Submitted:
18 March 2025
Posted:
18 March 2025
You are already at the latest version
Abstract
Keywords:
1. Introduction
2. Methods
2.1. Study Population
2.2. Cardio-Pulmonary Tests
- Spirometry
- DLCO
- Six Minute Walking Test
- Right Heart Catheterization
2.3. Data Analysis
- Unsupervised and supervised analysis
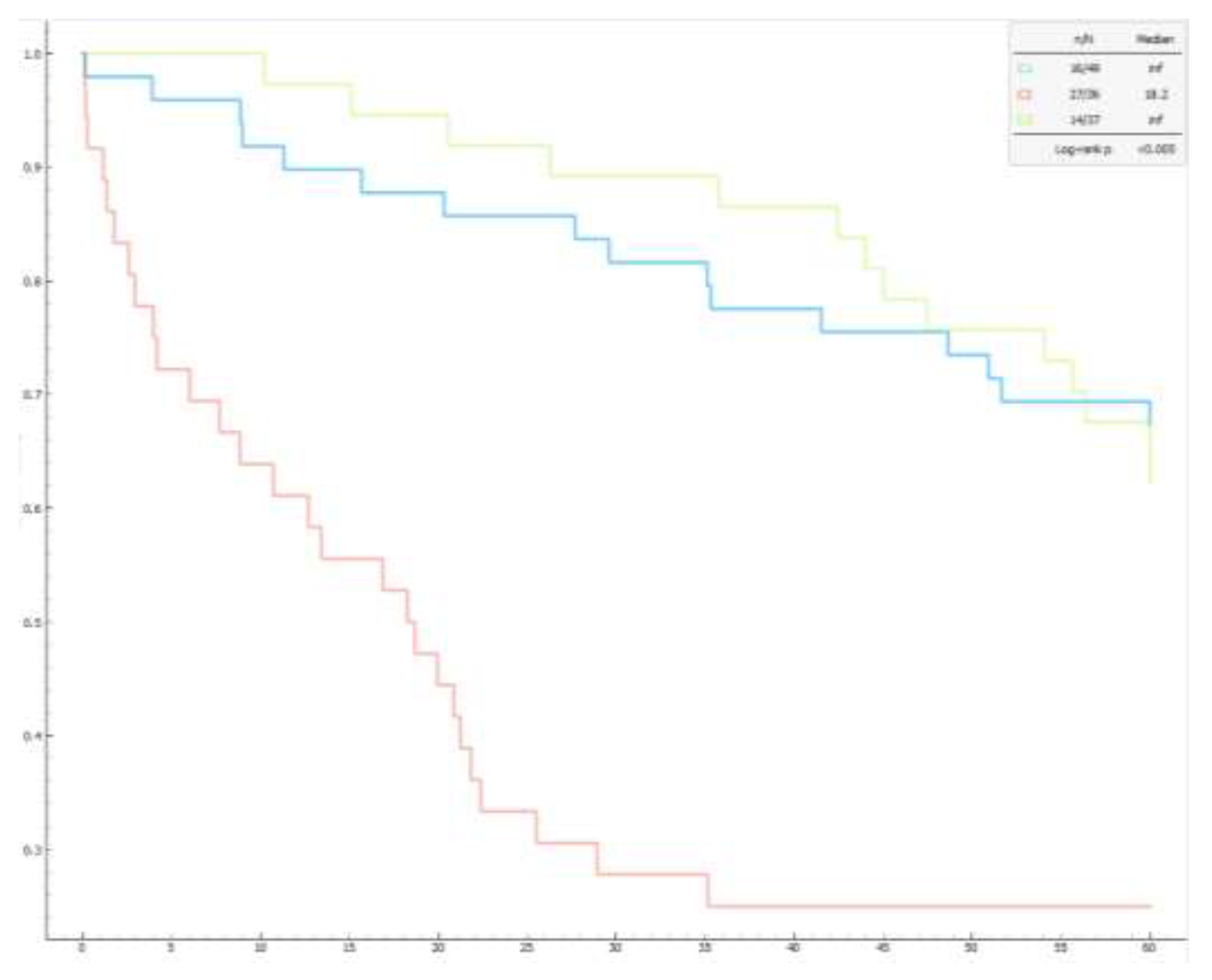
3. Results
4. Discussion
Limitations
5. Conclusions
References
- Pepke-Zaba J, Quint JK, Rådegran G, Simonneau G, Sitbon O, Tonia T, Toshner M, Vachiery JL, Vonk Noordegraaf A, Delcroix M, Rosenkranz S; ESC/ERS Scientific Document Group. 2022 ESC/ERS Guidelines for the diagnosis and treatment of pulmonary hypertension. Eur Respir J. 2023, 61, 2200879. [Google Scholar] [CrossRef] [PubMed]
- Kovacs G, Bartolome S, Denton CP, et al. Definition, classification and diagnosis of pulmonary hypertension. Eur Respir J 2024, 64, 2401324. [Google Scholar] [CrossRef]
- Rose-Jones LJ and McLaughlin, VV. Pulmonary hypertension:types and treatments. Curr Cardiol Rev, 2015; 11, 73–79. [Google Scholar]
- Coghlan JG, Denton CP, Grünig E, Bonderman D, Distler O, Khanna D, Müller-Ladner U, Pope JE, Vonk MC, Doelberg M, Chadha-Boreham H, Heinzl H, Rosenberg DM, McLaughlin VV, Seibold JR; DETECT study group. Evidence-based detection of pulmonary arterial hypertension in systemic sclerosis: the DETECT study. Ann Rheum Dis. 2014, 73, 1340–1349. [Google Scholar] [CrossRef]
- Boon GJAM, Ende-Verhaar YM, Bavalia R, El Bouazzaoui LH, Delcroix M, Dzikowska-Diduch O, Huisman MV, Kurnicka K, Mairuhu ATA, Middeldorp S, Pruszczyk P, Ruigrok D, Verhamme P, Vliegen HW, Vonk Noordegraaf A, Vriend JWJ, Klok FA; InShape II study group. Non-invasive early exclusion of chronic thromboembolic pulmonary hypertension after acute pulmonary embolism: the InShape II study. Thorax. 2021, 76, 1002–1009. [Google Scholar] [CrossRef] [PubMed]
- Siontis KC, Noseworthy PA, Attia ZI, Friedman PA. Artificial intelligence-enhanced electrocardiography in cardiovascular disease management. Nat Rev Cardiol. 2021, 18, 465–478. [Google Scholar] [CrossRef]
- Tison GH, Zhang J, Delling FN, Deo RC. Automated and Interpretable Patient ECG Profiles for Disease Detection, Tracking, and Discovery. Circ Cardiovasc Qual Outcomes. 2019, 12, e005289. [Google Scholar] [CrossRef]
- Bergemann R, Allsopp J, Jenner H, Daniels FA, Drage E, Samyshkin Y, Schmitt C, Wood S, Kiely DG, Lawrie A; SPHInX Project team. High levels of healthcare utilization prior to diagnosis in idiopathic pulmonary arterial hypertension support the feasibility of an early diagnosis algorithm: the SPHInX project. Pulm Circ. 2018, 8, 2045894018798613. [Google Scholar]
- Kiely DG, Doyle O, Drage E, Jenner H, Salvatelli V, Daniels FA, Rigg J, Schmitt C, Samyshkin Y, Lawrie A, Bergemann R. Utilising artificial intelligence to determine patients at risk of a rare disease: idiopathic pulmonary arterial hypertension. Pulm Circ. 2019, 9, 2045894019890549. [Google Scholar]
- Miller MR, Hankinson J, Brusasco V, Burgos F, Casaburi R, Coates A, Crapo R, Enright P, van der Grinten CP, Gustafsson P, Jensen R, Johnson DC, MacIntyre N, McKay R, Navajas D, Pedersen OF, Pellegrino R, Viegi G, Wanger J; ATS/ERS Task Force. Standardisation of spirometry. Eur Respir J. 2005, 26, 319–338. [Google Scholar] [CrossRef]
- Graham BL, Brusasco V, Burgos F, Cooper BG, Jensen R, Kendrick A, MacIntyre NR, Thompson BR, Wanger J. 2017 ERS/ATS standards for single-breath carbon monoxide uptake in the lung. Eur Respir J. 2017, 49, 1600016. [Google Scholar] [CrossRef]
- ATS Committee on Proficiency Standards for Clinical Pulmonary Function Laboratories. ATS statement: guidelines for the six-minute walk test. Am J Respir Crit Care Med. 2002, 166, 111–117. [Google Scholar] [CrossRef]
- SPSS Software | IBM. https://www.ibm.com/spss (2024).
- Orange Data Mining. https://orangedatamining.com/.
- Hoeper MM, Humbert M, Souza R, et al. A global view of pulmonary hypertension. Lancet Respir Med. 2016, 4, 306–322. [Google Scholar] [CrossRef] [PubMed]
- Stacy A. Mandras, Hirsch S. Mehta, Anjali Vaidya, Pulmonary Hypertension: A Brief Guide for Clinicians,.
- Mayo Clinic Proceedings, Volume 95, Issue 9, 2020, Pages 1978-1988, ISSN 0025-6196.
- Osterberg L, Blaschke T. Adherence to medication. N Engl J Med 2005, 353, 487–497. [Google Scholar] [CrossRef]
- Early detection and management of pulmonary arterial hypertension. Marc Humbert J. Gerry Coghlan Dinesh Khanna European Respiratory Review 2012, 21, 306–312.
- Janssens JP, Pache JC, Nicod LP. Physiological changes in respiratory function associated with ageing. Eur Respir J 1999, 13, 197–205. [Google Scholar] [CrossRef]
- Knudson RJ, Slatin RC, Lebowitz MD, et al. The maximal expiratory flow±volume curve: normal stand-ards, variability, effects of age. Am Rev Respir Dis 1976, 113, 587–599. [Google Scholar]
- Pulmonary hypertension in the elderly: a different disease? Grégory Berra Stéphane Noble Paola M. Soccal Show More Breathe 2016, 12, 43–49.
- Pescatore J, Bittner M, D'Alonzo G, Weaver S, Gayen S. Predictors of Mortality in Pulmonary Hypertension-Associated Chronic Lung Disease. J Clin Med. 2024, 13, 3472. [Google Scholar] [CrossRef] [PubMed] [PubMed Central]
- Guazzi M, Galiè N. Pulmonary hypertension in left heart disease. Eur Respir Rev. 2012, 21, 338–346. [Google Scholar] [CrossRef] [PubMed] [PubMed Central]
- Benza, Raymond L. et al. The REVEAL Registry Risk Score Calculator in Patients Newly Diagnosed With Pulmonary Arterial Hypertension CHEST, Volume 141, Issue 2, 354 – 362.
- Hoeper, M. M.; et al. Idiopathic pulmonary arterial hypertension phenotypes determined by cluster analysis from the COMPERA registry. J. Heart Lung Transplant. 2020, 39, 1435–1444. [Google Scholar] [CrossRef]
- Benza RL, Kanwar MK, Raina A, Scott JV, Zhao CL, Selej M, Elliott CG, Farber HW. Development and Validation of an Abridged Version of the REVEAL 2.0 Risk Score Calculator, REVEAL Lite 2, for Use in Patients With Pulmonary Arterial Hypertension. Chest. 2021, 159, 337–346. [Google Scholar] [CrossRef] [PubMed]
- Hoeper MM, Kramer T, Pan Z, Eichstaedt CA, Spiesshoefer J, Benjamin N, Olsson KM, Meyer K, Vizza CD, Vonk-Noordegraaf A, Distler O, Opitz C, Gibbs JSR, Delcroix M, Ghofrani HA, Huscher D, Pittrow D, Rosenkranz S, Grünig E. Mortality in pulmonary arterial hypertension: prediction by the 2015 European pulmonary hypertension guidelines risk stratification model. Eur Respir J. 2017, 50, 1700740. [Google Scholar] [CrossRef]
- Kylhammar D, Kjellström B, Hjalmarsson C, Jansson K, Nisell M, Söderberg S, Wikström G, Rådegran G. A comprehensive risk stratification at early follow-up determines prognosis in pulmonary arterial hypertension. Eur Heart J. 2018, 39, 4175–4181. [Google Scholar] [CrossRef] [PubMed]
- Boucly A, Weatherald J, Savale L, Jaïs X, Cottin V, Prevot G, Picard F, de Groote P, Jevnikar M, Bergot E, Chaouat A, Chabanne C, Bourdin A, Parent F, Montani D, Simonneau G, Humbert M, Sitbon O. Risk assessment, prognosis and guideline implementation in pulmonary arterial hypertension. Eur Respir J. 2017, 50, 1700889. [Google Scholar] [CrossRef]
- Benza RL, Gomberg-Maitland M, Elliott CG, Farber HW, Foreman AJ, Frost AE, et al. Predicting survival in patients with pulmonary arterial hypertension: the REVEAL risk score calculator 2.0 and comparison with ESC/ERS-based risk assessment strategies. Chest 2019, 156, 323–337. [Google Scholar] [CrossRef]
- Benza RL, Kanwar MK, Raina A, Scott JV, Zhao CL, Selej M, et al. Development and validation of an abridged version of the REVEAL 2.0 risk score calculator, REVEAL Lite 2, for use in patients with pulmonary arterial hypertension. Chest 2021, 159, 337–346. [Google Scholar] [CrossRef] [PubMed]
- Dwivedi K, Sharkey M, Delaney L, Alabed S, Rajaram S, Hill C, Johns C, Rothman A, Mamalakis M, Thompson AAR, Wild J, Condliffe R, Kiely DG, Swift AJ. Improving Prognostication in Pulmonary Hypertension Using AI-quantified Fibrosis and Radiologic Severity Scoring at Baseline CT. Radiology. 2024, 310, e231718. [Google Scholar] [CrossRef]
- Imai S, Sakao S, Nagata J, Naito A, Sekine A, Sugiura T, Shigeta A, Nishiyama A, Yokota H, Shimizu N, Sugawara T, Nomi T, Honda S, Ogaki K, Tanabe N, Baba T, Suzuki T. Artificial intelligence-based model for predicting pulmonary arterial hypertension on chest x-ray images. BMC Pulm Med. 2024, 24, 101. [Google Scholar]
- Hirata Y, Tsuji T, Kotoku J, Sata M, Kusunose K. Echocardiographic artificial intelligence for pulmonary hypertension classification. Heart. 2024, 110, 586–593. [Google Scholar] [CrossRef]
- Liu CM, Shih ESC, Chen JY, Huang CH, Wu IC, Chen PF, Higa S, Yagi N, Hu YF, Hwang MJ, Chen SA. Artificial Intelligence-Enabled Electrocardiogram Improves the Diagnosis and Prediction of Mortality in Patients With Pulmonary Hypertension. JACC Asia. 2022, 2, 258–270. [Google Scholar] [CrossRef]


| Clinical Parameters | N=122 |
|---|---|
| Age (years) | 67,13±11,64 |
| Male (%) | 52% |
| PH Group 1,2,4,5 (%) | 69% |
| PH Group 3 (%) | 31% |
| FVC (%) | 77,56±19,10 |
| FEV1 (%) | 73,12±18,23 |
| FEV1/FVC (%) | 76,40±13,20 |
| DLCO (%) | 48,20±18,92 |
| DLCO/VA (%) | 74,18±21,95 |
| FVC/DLCO (%) | 1,84±0,67 |
| sPAP (mmHg) | 68,72±21,95 |
| mPAP (mmHg) | 39,46±12,46 |
| PCWP (mmHg) | 14,60±6,40 |
| CI (Lmin-1mt-2) | 2,69±1,09 |
| RAP (mmHg) | 11,55±6,26 |
| PVR (Wu) | 5,83±3,86 |
| TPG (mmHg) | 24,83±13,46 |
| 6MWT_(mt) | 276,21±119,31 |
| WHO functional class (n) | 2,96±0,73 |
| Number of drugs (n) | 1,25±0,98 |
| Exitus (%) | 47% |
| Months of survival (n) | 43,03±22,25 |
| Cluster 1 N=49 |
Cluster 2 N=36 |
Cluster 3 N=37 |
P | |
|---|---|---|---|---|
| Age (years) | 68,57±10,54 b | 71,36±8,32 c | 61,11±13,50 b, c | <0,001 |
| Male (%) | 43% | 50% | 65% | 0,128 |
| PH Group 1,2,4,5 (%) | 69% | 56% | 81% | 0,063 |
| PH Group 3 (%) | 31% | 44% | 19% | 0,063 |
| FVC (%) | 83,34±19,40 a | 68,01±12,66 a, c | 79,18±20,71 c | 0,001 |
| FEV1 (%) | 78,78±21,54 a | 68,12±10,20 a | 70,51±17,91 | 0,015 |
| FEV1/FVC (%) | 76,15±13,29 | 82,33±9,98 c | 70,96±13,70 c | 0,001 |
| DLCO (%) | 58,82±20,91 a, b | 38,15±11,50 a | 43,91±14,78 b | <0,001 |
| DLCO/VA (%) | 81,49±20,33 a | 66,46±18,81a | 72,03±24,23 | 0,005 |
| FVC/DLCO (%) | 1,66±0,55 | 1,93±0,57 | 2,00±0,85 | 0,044 |
| sPAP (mmHg) | 55,24±16,72 a, b | 72,64±19,79 a | 82,76±20,02 b | <0,001 |
| mPAP (mmHg) | 30,22±7,64 a, b | 42,50±9,67 b, c | 48,72±11,80 c | <0,001 |
| PCWP (mmHg) | 15,09±6,80 | 16,35±6,84 c | 12,24±4,63 c | 0,017 |
| CI (Lmin-1mt-2) | 3,23±1,45 a, b | 2,33±0,43 a | 2,32±0,60 b | <0,001 |
| RAP (mmHg) | 9,56±4,95 a | 15,29±8,06 a, c | 10,55±3,95 c | <0,001 |
| PVR (Wu) | 3,17±1,54 a, b | 6,59±2,96 a, c | 8,61±4,51 b, c | <0,001 |
| TPG (mmHg) | 15,32±7,64 a, b | 25,95±12,21 a, c | 36,32±11,24 b, c | <0,001 |
| 6MWT (mt) | 318,38±130,34 a | 219,09±79,82 a | 275,95±115,40 | 0,001 |
| WHO functional class (n) | 2,61±0,84 a, b | 3,18±0,49 a | 3,22±0,58 b | <0,001 |
| Number of drugs (n) | 0,71±0,79 b | 1,08±0,81 c | 2,14±0,71 b, c | <0,001 |
| Exitus (%) | 33% a | 75% a, c | 38% c | <0,001 |
| Months of survival (n) | 49,58±18,46 a | 24,10±22,76 a, c | 52,78±13,81 c | <0,001 |
Disclaimer/Publisher’s Note: The statements, opinions and data contained in all publications are solely those of the individual author(s) and contributor(s) and not of MDPI and/or the editor(s). MDPI and/or the editor(s) disclaim responsibility for any injury to people or property resulting from any ideas, methods, instructions or products referred to in the content. |
© 2025 by the authors. Licensee MDPI, Basel, Switzerland. This article is an open access article distributed under the terms and conditions of the Creative Commons Attribution (CC BY) license (http://creativecommons.org/licenses/by/4.0/).