Submitted:
17 March 2025
Posted:
18 March 2025
You are already at the latest version
Abstract
Keywords:
1. Introduction
2. 210Pb Cycling in Nature and the Rise of Dating Models
3. The Porous Media of Recent Sediments
3.1. Bulk Density and Early Compaction
3.2. The Continuity Equation for a Particle-Bound Radiotracer in Porous and Accreting Sediments Under Early Compaction
3.3. Composite Fluxes of Tracers and Kinetic Reactive Transport in the Porous Media of Aquatic Sediments
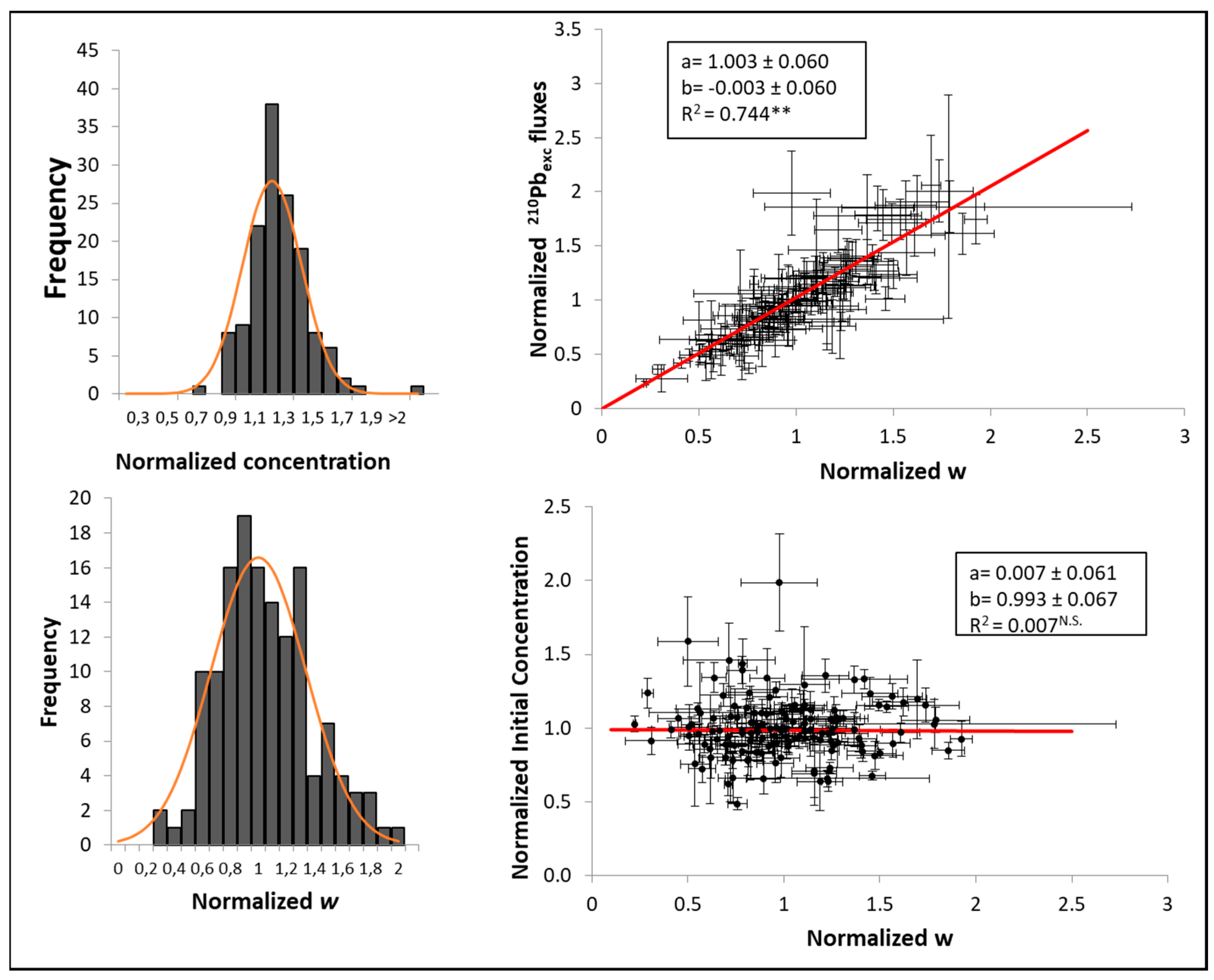
4. The Empirical Dataset
5. Overview of 210Pb-Based Dating Models
6. Models for Continuous Media, Ideal Deposition, and Non-Post-Depositional Redistribution
6.1. A Single Transect in the Ln[A(m)] Plot
6.1.1. Models Assuming a Constant Flux
6.1.2. Models Assuming a Constant SAR
6.1.3. Models Assuming a Constant Initial Activity Concentration,
6.1.4. Model Errors
6.1.5. Models Assuming Varying Fluxes, SARs and
6.2. Multiple Transects
6.3. Models Using Time Marks as an Integral Part of Their Formulation
6.3.1. Models Using Attractors
6.3.2. The CRS Model with Reference Dates
6.4. Models for Time Marker Radionuclides
7. Models for Continuous Media, Ideal Deposition, with Diffusion and Mixing
7.1. Steady-State Models Under Constant Flux and SAR
7.2. Models for Time-Markers Radionuclides Including Diffusion
7.3. Numerical Solutions of the Diagenetic Equation
8. Continuous Media with Non-Ideal Deposition
9. Models for Polyphasic Media
9.1. Reactive Transport with Local Equilibrium in a Two-Phases Sediment
9.2. Model for the Kinetic Reactive Transport in the SWI Region
9.3. Vegetated Coastal Sediments
10. Special Cases
11. Summary and Conclusions
Funding
Data Availability Statement
Acknowledgments
Conflicts of Interest
References
- Aalto, R.; Nittrouer, C.A. 210Pb geochronology of flood events in large tropical river systems. Phil. Trans. R. Soc. A 2012, 370, 2040–2074. [Google Scholar] [CrossRef] [PubMed]
- Abril, J.M. Basic microscopic theory of the distribution, transfer and uptake kinetics of dissolved radionuclides by suspended particulate matter. Part I: theory development. J. Environ. Radioact. 1998, 41, 307–324. [Google Scholar] [CrossRef]
- Abril, J.M. Basic microscopic theory of the distribution, transfer and uptake kinetics of dissolved radionuclides by suspended particulate matter. Part II: applications. J. Environ. Radioact. 1998, 41, 325–341. [Google Scholar] [CrossRef]
- Abril, J.M. A new theoretical treatment of compaction and the advective-diffusive processes in sediments. A reviewed basis for radiometric dating models. J. Paleolimnol. 2003, 30, 363–370. [Google Scholar] [CrossRef]
- Abril, J.M. Difficulties in interpreting fast mixing in the radiometric dating of sediments using 210Pb and 137Cs. J. Paleolimnol. 2003, 30, 407–414. [Google Scholar] [CrossRef]
- Abril, J.M. Constraints on the use of Cs-137 as a timemarker to support CRS and SIT chronologies. Environ. Pollut. 2004, 129, 31–37. [Google Scholar] [CrossRef]
- Abril, J.M. Could bulk density profiles provide information about recent sedimentation rates? J. Paleolimnol. 2011, 46, 173–186 30. [Google Scholar] [CrossRef]
- Abril, J.M. Why would we use the Sediment Isotope Tomography (SIT) model to establish a 210Pb-based chronology in recent-sediment cores? J. Environ. Radioact. 2015, 143, 40–46. [Google Scholar] [CrossRef]
- Abril, J.M. A 210Pb-based chronological model for recent sediments with random entries of mass and activities: Model development. J. Environ. Radioact. 2016, 151, 64–74. [Google Scholar] [CrossRef]
- Abril, J.M. Radiometric dating of recent sediments: On the performance of 210Pb-based CRS chronologies under varying rates of supply. Quat. Geochronol. 2019, 51, 1–14. [Google Scholar] [CrossRef]
- Abril, J.M. Multimodal-TERESA, a 210Pb-based radiometric dating model for recent sediments under largely varying rates of supply. Quat. Geochronol. 2020, 55, 101032. [Google Scholar] [CrossRef]
- Abril, J.M. Kinetic reactive transport explains distinct subsurface deposition patterns of pollutants in sediments. The case of the Sellafield-derived 236U, 137Cs and 239,240Pu in the Esk Estuary, UK. Environ. Pollut. 2023, 323, 121244. [Google Scholar] [CrossRef]
- Abril, J.M. 210Pb-based dating of recent sediments with the χ-mapping version of the Constant Sediment Accumulation Rate (CSAR) model. J. Environ. Radioact 2023, 268–269, 107247. [Google Scholar] [CrossRef]
- Abril, J.M. Pb-dating of sediments with models assuming a constant flux: CFCS, CRS, PLUM, and the novel χ-mapping. Review, performance tests, and guidelines. J. Environ. Radioact 2023, 268–269, 107248. [Google Scholar] [CrossRef]
- Abril, J.M. 210Pb-dating of recent sediments with the χ-mapping CF and CSAR models. On the attractors. J. Environ. Radioact. 2023, 270, 107314. [Google Scholar] [CrossRef] [PubMed]
- Abril, J.M. Assessment of the performance of sediments with χ 210 Pb-based dating of recent -mapping versions of the CFCS, CIC, CF and TERESA models. Quat. Geochronol. 2024, 79, 101484. [Google Scholar] [CrossRef]
- Abril, J.M. Assessment of the Performance of 210Pb-Based Dating Models with a Challenging Sediment History in Maryport Harbour (UK). Journal of Marine Science and Engineering 2025, 13, 144. [Google Scholar] [CrossRef]
- Abril, J.M.; Barros, H. Modelling the kinetic reactive transport of pollutants at the sediment-water interface. Applications with atmospheric fallout radionuclides. J. Environ. Radioact. 2022, 242, 106790. [Google Scholar] [CrossRef]
- Abril, J.M.; Brunskill, G.J. Evidence that excess 210Pb flux varies with sediment accumulation rate and implications for dating recent sediments. J. Paleolimnol. 2014, 52, 121–137. [Google Scholar] [CrossRef]
- Abril, J.M.; Gharbi, F. Radiometric dating of recent sediments: beyond the boundary conditions. J. Paleolimnol. 2012, 48, 449–460. [Google Scholar] [CrossRef]
- Abril, J.M.; García-León, M.; García-Tenorio, R.; Sánchez, C.I.; El- Daoushy, F. Dating of marine sediments by an incomplete mixing model. J. Environ. Radioact. 1992, 15, 135–151. [Google Scholar] [CrossRef]
- Abril, J.M.; García-León, M. The integrated atmospheric flux effect in a radiogeochronological model. J. Environ. Radioact. 1994, 24, 65–79. [Google Scholar] [CrossRef]
- Abril, J.M.; San Miguel, E.G.; Ruiz-Cánovas, C.; Casas-Ruiz, M.; Bolívar, J.P. From floodplain to aquatic sediments: Radiogeochronological fingerprints in a sediment core from the mining impacted Sancho Reservoir (SW Spain). Sci. Total Environ. 2018, 631–632, 866–878. [Google Scholar] [CrossRef] [PubMed]
- Allen, J.R.L. Morphodynamics of holocene salt marshes: a review sketch from the atlantic and southern north sea coast of europe. Quart. Sci. Rev. 2000, 19, 1155–1231. [Google Scholar] [CrossRef]
- Alonso-Hernández, C.M.; Díaz-Asencio, M.; Muñoz-Caravaca, A.; Delfanti, R.; Papucci, C.; Ferretti, O.; Crovato, C. Recent changes in sedimentation regime in Cienfuegos Bay, Cuba, as inferred from 210Pb and 137Cs vertical profiles. Cont. Shelf Res. 2006, 26, 153–167. [Google Scholar] [CrossRef]
- Alvarez-Iglesias, P.; Quintana, B.; Rubio, B.; Pérez-Arlucea, M. Sedimentation rates and trace metal input history in intertidal sediments from San Simón Bay (Ría de Vigo, NW Spain) derived from 210Pb and 137Cs chronology. J. Environ. Radioact. 2007, 98, 229–250. [Google Scholar] [CrossRef]
- Appleby, P.G. 1998. Dating recent sediments by 210Pb: Problems and solutions. In E. Ilus (Ed.), STUK-A145, Finland; pp. 7–24.
- Appleby, P.G. 2001. Chronostratigraphic techniques in recent sediments. In: Last W.L. and Smol J.P. (Eds) Tracking environmental change using lake sediments. Basin analysis, coring, and chronological techniques. Developments in paleoenvironmental research. Kluwer, Dordrecht. pp. 171–203.
- Appleby, P.G.; Oldfield, F. The calculation of lead-210 dates assuming a constant rate of supply of unsupported 210Pb to the sediment. Catena 1978, 5, 1–8. [Google Scholar] [CrossRef]
- Appleby, P.G.; Oldfield, F.; Thompson, R.; Huttunen, P.; Tolonen, K. Pb-210 dating of annually laminated lake sediments from Finland. Nature 1979, 280, 53–55. [Google Scholar] [CrossRef]
- Aquino-López, M.A.; Blaauw, M.; Christen, J.A.; Sanderson, N.K. Bayesian Analysis of 210Pb Dating. J. Agric. Biol. Environ. Stat. 2018, 23, 317–333. [Google Scholar] [CrossRef]
- Aquino-López, M.A.; Ruiz-Fernández, A.C.; Blaauw, M.; Sanchez-Cabeza, J.A. Comparing classical and Bayesian 210Pb dating models in human-impacted aquatic environments. Quat. Geochronol. 2020, 60, 101106. [Google Scholar] [CrossRef]
- Arias-Ortiz, A.; Masqué, P.; Garcia-Orellana, J.; Serrano, O.; Mazarrasa, I.; Marbà, N.; Lovelock, C.E.; Lavery, P.S.; Duarte, C.M.; 2018, Reviews and syntheses: 210Pb-derived sediment and carbon accumulation rates in vegetated coastal ecosystems: setting the record straight. Biogeoscience Discussions. [CrossRef]
- Barros, H.; Abril, J.M. Experimental and modelling study on the uptake and desorption kinetics of 133Ba by suspended estuarine sediments from southern Spain. Water research 2004, 38, 749–755. [Google Scholar] [CrossRef]
- Barros, H.; Abril, J.M. Kinetic box models for the uptake of radionuclides and heavy metals by suspended particulate matter: equivalence between models and its implications. J. Environ. Radioact. 2008, 99, 146–158. [Google Scholar] [CrossRef] [PubMed]
- Begy, R.-Cs, Simon, H.; Kelemen, Sz., Preoteasa, L. Investigation of sedimentation rates and sediment dynamics in Danube Delta lake system (Romania) by 210Pb dating method. J. Environ. Radioact. 2018, 192, 95–104. [CrossRef]
- Bevington, P.A.; Robinson, D.K. 2003. Data Reduction and Error Analysis for the Physical Sciences, 3rd Edition. McGraw-Hill, New York.
- Berner, R.A. 1971. Principles of chemical sedimentology. McGraw Hill, New York, 240 pp.
- Berner, R.A. 1980. Early Diagenesis: A Theoretical Approach. Princeton University Press, Princeton, NJ.
- Boer, W.; van den Bergh, G.D.; de Haas, H.; de Stigter, H.C.; Gieles, R.; van Weering, T.C.E. Validation of accumulation rates in Teluk Banten (Indonesia) from commonly applied 210Pb models, using the 1883 Krakatau tephra as time marker. Mar. Geol. 2006, 227, 263–277. [Google Scholar] [CrossRef]
- Børretzen, P.; Salbu, B. Estimation of apparent rate coefficients for radionuclides interacting with marine sediments from Novaya Zemlya. Sci. Total Environ. 2000, 262, 91–102. [Google Scholar] [CrossRef]
- Børretzen, P.; Salbu, B. Fixation of Cs to marine sediments estimated by a stochastic modelling approach. J. Environ. Radioact. 2002, 61, 1–20. [Google Scholar] [CrossRef] [PubMed]
- Botwe, B.O.; Abril, J.M.; Schirone, A.; Barsanti, M.; Delbono, I.; Delfanti, R.; Nyarko, E.; Lens, P.N.L. Settling fluxes and sediment accumulation rates by the combined use of sediment traps and sediment cores in Tema Harbour (Ghana). Sci. Tot. Environ. 2017, 609, 1114–1125. [Google Scholar] [CrossRef]
- Carroll, J.; Lerche, I. 2003. Sedimentary Processes: Quantification Using Radionuclides. Elsevier, Oxford.
- Chen, X.; Qiao, Q.; McGowan, S.; Zeng, L.; Stevenson, M.A.; Xu, L.; Huang, C.; Liang, J.; Cao, Y. Determination of geochronology and sedimentation rates of shallow lakes in the middle Yangtze reaches using 210Pb, 137Cs and spheroidal carbonaceous particles. Catena 2019, 174, 546–556. [Google Scholar] [CrossRef]
- Cuesta, E.; Barba-Lobo, A.; Lozano, R.L.; San Miguel, E.G.; Mosqueda, F.; Bolívar, J.P. A comparative study of alternative methods for 210Pb determination in environmental samples. Radiat. Phys. Chem. 2022, 191, 109840. [Google Scholar] [CrossRef]
- Crusius, J.; Anderson, R.F. Evaluating the mobility of 137Cs, Pu and Pb from their distributions in laminated lake sediments. J. Paleolim. 1995, 13, 119–141. [Google Scholar] [CrossRef]
- Dadey, K.A.; Janecek, T.; Klaus, A. Dry-bulk density: its use and determination. In: Taylor, B., Fujioka, K., et al. (Eds.), Proceedings of the Ocean Drilling Program, Scientific Results, 1992, 126, pp. 551–554.
- Díaz-Asencio, M.; Corcho-Alvarado, J. A.; Sánchez-Cabeza, J.A.; Ruiz-Fernández, C.; Eriksson, M. Reconstruction of Recent Sedimentary Processes in a Carbonate Platform (Gulf of Batabano, Cuba) Using Environmental Radiotracers. Estuaries and Coasts 2016, 39, 1020–1034. [Google Scholar] [CrossRef]
- Edelman-Furstenberg, Y.; Kidwell, S.M.; de Stigter, H.C. Mixing depths and sediment accumulation rates on an arid tropical shelf based on fine-fraction 210Pb analysis. Mar. Geol. 2020, 425, 106198. [Google Scholar] [CrossRef]
- Eisma, D. 1993. Suspended Matter in the Aquatic Environemnt. Springer, Berlin, Heidelberg, ISBN 0-387-55825-X.
- El Mrabet, R.; Abril, J.M.; G Manjón, G.; García-Tenorio, R. Experimental and modelling study of plutonium uptake by suspended matter in aquatic environments from southern Spain. Water Research 2001, 35, 4184–4190. [Google Scholar] [CrossRef]
- Erlinger, C.; Lettner, H.; Hubmer, A.; Hofmann, W.; Steinhäusler, F. Determining the Chernobyl impact on sediments of a pre-Alpine lake with a very comprehensive set of data. J. Environ. Radioact. 2008, 99, 1294–1301. [Google Scholar] [CrossRef] [PubMed]
- Gore, C.; Gehrels, W.R.; Smeaton, C.; Andrews, L.; McMahon, L.; Hibbert, F.; Austin, W.E.N.; Nolte, S.; Garrett, E. Saltmarsh blue carbon accumulation rates and their relationship with sea-level rise on a multi-decadal timescale in northern England. Estuar. Coast. Shelf Sci. 2024, 299, 108665. [Google Scholar] [CrossRef]
- Available online: https://www.sciencedirect.com/science/article/pii/S0272771424000520.
- Guinasso, N.; Schink, D. Quantitative estimates of biological mixing rates in abyssal sediments. J. Geophys. Res.-Oceans Atmospheres 1975, 80, 3032–3043. [Google Scholar] [CrossRef]
- Goldberg, E.D. 1963. Geochronology with Pb-210. Proceedings of a Symposium of Radioactive Dating, International Atomic Energy Agency, Vienna. pp. 121–131.
- He, Q.; Walling, D. Interpreting particle size effects in the adsorption of 137Cs and unsupported 210Pb by mineral soils and sediments. J. Environ. Radioact. 1996, 30, 117–137. [Google Scholar] [CrossRef]
- Haltia, E.; Lepp¨ anen, A.-P.; Kallio, A.; Saarinen, T. Sediment profile dating and reconstructing nuclear events from annually laminated lake sediments in northern Finland. J. Environ. Radioact. 2021, 233, 106611. [Google Scholar] [CrossRef]
- Holby, O.; Evans, S. The vertical distribution of Chernobyl derived radionuclides in a Baltic Sea sediment. J. Environ. Radioact. 1996, 33, 129–145. [Google Scholar] [CrossRef]
- IAEA, 2003. TEC-DOC 1360. Collection and preparation of bottom sediment samples for analysis of radionuclides and trace elements. IAEA, Vienna. SBN 92–0–109003–X.
- IAEA, 2010. Handbook of Parameter Values for the Prediction of Radionuclide Transfer in Terrestrial and Freshwater Environments. International Atomic Energy Agency, TRS No. 472.
- Iurian, A.R.; Millward, G.E.; Blake, W.; Abril Hernández, J.M. Fine-tuning of 210Pb-based methods for dating vegetated saltmarsh sediments. Quat. Geochronol. 2021, 62, 101153. [Google Scholar] [CrossRef]
- Kirwan, M.L.; Megonigal, J.P. Tidal wetland stability in the face of human impacts and sea-level rise. Nature 2013, 504, 53–60. [Google Scholar] [CrossRef]
- Klubi, E.; Abril, J.M.; Nyarko, E.; Laissaoui, A.; Benmansour, M. Radioecological assessment and radiometric dating of sediment cores from dynamic sedimentary systems of Pra and Volta estuaries (Ghana) along the Equatorial Atlantic. J. Environ. Radioact. 2017, 178-179, 116–126. [Google Scholar] [CrossRef] [PubMed]
- Koide, M.; Soutar, A.; Goldberg, E.D. Marine geochronology with 210Pb. Earth Planet. Sci. Lett. 1972, 14, 442–446. [Google Scholar] [CrossRef]
- Krishnaswamy, S.; Lal, D.; Martin, J.M.; Meybek, M. Geochronology of lake sediments. Earth Planet. Sci. Lett. 1971, 11, 407–414. [Google Scholar] [CrossRef]
- Kristensen, E.; Bouillon, S.; Dittmar, T.; Marchand, C. Organic carbon dynamics in mangrove ecosystem. Aquat. Bot. 2008, 89, 210–219. [Google Scholar] [CrossRef]
- Laissaoui, A.; Benmansour, M.; Ziad, N.; Ibn Majah, M.; Abril, J.M.; Mulsow, S. Anthropogenic radionuclides in the water column and a sediment core from the Alboran Sea: application to radiometric dating and reconstruction of historical water column radionuclide concentration. J. Paleolimnol. 2008, 40, 823–833. [Google Scholar] [CrossRef]
- Lima, A.L.; Hubeny, J.B.; Reddy, C.M.; King, J.W.; Hughen, K.A.; Eglinton, T.I. High resolution historical records from Pettaquamscutt River basin sediments: 1. 210Pb and varve chronologies validate record of 137Cs released by the Chernobyl accident. Geochim. Cosmochim. Acta 2005, 69, 1803–1812. [Google Scholar] [CrossRef]
- Lu, X.; Matsumoto, E. Recent sedimentation rates derived from 210Pb and 137Cs methods in Ise Bay, Japan. Estuar. Coast. Shelf Sci. 2005, 65, 83–93. [Google Scholar] [CrossRef]
- Mabit, L.; Benmansour, M.; Abril, J.M.; Walling, D.E.; Meusburger, K.; Iurian, A.R.; Bernard, C.; Tarjan, S.; Owens, P.N.; Blake, W.H.; Alewell, C. Fallout 210Pb as a soil and sediment tracer in catchment sediment budget investigations: a review. Earth Sci. Rev. 2014, 138, 335–351. [Google Scholar] [CrossRef]
- Madsen, A.T.; Murray, A.S.; Andersen, T.J.; Pejrup, M. Temporal changes of accretion rates on an estuarine salt marsh during the late Holocene — Reflection of local sea level changes? The Wadden Sea, Denmark. Mar. Geol. 2007, 242, 221–233. [Google Scholar] [CrossRef]
- Mantero, J.; Abril-Hernández, J.M.; Garcia-Tenorio, R.; Klubi, E.; Nyarko, E. Experimental study on the use of granulometric speciation for the radiometric dating of recent sediments. J. Environ. Radioact. 2019, 208–209, 106016. [Google Scholar] [CrossRef]
- Marchand, C. Soil carbon stocks and burial rates along a mangrove forest chronosequence (French Guiana). For. Ecol. Manag. 2017, 384, 92–99. [Google Scholar] [CrossRef]
- McCall, P.L.; Robbins, J.A.; Matisoff, G. 137Cs and 210Pb transport and geochronologies in urbanized reservoirs with rapidly increasing sedimentation rates. Chem. Geol. 1984, 44, 33–65. [Google Scholar] [CrossRef]
- Nozaki, Y.; Cochran, J.; Turekian, K.; Keller, G. Radiocarbon and Pb-210 distribution in submersible-taken deep-sea cores from project famous. Earth Planet. Sci. Lett. 1977, 34, 167–173. [Google Scholar] [CrossRef]
- Olid, C.; Diego, D.; Garcia-Orellana, J.; Martínez-Cortizas, A.; Klaminder, J. Modeling the downward transport of 210Pb in Peatlands: Initial Penetration-Constant Rate of Supply (IP-CRS) model. Sci. Total Environ. 2016, 541, 1222–1231. [Google Scholar] [CrossRef]
- Ontiveros-Cuadras, J.F.; Ruiz-Fernández, A.C.; Cardoso-Mohedano, J.G.; Pérez-Bernal, L.H.; Santiago-Pérez, S.; Velázquez-Reyes, D.A.; Cisneros-Ramos, Z.J.; Crisanto-Ruiz, A.S.; Gómez-Ponce, M.A.; Flores-Trujillo, J.G.; Sanchez-Cabeza, J.A. Potentially toxic elements fluxes in 210Pb-dated sediment cores from a large coastal lagoon (southern Gulf of Mexico) under environmental stress. Mar. Pollut. Bull., 2024, 201, 116226. [Google Scholar] [CrossRef] [PubMed]
- Putyrskaya, V.; Klemt, E.; Röllin, S.; Astner, M.; Sahli, H. Dating of sediments from four Swiss prealpine lakes with 210Pb determined by gamma-spectrometry: progress and problems, J. Environ. Radioact. 2015, 145, 78–94. [Google Scholar] [CrossRef]
- Robbins, J.A., 1978. Geochemical and Geophysical applications of radioactive lead isotopes. In: Nriago JP (ed) Biochemistry of Lead in the Environment. Elsevier, Amsterdam, pp 285-393.
- Robbins, J.A.; Edgington, D.N. Determination of recent sedimentation rates in Lake Michigan using 210Pb and 137Cs. Geochim. Cosmochim. Acta 1975, 39, 285–304. [Google Scholar] [CrossRef]
- Robbins, J.A.; Holmes, C.; Halley, R.; Bothner, M.; Shinn, E.; Graney, J.; Keeler, G.; ten Brink, M.; Orlandini, K.A.; Rudnick, D. Time-averaged fluxes of lead and fallout radionuclides to sediments in Florida Bay. J. Geophys. Res. 2000, 105, 28805–28821. [Google Scholar] [CrossRef]
- Robbins, J.A.; Jasinski, A.W. Chernobyl fallout radionuclides in lake Sniardwy, Poland. J. Environ. Radioact. 1995, 26, 157–184. [Google Scholar] [CrossRef]
- Ruiz-Fernández, A.C.; Hillaire-Marcel, C.; de Vernal, A.; Machain-Castillo, M.L.; Vásquez, L.; Ghaleb, B.; Aspiazu-Fabián, J.A.; Páez-Osuna, F. Changes of coastal sedimentation in the Gulf of Tehuantepec, South Pacific Mexico, over the last 100 years from short-lived radionuclide measurements. Estuar. Coast Shelf Sci. 2009, 82, 525–536. [Google Scholar] [CrossRef]
- Rusakov, V.Y.; Lukmanov, R.A.; Savin, A.S. About fluctuations in the excess 210Pb flux into the East Siberian Arctic Shelf sediments, the Laptev Sea, J. Environ. Radioact. 2024, 273, 107387. [Google Scholar] [CrossRef] [PubMed]
- Sánchez-Cabeza, J.A.; Ruíz-Fernández, A.C. 210Pb sediment radiochronology: an integrated formulation and classification of dating models. Geochim. Cosmochim. Acta 2012, 82, 183–200. [Google Scholar] [CrossRef]
- Sanders, C.J.; Smoak, J.M.; Waters, M.N.; N.W.; Sanders, L.M.; Brandini, N.; Patchineelam, S.R. Organic matter content and particle size modifications in mangrove sediments as responses to sea level rise. Mar. Environ. Res. 2012, 77, 150–155. [Google Scholar] [CrossRef]
- San Miguel, E.G.; Bolívar, J.P.; García-Tenorio, R.; Martín, J.E. 230Th/232Th activity ratios as a chronological marker complementing 210Pb dating in an estuarine system affected by industrial releases. Environ. Pollut. 2001, 112, 361–368. [Google Scholar] [CrossRef]
- Sharma, P.; Gardner, L.R.; Moore, W.S.; Bollinger, M.S. Sedimentation and bioturbation in a salt marsh as revealed by 210Pb, 137Cs, and 7Be studies. Limnol. Oceanogr., 1987, 32, 313–326. [Google Scholar] [CrossRef]
- Smith, J.N. Why should we believe 210Pb sediment geochronologies? J. Environ. Radioact. 2001, 55, 121–123. [Google Scholar] [CrossRef]
- Smith, J.N.; Boudreau, B.P.; Noshkin, V. Plutonium and 210Pb distributions in Northeast Atlantic sediments: sub surface anomalies caused by non-local mixing. Earth Planet Sci Lett 1986, 81, 15–28. [Google Scholar] [CrossRef]
- Sugai, S.F.; Alperin, M.J.; Reeburgh, W.S. Episodic deposition and 137Cs immobility in Skan Bay sediments: a ten-year 210Pb and 137Cs time series. Mar. Geol. 1994, 116, 351–372. [Google Scholar] [CrossRef]
- Sun, X.; Fan, D.; Tian, Y.; Zheng, S. Normalization of excess 210Pb with grain size in the sediment cores from the Yangtze River Estuary and adjacent areas: implications for sedimentary processes. Holocene 2018, 28, 545–557. [Google Scholar] [CrossRef]
- Taieb Errahmani, D.; Noureddine, A.; Abril, J.M.; Boulahdid, M. Environmental radioactivity in a sediment core from Algiers Bay: Radioecological assessment, radiometric dating and pollution records. Quat. Geochronol. 2020, 56, 101049. [Google Scholar] [CrossRef]
- Taieb Errahmani, D.; Noureddine, A.; Abril, J.M. Depth-distributions and migration of fallout radionuclides in mountain soils from Chréa National Park (Algeria): The role of rhizospheres. J. Environ. Radioact. 2022, 242, 106799. [Google Scholar] [CrossRef] [PubMed]
- Trabelsi, Y.; Gharbi, F.; El Ghali, A.; Oueslati, M.; Samaali, M.; Abdelli, W.; Baccouche, S.; Ben Tekaya, M.; Benmansour, M.; Mabit, L.; Ben M’Barek, N.; Reguigui, N.; Abril, J.M. Recent sedimentation rates in Garaet El Ichkeul Lake, NW Tunisia, as affected by the construction of dams and a regulatory sluice. J. Soils Sediments 2012, 12, 784–796. [Google Scholar] [CrossRef]
- Tylmann, W.; Enters, D.; Kinder, M.; Moska, P.; Ohlendorf, C.; Porebal, G.; Zolitschka, B. Multiple dating of varved sediments from Lake Łazduny, northern Poland: toward an improved chronology for the last 150 years. Quat. Geochronol. 2013, 15, 98–107. [Google Scholar] [CrossRef]
- Tylmann, W.; Bonk, A.; Goslar, T.; Wulf, S.; Grosjean, M. Calibrating 210Pb dating results with varve chronology and independent chronostratigraphic markers: Problems and implications. Quat. Geochronol. 2016, 32, 1–10. [Google Scholar] [CrossRef]
- Yu, W.; Lin, F.; Lin, L. Bioturbation in sediment cores from the Clarion-Clipperton Zone in the northeast Pacific: Evidence from excess 210Pb. Mar. Pollut. Bull. 2023, 188, 114635. [Google Scholar] [CrossRef]
- Zaborska, A.; Carroll, J.; Papucci, C.; Pempkowiak, J. Intercomparison of alpha and gamma spectrometry techniques used in 210Pb geochronology. J. Environ. Radioact. 2007, 93, 38–50. [Google Scholar] [CrossRef]
- Zhang, Y.; Xu, B. Fidelity of the 210Pb dating method, a subaquatic sediment perspective. Sci. Total Environ. 2023, 871, 161972. [Google Scholar] [CrossRef]












Disclaimer/Publisher’s Note: The statements, opinions and data contained in all publications are solely those of the individual author(s) and contributor(s) and not of MDPI and/or the editor(s). MDPI and/or the editor(s) disclaim responsibility for any injury to people or property resulting from any ideas, methods, instructions or products referred to in the content. |
© 2025 by the authors. Licensee MDPI, Basel, Switzerland. This article is an open access article distributed under the terms and conditions of the Creative Commons Attribution (CC BY) license (http://creativecommons.org/licenses/by/4.0/).