θ does not exceed 1, so there will be no paying users. When the subscription price is too low and meets the condition p s β x γ n a k v < γ n a v , the indifference points mentioned above will satisfy θ s < θ f . As a result, the utility of users choosing subscribe to the premium service is always higher than the utility of choosing free service, so all users will choose paid subscriptions and there will be no free users. Finally, the third constraint ensures that the advertising fees charged by the platform are always positive, otherwise introducing advertisements will not bring any revenue to the platform. For the convenience of subsequent analysis, we believe that the conditions stated in Assumption 1 hold throughout this paper.
Assumption 1. 
2 < γ < α , v < 4 α γ / α + γ 4 . Moreover, 2 v + α γ k α α γ > 0 .
Firstly, we assume that the nuisance cost caused by advertisements to users, γ , is lower than the marginal revenue that users create for advertisers, α . If not, the negative impact of advertisements will exceed the value it generates, and the platform will not be able to realize profits by introducing advertisements. And in order to be closer to the actual situation, we assume that the existing video content on the platform can only create limited intrinsic value for users. This implies that the platform cannot attract all user to participate solely based on existing content, and users need to weigh the intrinsic value provided by the platform and the nuisance cost caused by advertisements to make a participation decision. To focus on the existence of interior equilibrium results, we also assume that 2 v + α γ k α α γ > 0 . Now, we can solve the profit maximization problem and summarize the results in the following lemma.
Lemma 1. 
Let x ¯ = v α γ k v + k α γ + α γ β α + γ v + α γ . The optimal advertising intensity and subscription price of the online video platform have the following two cases:
  • If x > x ¯ , then n a = 0 , the platform only provides the paid premium service and opts for a purely subscription-based model. At this time, the platform sets the optimal subscription price as p ^ s * = β x + k v + v 2 .
  • If x < x ¯ , the platforms offers both the free service and the premium service. In this case, the platform adopts a mixed model. The subscription price is p s * and the advertising intensity is n a * , where n a * = α + γ k v α γ β x 4 k v + α γ α + γ 2 , p s * = β 2 k v + 2 k α γ + α γ α 2 x + 2 k v k v + k α γ + α γ 4 k v + α γ α + γ 2 , and p a * = β α + γ v + α γ x v α γ α γ + k v + k α γ 4 k v v + α γ v α + γ 2 .
Proof of Lemma 1. 
See Appendix A. □
Lemma 1 elaborates the platform’s optimal strategy for advertising intensity and subscription price in the second stage. It can be seen that the amount of original content provided by the platform in the first stage endogenously determines the business model it adopts. When there is less original content available, the platform tends to choose a mixed model, obtaining both advertising revenue and subscription revenue. On the contrary, when the amount of original content is large enough, the platform is more inclined to abandon advertising and rely entirely on user subscriptions for profit. The reason behind this that, as the amount of original content increases, the platform is able to create higher added value for subscribers, which greatly enhances users’ willingness to pay for subscription. As a result, more and more free users will switch to the premium service under the drive of original content. As the number of free users declines, the revenue of advertisers gradually decreases, causing more and more advertisers to leave the market because they cannot break even. The platform has to lower the advertising prices to maintain advertiser participation. In the extreme case, when the amount of original content increases to a certain threshold x ¯ , the advertising fee drops to 0. At this point, the platform will lose the incentive to offer the free service, and thus transition to a purely subscription-based model.
Lemma 2. 
Let x _ = α v + γ v 4 v 4 α γ k + α γ 2 β α γ , where x _ < x ¯ . If the advertising intensity threshold L = α v + γ v 4 v 4 α γ k + α γ 2 > 0 , when x < x _ , although the platform still adopts a mixed mode, it always maintains the maximum advertising intensity n a = 1 , and sets the subscription price as p ~ s * = β x + k v + α + γ 2 . The advertising price becomes p ~ a * = α α γ + k α v 2 α γ 2 v k α β x 2 k v .
Proof of Lemma 2. 
See Appendix A. □
As mentioned in Lemma 1, when the amount of original content provided by the platform is limited, a mixed business model is more favorable. Under this model, the platform need to make a trade-off between subscription revenue and advertising revenue. As the amount of original content continues to decline, the number of subscription users and the subscription price decrease correspondingly, leading to a reduction in platform subscription revenue. Instead, the number of free users rises, which in turn helps the platform to attract more advertisers. Hence, the platform will consider increasing advertising intensity to expand advertising revenue. We define L = α v + γ v 4 α γ 4 v k + α γ 2 < 0 as the advertising intensity threshold, and find that under the condition of L > 0 , when the amount of original content decreases to x _ , the demand of advertisers will reach its maximum. Although with further reduction of original content, the scale of free users continues to expand, and the revenue brought to advertisers continues to rise, but the demand of advertisers cannot be further expanded. In this case, the platform will not continue to increase the supply of advertising space, but will keep the advertising intensity equal to the maximum demand of advertisers, and raise the advertising fee to p ~ a * to achieve profit growth.
However, it is not always the case that advertisers’ demand reaches its maximum. When the advertising intensity threshold L is lower than 0, even if the amount of original content is reduced to 0, the demand of advertisers cannot achieve the maximum. Specifically, the markets that meet the above condition can be summarized into the following two types: (1) v < 2 α γ / α 2 , or (2) v > 2 α γ / α 2 , but k > α γ 2 / 4 α γ + 4 v α v γ v . In the first type of market, the intrinsic value provided by the platform’s existing video content to users is relatively low, leading to fewer users choosing free services of the platform. And in the second type, although the existing video content provides higher intrinsic value to free users, the intrinsic value enjoyed by subscription users is significantly enhanced compared to free users. Therefore, regardless of original content, the enhancement of intrinsic value can drive enough users to switch from free services to paid subscriptions, resulting in a limited number of users choosing free services. In both situations, due to the smaller size of free users, advertisers are not able to earn sufficient revenue from participating in the platform, making advertisers with high fixed costs unable to break even and consequently exist the market. Only in the market where v > 2 α γ / α 2 and k < α γ 2 / 4 α γ + 4 v α v γ v , the platform is allowed to generate high enough advertising benefits for advertisers through a sufficient number of free users to attract the participation of all advertisers. Since L = α v + γ v 4 v 4 α γ k + α γ 2 has an important impact on the platform’s advertising intensity decision, we define L as the advertising intensity threshold in the subsequent analysis.
Combining the conclusion in Lemma 1, we find that when the platform adopts the mixed model, it can choose to implement two strategies. In the first strategy, the platform provides relatively more original content to gain higher subscription revenue. At this time, users are more inclined to subscribe to premium services, and fewer users choose free services, so the platform can only achieve a moderate level of advertising intensity and correspondingly obtain lower advertising revenue. In contrast, in the second strategy, the platform is only willing to provide limited original content, placing greater emphasis on advertising revenue. Due to the fewer number of paid users, the platform gets lower subscription revenue. However, because of the huge size of free users, the platform can achieve maximum advertising intensity and further increase advertising revenue by charging higher advertising fees than the first strategy (i.e., p ~ a * > p a * ). It is worth noting that the second strategy is only available when the advertising intensity threshold L is positive. Otherwise, when L is negative, the platform only has the option of moderate advertising intensity strategy under the mixed model.

4.2. Stage 1: Original Content

In the first stage, the platform decides on how much original content to provide in order to maximize the total profit. Recall that the platform’s profit is expressed as the sum of subscription revenue and advertising revenue minus the production cost of original content, where the form of cost function is c x 2 / 2 . To focus on the interior solution, we assume that the marginal production cost of original content c satisfy the condition that c > c 0 , where c 0 = α β 2 v + α γ / v α γ k v + k α γ + α γ . Based on this assumption, we can derive the optimal amount of original content under different models, and express the result in the following lemma.
Lemma 3. 
The optimal strategy for providing original content has the following three cases:
  • Under a subscription model, the optimal amount of original content is x ^ * = x ¯ .
  • Under a mixed model, if the platform implements the maximum advertising intensity strategy, the optimal amount of original content is x ~ * = β k v α + γ 2 c k v β 2 .
  • Under a mixed model, if the platform implements the moderate advertising intensity strategy, the optimal amount of original content is x * = v β 2 k v + α γ α α γ c 4 k v v + α γ v α + γ 2 2 β 2 v + α γ .
Proof of Lemma 3. 
See Appendix A. □
Indeed, in order to make users willing to pay subscription fees, the platform needs to provide sufficient original content. This ensures that users obtain enough utility growth from the premium service to offset the costs associated with subscribing. Consequently, the amount of original content under the purely subscription-based model, x ^ * , is always higher than the amount of original content under the mixed model, x ~ * and x * . However, in adopting this business model, although increasing the amount of original content can continuously raise the number of subscribers and subscription prices, it also expands the cost of producing original content. And the growth of subscription revenue cannot completely offset these additional production costs. Therefore, the platform tends to provide the minimum amount of original content for implementing this model, that is x ¯ stated in Lemma 1. It is worth noting that x ¯ is only affected by users’ utility, and is independent of the platform’s cost of producing original content.
Conversely, if the platform adopts a mixed model, the amount of original content reflects the utility difference between the free and paid options. More original content will incentivize users to switch from the free services to paid subscriptions. At this point, the platform needs to strike a balance between the following two decisions. On the one hand, by increasing the amount of original content, the platform can expand the number of subscribers and raise the subscription price, thereby enhancing subscription revenue. On the other hand, the platform can also increase the advertising intensity and obtain higher advertising revenue by reducing the amount of original content. Under the mixed model, the choice of original content is closely related to its production cost. Regardless of the strategy of advertising intensity, the optimal amount of original content, x ~ * and x * both decreases with the production cost c . This suggests that if the cost of creating original content is low, the subscription revenue generated by the increase in original content will be sufficient to cover the production cost, prompting the platform to provide more original content. On the contrary, if the production cost is high, producing more original content will exacerbate the cost burden of the platform. In this case, the platform will reduce the original content to alleviate the cost pressure, compensating for the loss in subscriptions by increasing adverting intensity.
However, under the condition where advertising intensity threshold L > 0 , if the platform continues to reduce original content, the demand of advertisers will reach the maximum. Beyond this point, further reducing original content cannot stimulate more advertising demand. In this case, the production cost of original content becomes the key determinant of whether the platform adopts the strategy of maximum advertising intensity strategy or moderate advertising intensity. Let c ¯ = β 2 α v 2 α γ 2 v / α v + γ v 4 v 4 α γ k + α γ 2 , we find that when c > c ¯ , constrained by the higher production costs, the platform is more inclined to provide less original content and set maximum advertising intensity to maximize profit. Conversely, when c < c ¯ , the production cost of original content is relatively low, and the subscription revenue brought an appropriate increase in the original content is enough to make up for the production cost and increase the profit. Therefore, the platform will increase the original content and reduce the advertising intensity, thus switching to the moderate advertising intensity strategy. As mentioned before, when the advertising intensity threshold L < 0 , the platform cannot provide sufficient advertising benefits to attract all advertisers, leaving the moderate advertising intensity strategy as the only viable option.
Denote the platform’s optimal profit when choosing the subscription model as π S * . Under the mixed model, if the platform opts for maximum advertising intensity, the optimal profit is denoted as π ~ M * , while the optimal profit when choosing moderate advertising intensity is π M * . Use Δ π ~ and Δ π to represent the differences between optimal profits, where Δ π ~ = π S * π ~ M * and Δ π = π S * π M * . We find that Δ π ~ / c < 0 and Δ π / c < 0 , thus there exist c ~ S M and c S M that make π S * = π ~ M * and π S * = π M * hold respectively. c ~ S M and c S M also satisfy c 0 < c S M and c 0 < c ~ S M , thus meet the assumption. In previous analysis, we point out that the amount of original content will endogenously determine the business model chosen by the platform. However, the original content provided by the platform is primarily constrained by the production costs, thus making these costs a crucial factor influencing the platform’s choice of business model. The following propositions provide a systematic overview of the pathways of this influence.
Proposition 1. 
In the case of L < 0 if c < c S M , the platform only offers the premium service and chooses the subscription model. If c > c S M , the platform offers a menu of free and premium services, chooses the mixed model and implements the strategy of moderate advertising intensity.
Proof of Proposition 1. 
See Appendix A. □
According to the previous analysis, when L < 0 , the platform can only achieve moderate advertising intensity under the mixed model. In this case, the platform needs to decide the amount of original content to provide, which will further determine whether to choose the subscription model or the mixed model with moderate advertising intensity.
In our model, the benefits that advertisers derive from participating in the platform entirely come from the network externalities contributed by free users. The platform is unable to offer additional value to advertisers. But for users, not only existing video content on the platform can provide intrinsic value, but original content also generates additional value. As a result, the platform can always charge users a higher subscription price, compared to the advertising fee charged to advertisers. In the ad-free subscription model, the platform attracts more users to pay for subscription by providing more original content. In contrast, under the mixed model, the platform sacrifices some subscription users in exchange for more advertisers. Since the subscription price is always higher than the advertising price, when the cost of producing original content is low, the subscription model with more paying users always creates higher profits than the mixed model. However, as the production cost c increases, since the optimal original content in the subscription model, x ^ * , always stays at the value x ¯ , the total cost of providing original content continually rises with c . This increase gradually offsets the advantage brought by the higher subscription price, leading to a decline in platform profits. When c increases to c S M , the optimal profits under the subscription model drop to be equal to the optimal profit under the mixed model, that is, π S * = π M * . Although as c increases, the profits in the mixed model also decrease, the platform will correspondingly reduce the original content provided, thus slowing down the decline rate of profit. Therefore, when c continues to increase beyond c S M , π S * will be lower than π M * , and the platform will choose the mixed model and set moderate advertising intensity.
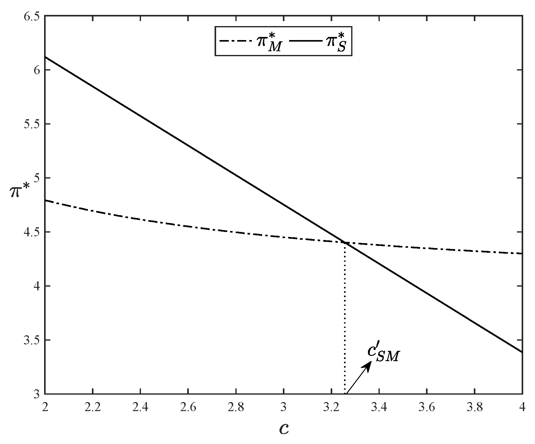
We then further illustrate the above results utilizing a numerical example. By setting α = 5 , γ = 3 , β = 4 , v = 5 and k = 1 , we obtain the results shown in Figure 2. Under these conditions, we can calculate that the advertising intensity threshold L is lower than 0, thus the platform is not able to achieve the maximum demand of advertisers. From the left-hand side of Figure 2, we can observe that when the marginal production cost of original content is below a threshold value, c S M (approximately 8.1436 given our selected parameters), the optimal profits in a subscription model consistently surpasses those in a mixed model. Thus, when c remains below this threshold, the platform always chooses the subscription model to optimize profits. As c becomes larger, a decrease in the optimal profits in both models is observed. However, the rate of decline in the subscription model exceeds that of the mixed model. The right-hand side of Figure 2 shows that, when c increases above 8.1436, the mixed model’s optimal profit outperforms that of the subscription model. Consequently, the platform transitions to the mixed model to maximize profits.
Proposition 2. 
In the case of L > 0 :
  • If the improvement level of intrinsic value for subscribed users, k , is greater than k ¯ , when c < c S M , the platform only offers the premium service and chooses the subscription model; when c S M < c < c ¯ , the platform offers a menu of free and premium services, chooses the mixed model and implements the strategy of moderate advertising intensity; when c > c ¯ , the platform chooses the mixed model with maximum advertising intensity.
  • However, if k < k ¯ , when c < c ~ S M , the platform chooses the subscription model; otherwise, when c > c ~ S M , the platform chooses the mixed model and implements the strategy of maximum advertising intensity.
Proof of Proposition 2. 
See Appendix A. □
When L > 0 , the platform has the potential to achieve maximum intensity of advertising under the mixed model. In this case, the platform needs to choose between an ad-free subscription model, a mixed model with moderate advertising intensity, and a mixed model with maximum advertising intensity. Among these three models, the optimal amount of original content shows a decreasing trend. As the marginal production cost of original content increases, providing more original content will lead to a rapid rise in costs, significantly cutting the total profits and thus reducing the platform’s willingness to produce original content. Therefore, as the cost continues to increase, the platform will gradually reduce the supply of original content while increasing the advertising intensity, transitioning from an ad-free subscription model to a mixed model with moderate advertising intensity, and ultimately shifting to maximum advertising intensity when the cost is sufficiently high.
However, the above result only applies when the platform provides a relatively high level of intrinsic value enhancement to its subscribers, i.e., when k > k ¯ . When the promotion level of intrinsic value gained by subscribers is low, i.e., k < k ¯ , the platform will only choose between the two extreme strategies of no advertising and maximum advertising, and will not consider adopting the moderate advertising intensity model. In the following, we will explore the reasons behind this phenomenon in detail.
From the utility function of users we can see that, compared with free users, the utility growth of subscribed users mainly comes from two aspects: the enhancement of intrinsic value provided by the platform and the supply of original content. Therefore, if subscribers can enjoy a higher intrinsic value increment, their utility can achieve greater growth, allowing the platform to charge them a higher subscription price. Conversely, if the increment level of intrinsic value is low, the subscription price that the platform can charge will decrease correspondingly. From this point of view, in the mixed model with moderate advertising intensity, since the platform only provides little original content, the subscription price charged by the platform is relatively limited. If k is also very low at this time, the subscription price and ultimately the subscription revenue will be further reduced.
As mentioned in Lemma 3, when adopting the mixed model, if the marginal cost of producing original content exceeds a critical cost threshold, c ¯ , the increased total production costs make the platform more inclined to provide less original content and take a maximum advertising intensity strategy for profit maximization. In contrast, if the marginal cost is low, i.e., c < c ¯ , the platform will moderately increase the amount of original content to attract more subscribers, but can only achieve moderate advertising intensity. However, when k is relatively low, the platform’s subscription revenue is limited when the advertising intensity is at a moderate level. Besides, due to the lower advertising intensity and the corresponding advertising fee, it also earns little advertising revenue. We observe that c ¯ / k > 0 , which means that the cost threshold for the platform to switch from moderate advertising intensity to maximum advertising intensity decreases with k . Therefore, in the case of lower k , when c is relatively small, the platform will become unable to provide more original content, thereby reducing the amount of original content and switching to a maximum advertising intensity strategy. Moreover, when k < k ¯ , we find that c ¯ < c S M . In other words, when c < c ¯ , although the optimal profit at moderate advertising intensity is higher than the optimal profit at maximum advertising intensity, it is still lower than the optimal profit under a purely subscription-based model. This means that even if c < c ¯ , the platform is less likely to choose the mixed model with moderate advertising intensity, but adopts a subscription model instead.
Therefore, when c > c ¯ , the platform makes a choice between the subscription model and the mixed model with maximum adverting intensity. Under the ad-free subscription model, the optimal original content x ^ * decreases with k , implying that the platform needs to provide a relatively small amount of original content when k is low. Even if the marginal production cost increases to c ~ S M , the subscription revenue can still cover the relatively low production costs and bring the maximum profit to the platform. However, as c continues to increase above c ~ S M , the cost burden can no longer be ignored and the subscription model is no longer effective. The platform will then reduce the supply of original content and move to a mixed model with maximum advertising intensity.
In order to better illustrate the above results, we present a numerical study in Figure 3. We set α = 5 , γ = 3 , β = 4 and v = 14 in this example, and these parameters yield a threshold k of approximately 0.35, i.e., k ¯ = 0.35 in this case. By setting k = 0.7 in the left panel and k = 0.3 in the right panel, we can use the left and right panels of Figure 3 to represent the cases of k > k ¯ and k < k ¯ , respectively. Then we plot how platform’s optimal profits under different business models changes with the production cost of original content in these two cases. From the left panel of Figure 3, we observe that when k > k ¯ , the critical values of the marginal production cost of original content satisfies c S M < c ¯ . Additionally, when c is lower than c S M , the optimal profit in the subscription model, π S * , consistently surpasses those in the mixed models, π ~ M * and π M * . Thus, if c falls below c S M , it is better for the platform to choose the subscription model. However, if c increases from c S M to c ¯ , the optimal profit in the moderate-advertising-intensity mixed model, π M * , overtakes π S * , becoming the maximum profits under the three business models. In such a scenario, the platform should adopt the mixed model with moderate advertising intensity when c lies in the interval c S M , c ¯ to maximize profits. Further, when c exceeds c ¯ , the optimal profit in the maximum-advertising-intensity mixed model, π ~ M * , turns to be the maximum value among the three optimal profits. This shift prompts the platform to switch to the mixed model with maximum advertising intensity to obtain the largest revenue.
The right panel of Figure 3 illustrates the case where k < k ¯ . In this situation, the critical values of the marginal production cost now align to c ¯ < c ~ S M . We can observe that the optimal profit π M * is higher than π ~ M * when c < c ¯ , and becomes lower than π ~ M * when c > c ¯ . However, as long as c remains below c ~ S M , these two optimal profits under the mixed model, π M * and π ~ M * , consistently stay beneath the optimal profit in the subscription model, π S * , thus the platform always chooses the subscription model to optimize profits when c < c ~ S M . When c surpasses c ~ S M , π ~ M * exceeds π S * , becoming the largest profit obtained by the platform under the three different business models. As a result, the platform transitions to the mixed model with maximum advertising intensity to maximize profits.
After discussing the strategic choice of the platform in equilibrium, we further investigate the influence of market characteristics on the platform’s choice of business model, and get the following findings.
Proposition 3. 
As the marginal revenue α contributed by users to advertisers increases, the platform earns less profits under a subscription model but more profits under a mixed model, eventually switching from a subscription model to a mixed model.
Proof of Proposition 3. 
See Appendix A. □
This proposition describes the influence of network externalities that users contribute to advertisers on platform profits and business model. As α increases, advertisers are willing to pay more for participating in the platform and the potential advertising revenue of the platform increases accordingly. This change makes the mixed model that introduces advertising more attractive relative to the ad-free subscription model. Thus, when α is large, the platform will switch from the ad-free subscription model to the mixed model to earn both advertising and subscribing revenue. This strategic shift assists in increasing the platform’s profits. To understand this phenomenon, first recall that in Lemma 1, we find that when the market-clearing advertising fee drops to zero, the platform loses its motivation to attract advertisers by offering free services and thus shifts to a purely subscription-based model. However, advertisers’ revenue increases when α increases, allowing the platform to charge higher advertising fees, thus it has enough incentives to choose the mixed model. With the growth of α , the platform will only enable the subscription model when it further increases the supply of original content to reduce the number of free users, so that the advertising fee that advertisers are willing to pay is reduced to zero. Although increasing the amount of original content allows the platform to charge users more, due to the higher costs of producing original content, the growth in subscription revenue is insufficient to offset these costs, which eventually leads to a decline in platform profits. Secondly, under the mixed model, as α increases, the platform will reduce investment in original content to boost the number of free users, thereby attracting more advertisers and collecting higher advertising fees. In this scenario, the platform’s advertising revenue increases, while the cost associated with providing original content decreases due to its reduced supply, contributing to an improvement of overall profits.
We use Figure 4 to further illustrate the changing trend of optimal profits under the subscription model and the mixed model with respect to α . In order to meet the requirements in our assumptions and ensure the existence of equilibrium, we set the parameters as β = 2 , γ = 3 , v = 13.5 , k = 0.55 and c = 0.7 . More importantly, we combine the two situations of moderate and maximum advertising intensity under the mixed model, and the optimal profit π M * is designated as π M * when c is lower than c ¯ and as π ~ M * when c is higher than c ¯ . From Figure 4, we can see that when α is low, the subscription model brings the highest profit to the platform, so the platform should choose the subscription model for profit maximization. As α increases, the optimal profit under the subscription mode gradually decreases, while the optimal profit under the mixed model keeps increasing. And eventually at sufficiently high values of α , the optimal profit in the mixed model surpasses the profit in the subscription model, causing the platform to shift to the mixed mode to maximize profits.
Proposition 4. 
As the marginal value β of original content to users increases, the platform switches from a mixed model to a subscription model and earns more profits.
Proof of Proposition 4. 
See Appendix A. □
To understand this proposition, notice that the marginal value β that original content delivers to users also reflects users’ desire for original content. As β increases, users are willing to pay higher subscription fees and are more inclined to subscribe to the platform’s original content, gradually making the strategy of introducing advertising less attractive. With the growth of β , an increasing number of users opt for subscription services. And the platform finally shifts from a mixed model to a subscription model with large β . Under the mixed model, as β increases, the platform will increase the supply of original content. This move helps to substantially enlarge the utility of subscribing users, enabling the platform to charge higher subscription fees. Such a price increase can significantly expand the platform’s profit, effectively offsetting the increased cost of providing original content. At the same time, with the increase of β , a large number of free users convert to subscribing users, resulting in a continuous decrease in the revenue of advertisers as well as the market-clearing advertising fees. Therefore, under the subscription model, the amount of original content that the platform needs to provide decreases with the increase of β . Such adjustments save costs for the platform and improve overall profits.
Figure 5 provides a more intuitive illustration of how optimal profits vary with respect to β in both the subscription and mixed models. The parameter setting is that α = 5 , γ = 3 , v = 14 , k = 0.7 and c = 4 in Figure 5. The expression of the optimal profit under the mixed model follows a pattern similar to that depicted in Figure 4. It can be seen from Figure 5 that as β grows, the optimal profit in both the subscription model and the mixed model keeps increasing. Besides, when β is low, the mixed model yields the maximum profit for the platform. However, when β becomes sufficiently large, the optimal profit of the subscription model outperforms that of the mixed model. This observation suggests that as β increases, the platform should shift from a mixed model to a subscription model to optimize profit.

5. Extension

In our baseline model above, we assume that the online video platform only provides original content to its subscribers. In this section, we consider an alternative assumption that the platform also allows the free users to watch a few portion of its original content. We discuss how the platform’s investment in original content and strategic choice of business model will be affected under this assumption.
Consider a case where free users is allowed to watch an amount of original content equal to η x , where 0 < η < 1 . For ease of subsequent analysis, we assume that the proportion of original content accessible to free users meets the condition η < m i n v + α γ / v + α γ + α 2 , 2 v + 2 α γ α v / 2 v + 2 α 2 α v . This assumption ensures that the amount of original content available to free users is limited, thus keeping the subscription service attractive to users. Otherwise, if η is too high, the original content available to free users will be almost the same as that available to subscribers, which will greatly weaken the appeal of the subscription service, thus reduce users’ willingness to pay for subscriptions. In this case, the demand of subscribing and free users are as follows:
n s = 1 p s β 1 η x γ n a k v
n f = p s β 1 η x γ n a k v γ n a β η x v
And the platform’s profit maximization problem now becomes:
max p s , n a π = n s p s + n a p a 1 2 c x 2 = p s 1 p s β 1 η x γ n a k v + n a α p s β 1 η x γ n a k v γ n a β η x v n a 1 2 c x 2
s . t . 0 n a 1
s . t . γ n a β η x v p s β 1 η x γ n a k v 1
s . t . α p s β 1 η x γ n a k v γ n a β η x v n a 0
Similar to the baseline model, constraints on the two decision variables, subscription price and advertising intensity, are critical to ensure the existence of equilibrium. Violation of these constraints could potentially prevent the coexistence of both subscribing and free users. The first constraint implies that the platform’s advertising intensity is non-negative and does not exceed the maximum demand generated by advertisers. The second constraint ensures that even when users can view original content with a percentage of η for free, a segmented market of free and paying users can still be formed. The third constraint guarantees that the advertising fee charged by the platform is always non-negative.
The decision-making process of the platform remains a two-stage procedure: deciding on the amount of original content to provide in the first stage, and adjusting advertising intensity and subscription price to maximize profits in the second stage. Unlike the baseline model, we find that when free users can some of the original content, the level of intrinsic value enhancement k enjoyed by subscribing users plays a significant role in platform’s choice of business model.
Lemma 4. 
Let k ^ = α + γ v η v + α γ α γ v η v + 2 η α η α 2 v + 2 α γ γ v , the market equilibrium has two possible outcomes in the second stage:
  • When subscribing users enjoy a lower level of intrinsic value promotion, that is, k < k ^ , the optimal advertising intensity and subscription price have the following two cases:
    (a) 
    If x > v α γ k v + k α γ + α γ β α + γ v η v + α γ 2 η α v + α γ k 2 η α 2 γ , then n a = 0 , the platform only provides the paid premium service, chooses the subscription model, and sets the optimal subscription price as p ^ s ' * = v + β x + k v 2 .
    (b) 
    If x < v α γ k v + k α γ + α γ β α + γ v η v + α γ 2 η α v + α γ k 2 η α 2 γ , the platform offers both free and premium services. In this case, the platform adopts the mixed model, and sets the optimal advertising intensity and susception price as n a ' * and p s ' * respectively, where p s ' * = 2 v v + α γ k 2 1 η k η α γ α β x + 2 α γ k v + β x 2 1 η k v β x 4 k v + α γ α γ 2 , n a ' * = k v α + γ + 2 η k α β x 1 η α γ β x 4 k v + α γ α γ 2 .
  • When subscribing users enjoy a higher level of intrinsic value promotion, that is, k > k ^ , the platform always adopts a mixed model, and the optimal advertising intensity and subscription price have the following two cases:
    (a) 
    If x < 4 k v + α γ k v α + γ α γ 2 2 η k α 1 η α γ , the platform sets the optimal advertising intensity as n a ' * and the optimal susception price as p s ' * .
    (b) 
    If x > 4 k v + α γ k v α + γ α γ 2 2 η k α 1 η α γ , the platform always maintain the maximum advertising intensity and sets the optimal subscription price as p ~ s ' * = α + γ + k v + 1 η β x 2 .
Proof of Lemma 4. 
See Appendix A. □
In the baseline model, owing to the platform’s policy of not providing original content to its free users, the only way for these users to access such content is through subscription. As the platform expands its supply of original content, an increasing number of free users choose to upgrade to subscriptions, resulting in an increase in platform subscription revenue. Meanwhile, as the number of subscribers increases, the number of free users decreases correspondingly. This reduction undermines platform’s appeal to advertisers, subsequently leading to a decrease in advertising revenue. Therefore, the platform must strike a balance between investing in original content to boost subscription revenue and reducing the supply of original content to maintain advertising revenue. Interestingly, if the platform offers a small amount of original content to its free users, it has the opportunity to increase the supply of original content to attract more subscribers, while simultaneously increasing the number of free users. In this scenario, the platform has the potential to achieve dual growth of subscription revenue and advertising revenue without any trade-off between them.
The reason is that as x increases, the utility of subscribing users will continue to grow, consequently resulting in a steady rise in their number. However, the utility of free users is impacted by two contrasting trends. On the one hand, the increase of x will also enhance the utility of free users and attract potential users who have not participated in the platform before to join the platform and enjoy free services. This trend is conducive to the growth of free users. On the other hand, since the proportion of original content available for subscribers is always higher than that of free users, the utility growth of subscribers will significantly exceed that of free users as x increases, driving some free users to upgrade to a paid subscription. And this trend will lead to a decline in the number of free users. Which of these two opposite trends dominates depends on the level of intrinsic value enhancement enjoyed by platform’s subscribing users.
When the platform offers a lower level of intrinsic value to its subscribers, i.e., when k < k ^ , the difference between the intrinsic value enjoyed by subscribers and free users is not significant. In this case, increasing the amount of original content can help widen the utility gap between subscribers and free users, which in turn promoting more free users to upgrade to subscriptions. In this context, the loss of free users will be more pronounced as x increases. Consequently, with lower k , the number of free users will decrease as x increases. However, when k is relatively high, i.e., k > k ^ , the platform’s improvement of intrinsic value has already resulted in a substantial increase in the utility of subscribers, and the utility growth brought about by adding more original content becomes not significant at this time. In this case, an increase in original content results in only a small number of free users transitioning to paid subscriptions. However, since an increase in x will attract more potential users to use platform’s free service, the number of free users will grow.
Therefore, when k < k ^ , as x increases, the number of free users gradually declines, consequently leading to a reduction in advertisers’ revenue as well as their willingness to pay for advertising. The platform needs to reduce advertising fees accordingly to ensure the participation of advertisers. When x increases to a certain threshold, advertising fees fall to zero, and the platform no longer has the incentive to provide advertising space. It will then stop offering free services and transition to a subscription model. On the contrary, when k > k ^ , as x increases, the number of free users increases, and the revenue of advertisers rises correspondingly. Advertisers are then willing to pay higher advertising fees, thus the platform has sufficient motivation to provide advertising space and will adopt a mixed model. As the amount of original content continues to expand, once advertisers’ demand reaches its peak, the platform will be unable to further attract the participation of advertisers. At this point, the platform will maintain the maximum advertising intensity and maximize profits by raising the market clearing price for advertising.
Based on the above results, we can derive the optimal amount of original content provided by the platform and the corresponding profits under different models in the first stage. Let π S ' * , π M ' * and π ~ M ' * denote the platform’s optimal profits under the subscription model, the mixed model with moderate advertising intensity and the mixed model with maximum advertising intensity, respectively. We find that within the feasible range of marginal production cost of original content, there exists c S M ' that enables the platform to obtain the same optimal profit under the subscription model and the mixed model with moderate advertising intensity, that is c S M ' makes π S ' * = π M ' * holds. Also, there exists c ' that makes the platform obtain the same profit under different choices of advertising intensity in the mixed mode, i.e., π M ' * = π ~ M ' * . By comparing these optimal results, we have the following conclusion.
Proposition 5. 
When users can access a limited amount of original content for free, the choice of business model for the platform is:
  • When the level of intrinsic value enhancement experienced by subscribing users meets the condition k < k ^ , if the cost of producing original content is less than c S M ' , i.e., c < c S M ' , the platform should choose the subscription model. Conversely, if c > c S M ' , a mixed model with moderate advertising intensity is preferred.
  • When the level of intrinsic value enhancement experienced by subscribing users meets the condition k > k ^ , if the cost of producing original content is less than c ' , i.e., c < c ' , the platform should adopt the mixed model with maximum advertising intensity. Conversely, if c > c ' , the platform should choose the mixed model with moderate advertising intensity.
Proof of Proposition 5. 
See Appendix A. □
When free users can access a limited amount of original content, platform’s choice of business model is also endogenously influenced by the production decision of original content. As the platform is constrained by costs when making its production decisions, these costs become a key factor in determining the business model.
Firstly, according to the results of Lemma 4, when k < k ^ , as the amount of original content increases, the platform transitions from a mixed model to a subscription model. When the marginal cost of producing original content is low, the platform tends to provide a larger amount of original content and opts for a subscription model. This model allows the platform to achieve a larger scale of subscriber base and charge higher subscription prices to compensate for the increased cost in producing original content. However, if the marginal cost is high, offering more original content will significantly increase platform’s total costs. Even if the subscription revenue is able to growth with more original content, it is difficult to offset such a substantial cost burden. Therefore, when faced with a higher marginal cost, the platform aims to reduce the supply of original content to save costs. The decrease in the original content will lead the platform to turn to a mixed model, attracting advertisers to participate and generating a certain amount of advertising revenue to further compensate for the high cost of producing original content.
We use Figure 6 to present the above results in an intuitive way. By setting the parameters α = 4 , γ = 3 , β = 4 ,  v = 10 and η = 0.3 , the threshold value k ^ is approximately 1.2. In order to illustrate the case of k < k ^ , we assign k = 0.3 in Figure 6. It can be seen that when c is low, the subscription model initially yields higher profits than a mixed model with moderate advertising intensity. And as c increases, the optimal profit in both models decreases. Once c   increases to c S M ' , the platform makes the same profits under both models. Then, if c continues to rise and exceeds c S M ' , the optimal profit under the subscription model will be overtaken by the optimal profit under the mixed model. Therefore, to maximize profits, the platform should opt for a subscription model when c < c S M ' , and shift to a mixed model with moderate advertising intensity when c > c S M ' .
Moreover, when k > k ^ , with the increase of original content, the platform consistently adopts a mixed model but gradually increases advertising intensity until it maintains the maximum. In this case, as the original content increases, the number of subscribing users and subscribing prices rise accordingly. Meanwhile, when k > k ^ , the number of free users also grows with the increase in original content, bringing higher revenue to advertisers. And the platform is able to attract more advertisers to participate. When the number of advertisers increases to a peak, it can further increase revenue by raising advertising prices. Therefore, when the marginal cost of producing original content is low, the platform always offers a large amount of original content to achieve maximum advertising intensity. Due to the lower marginal cost, the total cost of producing more original content is relatively acceptable, and the platform can offset these costs through higher subscription prices and advertising fees. However, when the marginal cost is high, the platform will bear a heavy cost burden when providing more original content. Therefore it hopes to offer less original content to reduce costs, and this eventually leads the platform to choose the mixed model of moderate advertising intensity.
We also use a numerical example to illustrate the above result. Given that k ^ is approximately 1.2, we set k = 2 in Figure 7 to exemplify the case of k > k ^ . As Figure 7 shows, when c is lower than c ' , the strategy employing maximum advertising intensity always brings the largest profit to the platform adopting the mixed model. As c   increases, the optimal profit obtained through this strategy experiences a significant decrease, and when c reaches c ' , it decreases to be equal to the optimal profit under the moderate advertising intensity strategy. As c continuous to grow and exceeds c ' , the strategy of moderate advertising intensity begins to yield the highest profit for the platform. Therefore, the choice of strategy for the platform should be adaptive, transitioning from maximum to moderate advertising intensity as c surpasses c ' .

6. Conclusion and Implication

The video industry is undergoing dramatic changes. Cable TV used to be the only channel for people to access video content. However, with the rapid development of the Internet, traditional cable TV providers are losing market share, and online video platforms have emerged as the preferred mode for people to watch videos. To compete for limited audience attention, an increasing number of platforms are introducing exclusive original content. Although the original content brings high value to the audience, the platforms have to invest heavily in the production of this content. Therefore, finding a cost-effective strategy for offering original content is crucial for these platforms. Furthermore, the Internet-based video service provides platforms with multiple possible business models. Online video platforms also face the critical question of how to choose the optimal business model to balance the high costs of producing original content. Despite the significant boom in the online video market over the past decade, these newly emerged issues have not been effectively addressed. The purpose of this study is to provide a theoretical analysis of these issues, offering guidance for the operational decision of online video platforms.

6.1. Conclusion

In this study, we construct a two-sided market model consisting of online video platforms, users, and advertisers. We examine how a platform determines the amount of original content to provide to balance the subscription revenue and advertising revenue. By comprehensively considering the influence of multiple factors such as the production cost of original content and the opposite network externalities between users and advertisers, we also explore the platform’s strategic choice between a subscription model and a mixed model.
Firstly, we analyze the platform’s optimal strategy for providing original content. The results indicate that the amount of original content provided will lead to different market equilibrium. When the platform provides a large amount of original content, the number of subscribing users will significantly increase, while the number of free users dramatically decreases, resulting in the market size of free users being insufficient to incentivize advertisers to pay for advertisements. In this situation, we find that the platform lacks motivation to attract advertiser participation, and thus it will abandon the advertising market and choose the subscription model. However, the platform can segment the user market by providing less original content. Under this strategy, the platform can not only maintain a certain scale of subscribing users to obtain subscription revenue, but also retain enough free users to attract advertisers and generate advertising revenue, thus forming a market equilibrium of the mixed model. Additionally, we find that in the market with an advertising intensity threshold L > 0 , the platform has the opportunity to further increase the scale of free users by continuously reducing the supply of original content, so as to attract all advertiser participation and maintain the maximum advertising intensity.
Subsequently, we analyze the factors influencing the platform’s choice of business model. The above analysis indicates that the amount of original content provided by the platform will endogenously determine the business model it chooses. Since the production cost of original content determines the platform’s content investment strategy, this makes the cost a key factor affecting the platform’s business model. Specifically, if market conditions are unfavorable for the platform to achieve maximum advertising intensity (i.e., L < 0 ), the platform facing a higher production cost tends to offer less original content and choose a mixed model, so as to simultaneously obtain subscription and advertising revenue to offset the high cost of original content. On the contrary, if the production cost is low, the platform is more inclined to provide a large amount of original content and adopt a subscription model, and increases profits by charging higher a subscription price. However, when L > 0 , the platform needs to decide the appropriate advertising intensity when implementing the mixed model. Our research finds that if the platform provides a higher degree of intrinsic value enhancement for subscribers (i.e., k > k ¯ ), as the cost c increases, the platform’s willingness to provide original content decreases. It will gradually reduce the supply of original content while increasing advertising intensity, transitioning from a purely subscription-based model to a mixed model with moderate advertising intensity, and eventually switch to maximum advertising intensity when the cost is high enough. However, we find that if k < k ¯ , the mixed model with moderate advertising intensity will never become the dominant strategy for the platform. In this case, as c increases, the platform will move directly from a subscription model to a maximum advertising intensity model. Furthermore, besides the cost coefficient, we find that when the marginal revenue α that users bring to advertisers increases, or the marginal value β that original content brings to users decreases, the platform will also transition from a subscription model to a mixed model.
Lastly, we explore an alternative scenario, where the platform allows free users to access some of the original content, and how this will affect its business model and content investment decisions. In this setting, we observe that the platform has an opportunity to expand the supply of original content to attract more subscribers while also increasing the number of free users. This mechanism results in the platform consistently choosing the mixed model and being able to achieve dual growth of subscription and advertising revenue without having to trade-off between them.

6.2. Managerial Implication

The findings of this study have important practical implications. First of all, we have observed tremendous changes of the video industry over the past two decades. In the past, video content was primarily broadcast via cable TV, and viewers could only watch certain TV shows on a fixed schedule. Nowadays, with the rapid development of the Internet, online video platforms such as Netflix, Amazon Prime, and iQIYI, have gradually become the main channels for video content distribution. These platforms utilize streaming technology to offer video services, allowing users to watch videos simultaneously while downloading, eliminating the need to wait for the entire video file to be downloaded. The popularity of smartphones and tablets also allows users to watch videos anywhere and anytime. In addition, platforms can also produce original content that is more appealing to its users, based on their viewing history and habits. These transformations have profoundly changed the way video content is consumed, with an increasing number of users willing to pay for online video services. With the rapid growth in the number of paying users [39], online video platforms thus need to reconsider whether to continue offering free services.
This research can provide support for platforms in making such critical decisions. We find that when the amount of original content provided by an online video platform reaches a certain scale, users are more inclined to pay for subscriptions, so that the scale of free users is not enough to support the platform to obtain advertising revenue. And this will lead the platform to stop providing free services. However, if the amount of original content is relatively small, the number of subscribing users is limited, and the subscription revenue generated by the platform cannot cover the production costs of original content, necessitating the introduction of advertising to increase revenue. Therefore, platforms with lower cost of producing original content tend to provide a large amount of original content to choose a subscription model, while those facing higher production costs have to reduce the supply of original content to choose a mixed model. In addition to the production cost, the quality of original content, which is specifically reflected as the marginal value created for users by original content, is also an important factor influencing the platform’s business model. As this value increases, the platform will transition from a mixed model to a subscription model. Therefore, when choosing a business model, online video service providers need to fully consider the quality of the original content they provide and their production costs of this content.
In practice, we can observe that although both iQIYI and Netflix are committed to the development of original content, in terms of actual output, Netflix is significantly ahead of iQIYI no matter in quantity or quality. This is mainly due to the fact that the video industry started earlier in the United States, and the infrastructure and producing environment for video production are relatively superior. As the world’s leading online video platform, Netflix has rich experience in content production. In addition, the production scale of its content is typically large and it also has a global production network. These advantages enable Netflix to allocate resources more effectively, realize economies of scale, and reduce its marginal cost of producing original content. As a result, Netflix is able to produce a large amount of original content with relatively limited funds, and these rich original content bring higher subscription revenue to Netflix, enabling it to abandon advertising and choose a subscription model.
Moreover, Netflix is also at the forefront in terms of technology and innovation, particularly its in-depth investment in the fields of AI algorithms and data science. This allows it to use vast amounts of user behavior data to produce and optimize its original content, in order to better meet the needs and preferences of a broad user base. Therefore, Netflix’s original content can provide higher value to users, and this high-quality original content is an essential driver for Netflix to choose a purely subscription-based model. In contrast, due to lack of production scale and experience, the cost of producing original content for iQIYI is relatively high. Although iQIYI also invests heavily in original content every year, the quantity and quality of its output are relatively low. Thus, it is difficult to obtain sufficient subscription revenue, and iQIYI have to opt for a mixed model, introducing advertising to increase income. These observations further validate our findings and confirm the important impact of the production cost and quality of original content on platform business model choices.
In addition to examining factors related to original content, the platform also needs to pay attention to the marginal revenue rate of advertisers, i.e., the marginal value contributed by free users to advertisers, during their decision-making process of the business model. According to the prediction of our model, the platform will choose a mixed model only when the revenue rate of advertisers is relatively high. If advertisers can only achieve a lower revenue rate from advertising on the platform, the platform will switch to a subscription model. In recent years, as ad-blocking technology has become more advanced, it has become increasingly difficult for advertisers to reach consumers, leading to a gradual decrease in the effectiveness of online advertising. And this may be one of the reasons for the increasing number of platforms choosing the subscription model.
Additionally, we also find that if the platform provides a small amount of original content to free users, there is an opportunity to increase the number of free users and subscribed users at the same time. Therefore, the platform needs to pay special attention to the market parameters that lead to this situation and provide the corresponding proportion of original content to achieve a win-win situation of simultaneous growth in subscription revenue and advertising revenue.

6.3. Limitation and Future Direction

Our research also has several limitations. First, this study regards the online video platform as a two-sided platform connecting users and advertisers, ignoring the existence of third-party content providers. Given that the investment cost of original content accounts for a significant proportion of the annual content expenses of online video platforms, this study considers the cost of purchasing third-party licensed videos as a sunk cost and thus neglects it, focusing primarily on the cost of investment in producing original content. Future research could consider introducing a new market side, namely the third-party content provider, constructing the online video platform as a multi-sided platform, and investigate how platforms balance decisions between investing in original content and purchasing licensed videos. Second, our research model is established in the context of a monopoly market. Future studies could explore how platforms determine their original content strategies and business models within a competitive environment. Finally, in the model extension part, we consider the proportion of original content that free users can view as a given exogenous variable. Future research could treat this as a decision variable of the platform.

Author Contributions

Conceptualization, Z.Z. and Z.H.; methodology, Z.Z. and Z.H.; software, Z.Z.; validation, Z.Z. and Z.H.; formal analysis, Z.Z.; writing—original draft preparation, Z.Z.; writing—review and editing, Z.H.; visualization, Z.Z.; supervision, Z.H. All authors have read and agreed to the published version of the manuscript.

Funding

This research received no external funding.

Institutional Review Board Statement

Not applicable.

Data Availability Statement

Not applicable.

Conflicts of Interest

The authors declare no conflicts of interest.

Appendix A

Proof of Lemma 1 and Lemma 2. 
The interior solution of platform’s optimization problem is given by: n a * = α + γ k v α γ β x 4 k v + α γ α + γ 2 , and p s * = β 2 k v + 2 k α γ + α γ α 2 x + 2 k v k v + k α γ + α γ 4 k v + α γ α + γ 2 . Notice that the constraints must be non-binding. The first condition of the constraints 0 < n a < 1 requires x to satisfy the condition α v + γ v 4 v 4 α γ k + α γ 2 β α γ < x < k v α + γ β α γ . And the second condition γ n a v < p s β x γ n a k v < 1 requires x to be lower than k v 2 v + α γ γ 2 + v γ α γ β 2 v + α γ + γ 2 . For the third condition p a = α p s β x γ n a k v γ n a v n a > 0 to be hold, x should be lower than v α γ k v + k α γ + α γ β α + γ v + α γ . And finally, since x represents the number of original content provided by the platform, it must be positive. After a thorough comparison of all the above requirements for x , we find that in order to make these conditions hold at the same time, x should finally satisfy: max { 0 , α v + γ v 4 v 4 α γ k + α γ 2 β α γ } < x < v α γ k v + k α γ + α γ β α + γ v + α γ .
Look at the right-hand side of this condition first. If this inequality is violated, in other words if x > v α γ k v + k α γ + α γ β α + γ v + α γ , then we will find that p a < 0 . This means that the platform is not able to charge for advertising. In this scenario, advertisers are not able to generate revenue for the platform, which subsequently diminishes the platform’s incentive to provide free services as a means of attracting them. Consequently, the platform will opt for the purely subscription-based business model. We plug n a = 0 into the profit function and derive the optimal subscription fee as p ^ s * = β x + k v + v 2 . Thus part (1) of Lemma 1 is confirmed.
Then we compare the relationship between 0 and α v + γ v 4 v 4 α γ k + α γ 2 β α γ on the left-hand side of the condition. Recall that in assumption 1, v < 4 α γ / α + γ 4 and 2 v + α γ k α α γ > 0 hold. Then if v < 2 α γ / α 2 , or v > 2 α γ / α 2 but k > α γ 2 / 4 α γ + 4 v α v γ v , we can calculate that α v + γ v 4 v 4 α γ k + α γ 2 β α γ is always lower than 0. Thus, max { 0 , α v + γ v 4 v 4 α γ k + α γ 2 β α γ } = 0 . In this case, if x < v α γ k v + k α γ + α γ β α + γ v + α γ , the platform will choose the mixed model. And as x continues to decrease, even if it decreases to 0, the advertising intensity is not able to reach the maximum value. Solving platform’s maximization problem, we can derive the interior solution as n a * and p a * . This confirms part (2) of Lemma 1.
However, if v > 2 α γ / α 2 and k < α γ 2 / 4 α γ + 4 v α v γ v , then α v + γ v 4 v 4 α γ k + α γ 2 β α γ becomes larger than 0, and max { 0 , α v + γ v 4 v 4 α γ k + α γ 2 β α γ } = α v + γ v 4 v 4 α γ k + α γ 2 β α γ . Under this situation, when x < v α γ k v + k α γ + α γ β α + γ v + α γ , the platform still choose the mixed model, but we can calculate that when x decreases to α v + γ v 4 v 4 α γ k + α γ 2 β α γ , the optimal advertising intensity will reach the maximum demand of advertisers. As x continues to decrease, the intensity of advertising is not able to increase further, but can only remain at the maximum value of 1. Therefore, when x < α v + γ v 4 v 4 α γ k + α γ 2 β α γ , the platform chooses the mixed model and keeps the advertising intensity as 1. Substituting n a = 1 into the profit function, and the optimal subscription fee in this case is calculated as p ~ s * = β x + k v + α + γ 2 . This confirms the result in Lemma 2. □
Proof of Lemma 3. 
Under the mixed model, when L < 0 and x < v α γ k v + k α γ + α γ β α + γ v + α γ , the advertising intensity never reaches the maximum value. The platform profit at stage 2 is a function of x :
π M = β 2 k v + 2 k α γ + α γ α 2 x + 2 k v k v + k α γ + α γ 4 k v + α γ α + γ 2 * 2 β v + α γ x v α 2 α γ 2 k v 2 k α γ 4 k v v + α γ v α + γ 2 + α + γ k v α γ β x 4 k v + α γ α + γ 2 * β α + γ v + α γ x v α γ α γ + k v + k α γ 4 k v v + α γ v α + γ 2 1 2 c x 2
If we assume c > c 0 , where c 0 = α β 2 v + α γ v α γ k v + k α γ + α γ , then the second derivative of the profit function is less than 0. Solving the amount of original content x that makes the first derivative equal to 0, we have x * = v β 2 k v + α γ α α γ c 4 k v v + α γ v α + γ 2 2 β 2 v + α γ , which is always lower than the boundary value as v α γ k v + k α γ + α γ β α + γ v + α γ if c > c 0 is satisfied.
Under the mixed model, when L > 0 and x < α v + γ v 4 v 4 α γ k + α γ 2 β α γ , the advertising intensity remains as n a = 1 . The platform profit function now becomes:
π ~ M = β x + k v + α + γ 2 * β x + k v α + γ 2 k v + α α γ + k α v 2 α γ 2 v k α β x 2 k v 1 2 c x 2
Based on the assumption c > c 0 , we can solve the first order derivative of the profit function and obtain the optimal x * = β k v α + γ 2 c k v β 2
When x > v α γ k v + k α γ + α γ β α + γ v + α γ , under the subscription model, the platform profit at stage 1 is given as:
π S = β x + 1 + k v 2 * β x + 1 + k v 2 v 1 + k 1 2 c x 2
We derive the original content x that makes the first order derivative of the profit function equals 0 as β 1 + k v 2 c 1 + k v β 2 . However, with assumption c > c 0 , β 1 + k v 2 c 1 + k v β 2 is lower than the boundary valve x ¯ = v α γ k v + k α γ + α γ β α + γ v + α γ , so that the optimal values of x can only be x ¯ . □
Proof of Proposition 1. 
Substituting x ^ * = x ¯ into platform’s profit function, we can express the optimal profit as π S * = v 4 1 + k β 2 2 α k v + k α γ + α γ + v α + γ 2 2 v 1 + k α γ 2 k v + k α γ + α γ 2 c β 2 α + γ 2 v + α γ 2 , which represents the maximum profit obtained by the platform under the subscription model.
Similarly, substituting x * = v β 2 k v + α γ α α γ c 4 k v v + α γ v α + γ 2 2 β 2 v + α γ into platform’s profit function under the mixed model with moderate advertising intensity, the optimal profit at this time is π M * = v 2 2 k v k v + α γ + α γ c β 2 α 2 c 4 k v v + α γ v α + γ 2 2 β 2 v + α γ .
Then, we can calculate that Δ π c = ( π S * π M * ) c = v 2 A 2 β 2 α + γ 2 v + α γ 2 B c α β 2 v + α γ A c 2 β 2 v + α γ β 2 v + α γ 2 4 γ v + α γ k + α α γ α + 3 γ A B c A c 2 β 2 v + α γ , where A = 4 k v v + α γ v α + γ 2 , B = v α γ k v + k α γ + α γ . Since we assume that c > c 0 = α β 2 v + α γ B and 2 v + α γ k α α γ , we have B c α β 2 v + α γ A c 2 β 2 v + α γ > 0 and β 2 v + α γ 2 4 γ v + α γ k + α α γ α + 3 γ A B c A c 2 β 2 v + α γ < 0 . Then we can prove that Δ π c = ( π S * π M * ) c < 0 . Solving the equation π S * π M * = 0 , we find that c have two roots, denoted as   c S M and c S M ' respectively. We can prove that c S M ' < c 0 < c S M , so that when c > c 0 , π S * will only be equal to π M * when c = c S M . Since ( π S * π M * ) c < 0 , as c increases from c 0 to c S M , π S * is always higher than π M * . When c increases beyond c S M , then π S * < π M * holds.
Proof of Proposition 2. 
When L > 0 , substituting x ~ * = β k v α + γ 2 c k v β 2 into platform’s profit function under the mixed model with maximum advertising intensity, the optimal profit is π ~ M * = v v 2 k 2 + 4 k v + α γ 2 v k α + γ + α γ 2 c + 2 β 2 v + α γ α v 2 2 c k v β 2 .
Then Δ π ~ c = ( π S * π ~ M * ) c = 1 2 β 2 α + γ 2 v + α γ 2 D + 2 B k v c β 2 v α γ α γ 2 c k v β 2 E 2 B k v c + β 2 v α γ α γ 2 c k v β 2 , where D = β 2 v + α γ α 2 γ 2 2 k v γ , E = β 2 v + α γ α 2 γ 2 2 k v α . Under the assumption that c > c 0 , we have D + 2 B k v c β 2 v α γ α γ 2 c k v β 2 > 0 and E 2 B k v c + β 2 v α γ α γ 2 c k v β 2 < 0 . Thus, Δ π ~ c = ( π S * π ~ M * ) c < 0 . Solving the equation π S * π ~ M * = 0 , we also have two roots, denoted as   c ~ S M and c ~ S M ' , where c ~ S M ' < c 0 < c ~ S M , and c ~ S M > c S M . When c > c 0 , π S * will only be equal to π ~ M * when c = c ~ S M . Since ( π S * π ~ M * ) c < 0 , as c increases from c 0 to c ~ S M , we have π S * > π ~ M * , and when c > c ~ S M , π S * > π ~ M * holds.
Comparing the optimal profits under the mixed model when adopting the moderate advertising intensity strategy and the maximum advertising intensity strategy, we find that when c 0 < c < c ¯ = β 2 α v 2 α γ 2 v α v + γ v 4 v 4 α γ k + α γ 2 , the optimal profit when the platform adopts the maximum advertising intensity strategy is lower than when it employs the moderate advertising intensity strategy, that is, π M * > π ~ M * . However, when c > c ¯ , π M * < π ~ M * holds.
Comparing the relationship between the three critical values of c , we find that when k > k ¯ , c S M < c ~ S M < c ¯ , so that when c < c S M , π S * > π M * > π ~ M * . When c S M < c < c ~ S M , π M * > π S * > π ~ M * . And when c ~ S M < c < c ¯ , π M * > π ~ M * > π S * . Finally, when c > c ¯ , π ~ M * > π M * > π S * . Therefore, when c < c S M , the platform obtain the maximum profit under the subscription model, thus choosing this model. When c S M < c < c ¯ , π M * is the largest and the platform adopt the mixed model with the moderate advertising intensity. And when c > c ¯ , the platform adopt the mixed model with the maximum advertising intensity.
However, when k < k ¯ , we find that c ¯ < c S M < c ~ S M . In this case, when c < c ¯ , we have π S * > π M * > π ~ M * , and when c ¯ < c < c ~ S M , we have π S * > π ~ M * > π M * . Besides, when c > c ~ S M , we find that π ~ M * > π M * and π ~ M * > π S * holds. Thus, when c < c ~ S M , the platform opt for the subscription model and when c > c ~ S M , it transfers to the mixed model with the maximum advertising intensity. □
Proof of Proposition 3. 
The derivative of π S * with respect to α is:
π S * α = v γ 2 v + α γ k v + k α γ + α γ + v α γ α + γ 2 B 1 + k c + 2 β 2 α k v + k α γ + α γ + β 2 v α + γ 2 1 + k β 2 α + γ 3 v + α γ 3
So that when c > c 0 , 2 B 1 + k c + 2 β 2 α k v + k α γ + α γ + β 2 v α + γ < 0 and π S * α is always lower than 0.
The derivative of π M * with respect to α is:
π M * α = v c k v α + γ α β 2 v 2 k v + k α γ k γ 2 + α γ γ 2 c β 2 2 v + α γ A c 2 β 2 v + α γ 2
Under the mixed model, if c 0 < c < c ¯ , π M * > π ~ M * . When c > c 0 , c k v α + γ α β 2 > 0 and v 2 k v + k α γ k γ 2 + α γ γ 2 c β 2 2 v + α γ > 0 hold. Thus π M * α is greater than 0.
The derivative of π ~ M * with respect to α is
π ~ M * α = α v γ v + k v 2 2 k v γ c β 2 v γ 2 c k v 2 β 2 v
Under the mixed model, if c > c ¯ , π ~ M * > π M * . When c > c ¯ , we can calculate that α v γ v + k v 2 2 k v γ c β 2 v γ > 0 , thus π ~ M * α > 0 .
When α increases, the optimal profit under the subscription model gradually decreases, while the optimal profit under the hybrid model gradually increases. Therefore, as α increases, the profit under the mixed model will gradually surpass the profit under the subscription model, leading to a shift in the platform’s business model. □
Proof of Proposition 4. 
The derivative of π S * with respect to β is π S * β = c v 2 α γ 2 k v + k α γ + α γ 2 β 3 α + γ 2 v + α γ 2 . The derivative of π M * with respect to β is π M * β = β c v 2 α 2 α γ 2 k v 2 k α γ 2 A c 2 β 2 v + α γ 2 . The derivative of π ~ M * with respect to β is π ~ M * β = β c α γ k v 2 2 c k v β 2 2 . And it is easy to see that π S * β , π M * β and π ~ M * β are both greater than 0.
Besides, we can prove that c S M β > 0 and c ~ S M β > 0 , so when consumer’s desire for original content increases, the cost threshold for the platform to move from the subscription model to the mixed model gradually increases. This could lead to a situation where the platform’s cost coefficient no longer being above the threshold, hence prompting a shift from the mixed model back to the subscription model. □
Proof of Lemma 4. 
Under the assumption that free users are allowed to watch a proportion of the original content, the interior solution of platform’s optimization problem is given by: p s ' * = 2 v v + α γ k 2 1 η k η α γ α β x + 2 α γ k v + β x 2 1 η k v β x 4 k v + α γ α γ 2 , n a ' * = k v α + γ + 2 η k α β x 1 η α γ β x 4 k v + α γ α γ 2 .
When k < k ^ = α + γ v η v + α γ α γ v η v + 2 η α η α 2 v + 2 α γ γ v , to ensure that all constraints are satisfied simultaneously, x must meet the condition 0 < x < v α γ k v + k α γ + α γ β α + γ v η v + α γ 2 η α v + α γ k 2 η α 2 γ . Otherwise, when x > v α γ k v + k α γ + α γ β α + γ v η v + α γ 2 η α v + α γ k 2 η α 2 γ , we find that p a < 0 , the platform is not able to charge for advertising. Consequently, the platform will stop providing the free service and opt for the purely subscription-based business model. Plugging n a = 0 into the profit function, we can derive the optimal price under the subscription model as p ^ s ' * = v + β x + k v 2 .
When k > k ^ , unlike the baseline model, we find that n a x > 0 . In this case, for n a to be lower than 1, x need to be lower than 4 k v + α γ k v α + γ α γ 2 2 η k α 1 η α γ , which is lower than the above threshold for x as v α γ k v + k α γ + α γ β α + γ v η v + α γ 2 η α v + α γ k 2 η α 2 γ when k > k ^ . Thus, to ensure that all constraints are satisfied simultaneously at this time, x must meet the condition 0 < x < 4 k v + α γ k v α + γ α γ 2 2 η k α 1 η α γ . Otherwise, when x > 4 k v + α γ k v α + γ α γ 2 2 η k α 1 η α γ , the platform cannot continue to increase the intensity of advertising and can only maintain its maximum value. Plugging n a = 1 into the profit function, we can derive the optimal subscription price as p ~ s ' * = α + γ + k v + 1 η β x 2 . □
Proof of Proposition 5. 
In order to make the profit maximization problem have an interior solution, we assume that the cost coefficient c satisfies the condition c > α β 2 1 η η k v η v + α γ B .
When k < k ^ , the platform only chooses between the subscription model and the mixed model with moderate advertising intensity. The relationship between the difference in optimal profits under the two choices is π S ' * π M ' * c < 0 and there exists c = c S M ' that makes π S ' * = π M ' * . Thus, when c < c S M ' , π S ' * > π M ' * , the platform will choose the subscription model and obtain the maximum profit. And when c > c S M ' , π S ' * < π M ' * , the platform will choose the mixed model with moderate advertising intensity to maximize its profit.
When k > k ^ , the platform always chooses the mixed model and determines the advertising intensity. When c = c ' = β 2 η α v η v + 2 η α k 1 η α v η α v 2 v + 2 η v + 2 η α 2 2 α γ v 4 v + 4 α γ α v γ v k α γ 2 , the platform achieves the same profit under different advertising intensity strategies. Similarly, we can prove that when c > c ' , π M ' * > π ~ M ' * , and when c < c ' , π M ' * < π ~ M ' * . □

References

  1. Carroni, E.; Paolini, D. Business Models for Streaming Platforms: Content Acquisition, Advertising and Users. Inf. Econ. Policy 2020, 52, 100877. [Google Scholar] [CrossRef]
  2. Chiang, I.R.; Jhang-Li, J.-H. Competition through Exclusivity in Digital Content Distribution. Prod. Oper. Manag. 2020, 29, 1270–1286. [Google Scholar] [CrossRef]
  3. Does Original Content Help Streaming Services Attract More Subscribers? Available online: https://hbr.org/2018/04/does-original-content-help-streaming-services-attract-more-subscribers (accessed on 24 April 2018).
  4. Netflix Has Almost Already Paid for “House of Cards” in New Subscribers. Available online: https://www.theatlantic.com/technology/archive/2013/04/netflix-subscribers-house-of-cards/316041/ (accessed on 22 April 2013).
  5. Netflix Reverses Subscriber Decline with Help from Stranger Things and Dahmer. Available online: https://www.theguardian.com/media/2022/oct/18/netflix-subscribers-stranger-things-dahmer (accessed on 18 October 2022).
  6. China’s iQIYI to Drive Subscription With Original Content. Available online: https://variety.com/2015/film/asia/iqiyi-to-drive-subscription-with-original-content-1201618468/ (accessed on 14 October 2015).
  7. iQiYi’s Content Investment Set to Pass China’s Top Broadcasters. Available online: https://www.ampereanalysis.com/insight/iqiyis-content-investment-set-to-pass-chinas-top-broadcasters (accessed on 2 April 2019).
  8. iQIYI Reaches 100 Million Total Subscribing Members Milestone. Available online: https://www.globenewswire.com/en/news-release/2019/06/24/1872777/0/en/iQIYI-Reaches-100-million-Total-Subscribing-Members-Milestone.html (accessed on 24 June 2019).
  9. Scarlata, A.; Douglas, J.; Lobato, R. Subscription Video-on-Demand (SVOD) Original Production in Australia: Evolution or Revolution? Media Int. Aust. 2022, 1–16. [Google Scholar] [CrossRef]
  10. Lad, A.; Butala, S.; Bide, P. A Comparative Analysis of Over-the-Top Platforms: Amazon Prime Video and Netflix.; Springer, 2019; pp. 283–299.
  11. Eisenmann, T.; Parker, G.; Van Alstyne, M.W. Strategies for Two-Sided Markets. Harv. Bus. Rev. 2006, 84, 92–101. [Google Scholar]
  12. Parker, G.G.; Van Alstyne, M.W. Two-Sided Network Effects: A Theory of Information Product Design. Manag. Sci. 2005, 51, 1494–1504. [Google Scholar] [CrossRef]
  13. Rochet, J.-C.; Tirole, J. Platform Competition in Two-Sided Markets. J. Eur. Econ. Assoc. 2003, 1, 990–1029. [Google Scholar] [CrossRef]
  14. Weeds, H. TV Wars: Exclusive Content and Platform Competition in Pay TV. Econ. J. 2016, 126, 1600–1633. [Google Scholar] [CrossRef]
  15. Wu, C.-H.; Chiu, Y.-Y. Pricing and Content Development for Online Media Platforms Regarding Consumer Homing Choices. Eur. J. Oper. Res. 2023, 305, 312–328. [Google Scholar] [CrossRef]
  16. Armstrong, M. Competition in Two-Sided Markets. Rand J. Econ. 2006, 37, 668–691. [Google Scholar] [CrossRef]
  17. Anderson, E.G.; Parker, G.G.; Tan, B. Platform Performance Investment in the Presence of Network Externalities. Inf. Syst. Res. 2014, 25, 152–172. [Google Scholar] [CrossRef]
  18. Rochet, J.-C.; Tirole, J. Two-Sided Markets: A Progress Report. Rand J. Econ. 2006, 37, 645–667. [Google Scholar] [CrossRef]
  19. Armstrong, M.; Wright, J. Two-Sided Markets, Competitive Bottlenecks and Exclusive Contracts. Econ. Theor. 2007, 32, 353–380. [Google Scholar] [CrossRef]
  20. Caillaud, B.; Jullien, B. Chicken & Egg: Competition among Intermediation Service Providers. Rand J. Econ. 2003, 34, 309–328. [Google Scholar] [CrossRef]
  21. Wilbur, K.C. A Two-Sided, Empirical Model of Television Advertising and Viewing Markets. Mark. Sci. 2008, 27, 356–378. [Google Scholar] [CrossRef]
  22. Argentesi, E.; Filistrucchi, L. Estimating Market Power in a Two-sided Market: The Case of Newspapers. J. Appl. Econom. 2007, 22, 1247–1266. [Google Scholar] [CrossRef]
  23. Anderson, S.P.; Coate, S. Market Provision of Broadcasting: A Welfare Analysis. Rev. Econ. Stud. 2005, 72, 947–972. [Google Scholar] [CrossRef]
  24. Peitz, M.; Valletti, T.M. Content and Advertising in the Media: Pay-Tv versus Free-to-Air. Int. J. Ind. Organ. 2008, 26, 949–965. [Google Scholar] [CrossRef]
  25. Godes, D.; Ofek, E.; Sarvary, M. Content vs. Advertising: The Impact of Competition on Media Firm Strategy. Mark. Sci. 2009, 28, 20–35. [Google Scholar] [CrossRef]
  26. Athey, S.; Calvano, E.; Gans, J.S. The Impact of Consumer Multi-Homing on Advertising Markets and Media Competition. Manag. Sci. 2018, 64, 1574–1590. [Google Scholar] [CrossRef]
  27. Chatterjee, P.; Zhou, B. Sponsored Content Advertising in a Two-Sided Market. Manag. Sci. 2021, 67, 7560–7574. [Google Scholar] [CrossRef]
  28. Dietl, H.; Lang, M.; Lin, P. Advertising Pricing Models in Media Markets: Lump-Sum versus per-Consumer Charges. Inf. Econ. Policy 2013, 25, 257–271. [Google Scholar] [CrossRef]
  29. Kind, H.J.; Nilssen, T.; Sørgard, L. Business Models for Media Firms: Does Competition Matter for How They Raise Revenue? Mark. Sci. 2009, 28, 1112–1128. [Google Scholar] [CrossRef]
  30. Reisinger, M. Platform Competition for Advertisers and Users in Media Markets. Int. J. Ind. Organ. 2012, 30, 243–252. [Google Scholar] [CrossRef]
  31. Prasad, A.; Mahajan, V.; Bronnenberg, B. Advertising versus Pay-per-View in Electronic Media. Int. J. Res. Mark. 2003, 20, 13–30. [Google Scholar] [CrossRef]
  32. Fan, M.; Kumar, S.; Whinston, A.B. Selling or Advertising: Strategies for Providing Digital Media Online. J. Manag. Inf. Syst. 2007, 24, 143–166. [Google Scholar] [CrossRef]
  33. Zennyo, Y. Freemium Competition among Ad-Sponsored Platforms. Inf. Econ. Policy 2020, 50, 100848. [Google Scholar] [CrossRef]
  34. Lin, S. Two-Sided Price Discrimination by Media Platforms. Mark. Sci. 2020, 39, 317–338. [Google Scholar] [CrossRef]
  35. Amaldoss, W.; Du, J.; Shin, W. Media Platforms’ Content Provision Strategies and Sources of Profits. Mark. Sci. 2021, 40, 527–547. [Google Scholar] [CrossRef]
  36. Dou, G.; He, P.; Xu, X. One-Side Value-Added Service Investment and Pricing Strategies for a Two-Sided Platform. Int. J. Prod. Res. 2016, 54, 3808–3821. [Google Scholar] [CrossRef]
  37. Hagiu, A.; Spulber, D. First-Party Content and Coordination in Two-Sided Markets. Manag. Sci. 2013, 59, 933–949. [Google Scholar] [CrossRef]
  38. Li, S.; Luo, Q.; Qiu, L.; Bandyopadhyay, S. Optimal Pricing Model of Digital Music: Subscription, Ownership or Mixed? Prod. Oper. Manag. 2020, 29, 688–704. [Google Scholar] [CrossRef]
  39. Rong, K.; Xiao, F.; Zhang, X.; Wang, J. Platform Strategies and User Stickiness in the Online Video Industry. Technol. Forecast. Soc. Change 2019, 143, 249–259. [Google Scholar] [CrossRef]
Figure 1. The distribution of users.
Figure 1. The distribution of users.
Preprints 156258 g001
Figure 2. Comparison of the optimal profits under different business models when L < 0 .
Figure 2. Comparison of the optimal profits under different business models when L < 0 .
Preprints 156258 g002
Figure 3. Comparison of the optimal profits under different business models when L > 0 .
Figure 3. Comparison of the optimal profits under different business models when L > 0 .
Preprints 156258 g003
Figure 4. Comparison of optimal profits under different marginal revenue of advertisers.
Figure 4. Comparison of optimal profits under different marginal revenue of advertisers.
Preprints 156258 g004
Figure 5. Comparison of optimal profits under different marginal value of original content.
Figure 5. Comparison of optimal profits under different marginal value of original content.
Preprints 156258 g005
Figure 6. Comparison of optimal profits under different business models when k < k ^ .
Figure 6. Comparison of optimal profits under different business models when k < k ^ .
Preprints 156258 g006
Figure 7. Comparison of optimal profits under different business models when k > k ^ .
Figure 7. Comparison of optimal profits under different business models when k > k ^ .
Preprints 156258 g007
Disclaimer/Publisher’s Note: The statements, opinions and data contained in all publications are solely those of the individual author(s) and contributor(s) and not of MDPI and/or the editor(s). MDPI and/or the editor(s) disclaim responsibility for any injury to people or property resulting from any ideas, methods, instructions or products referred to in the content.
Copyright: This open access article is published under a Creative Commons CC BY 4.0 license, which permit the free download, distribution, and reuse, provided that the author and preprint are cited in any reuse.
Prerpints.org logo

Preprints.org is a free preprint server supported by MDPI in Basel, Switzerland.

Subscribe

Disclaimer

Terms of Use

Privacy Policy

Privacy Settings

© 2026 MDPI (Basel, Switzerland) unless otherwise stated