Submitted:
18 February 2025
Posted:
19 February 2025
Read the latest preprint version here
Abstract
Spectral indices such as NDRE (Normalized Difference Red Edge Index), CCCI (Canopy Chlorophyll Content Index), and IRECI (Inverted Red Edge Chlorophyll Index), based on the Red Edge band of MSI/Sentinel-2 (B05, B06, B07 images), are essential tools in coffee monitoring. These indices require resampling the Red Edge band (20 m resolution) to match the NIR (10 m resolution) using methods such as nearest neighbor, bilinear, cubic, and Lanczos. In this technical note, we evaluated these resampling methods using two original B05 images, selected on November 24, 2023, and September 21, 2023, with reference points from the farms "Ouro Verde" (15 hectares) in Barra do Choça (BA) and "Canto do Rio" (45 hectares) in Luís Eduardo Magalhães (BA), respectively. A total of 500 random points were generated and analyzed using PSF, linear models, and cross-validation with metrics such as R², MAE, and RMSE. The PSF analysis indicated the integrity of the data for further analysis. The cubic method showed the best performance (R² = 0.996, MAE = 20.87, RMSE = 32.67). The validation results of the resampling methods suggest that this procedure is crucial for accurate digital processing in remote sensing for coffee cultivation and should be aligned with the study objectives.
Keywords:
1. Introduction
2. Materials and Methods
3. Results
3.1. Results of the Family Health Program (FHP) Evaluation
3.1.1.“. Ouro Verde” Farm

| r | theo | border | trans | iso | |
| Min. | 0 | 0.000e+00 | 0.000e+00 | 0.000e+00 | 0.000e+00 |
| 1st Qu | 6862 | 1,48E+11 | 1,47E+11 | 1,46E+11 | 1,46E+11 |
| Median | 13725 | 5,92E+11 | 6,01E+11 | 6,00E+11 | 5,98E+11 |
| Mean | 13725 | 7,90E+11 | 7,86E+11 | 7,90E+11 | 7,87E+11 |
| 3rd Qu | 20588 | 1,33E+12 | 1,33E+12 | 1,33E+12 | 1,32E+12 |
| Max | 27450 | 2,37E+12 | 2,33E+12 | 2,37E+12 | 2,36E+12 |
| r | theo | han | rs | km | hazard | theohaz | |
| Min. | 0 | 0.0000 | 0.0000 | 0.0000 | 0.0000 | 0.0000000 | 0.0000000 |
| 1st Qu | 2350 | 0.5130 | 0.5175 | 0.5131 | 0.5134 | 0.0000000 | 0.0006124 |
| Median | 4700 | 0.9438 | 0.9353 | 0.9357 | 0.9300 | 0.0000000 | 0.0012248 |
| Mean | 4700 | 0.7383 | 0.7290 | 0.7278 | 0.7267 | 0.0006211 | 0.0012248 |
| 3rd Qu | 7050 | 0.9985 | 10.000 | 10.000 | 10.000 | 0.0004483 | 0.0018371 |
| Max | 9400 | 10.000 | 10.000 | 10.000 | 10.000 | 0.0377538 | 0.0024495 |
| r | theo | cs | Rs | km | hazard | theohaz | |
| Min. | 0 | 0.0000 | 0.0000 | 0.0000 | 0.0000 | 0.0000000 | 0.0000000 |
| 1st Qu | 2359 | 0.5157 | 0.5254 | 0.5244 | 0.5226 | 0.0003114 | 0.0006147 |
| Median | 4718 | 0.9450 | 0.9542 | 0.9548 | 0.9541 | 0.0009524 | 0.0012294 |
| Mean | 4718 | 0.7345 | 0.7387 | 0.7390 | 0.7382 | 0.0009808 | 0.0012294 |
| 3rd Qu | 7077 | 0.9985 | 0.9977 | 0.9978 | 0.9978 | 0.0012554 | 0.0018441 |
| Max | 9436 | 10.000 | 10.000 | 10.000 | 10.000 | 0.0064643 | 0.0024588 |
3.1.2.“. Canto do Rio” Farm

| R | theo | border | trans | iso | |
| Min. | 0 | 0.000e+00 | 0.000e+00 | 0.000e+00 | 0.000e+00 |
| 1st Qu | 6862 | 1,48E+11 | 1,47E+11 | 1,48E+11 | 1,48E+11 |
| Median | 13725 | 5,92E+11 | 5,92E+11 | 5,88E+11 | 5,85E+11 |
| Mean | 13725 | 7,90E+11 | 7,90E+11 | 7,89E+11 | 7,83E+11 |
| 3rd Qu | 20588 | 1,33E+12 | 1,33E+12 | 1,33E+12 | 1,32E+12 |
| Max | 27450 | 2,37E+12 | 2,36E+12 | 2,38E+12 | 2,37E+12 |
| R | theo | han | rs | km | hazard | theohaz | |
| Min. | 0 | 0.0000 | 0.0000 | 0.0000 | 0.0000 | 0.0000000 | 0.0000000 |
| 1st Qu | 2350 | 0.5130 | 0.5088 | 0.5000 | 0.5003 | 0.0000000 | 0.0006124 |
| Median | 4700 | 0.9438 | 0.9451 | 0.9447 | 0.9412 | 0.0000000 | 0.0012248 |
| Mean | 4700 | 0.7383 | 0.7382 | 0.7368 | 0.7355 | 0.0006246 | 0.0012248 |
| 3rd Qu | 7050 | 0.9985 | 10.000 | 10.000 | 10.000 | 0.0004799 | 0.0018371 |
| Max | 9400 | 10.000 | 10.000 | 10.000 | 10.000 | 0.0377538 | 0.0024495 |
| R | theo | cs | rs | km | hazard | theohaz | |
| Min. | 0 | 0.0000 | 0.0000 | 0.0000 | 0.0000 | 0.000e+00 | 0.0000000 |
| 1st Qu | 2359 | 0.5157 | 0.5224 | 0.5197 | 0.5180 | 2,25E-02 | 0.0006147 |
| Median | 4718 | 0.9450 | 0.9496 | 0.9469 | 0.9461 | 6,14E-01 | 0.0012294 |
| Mean | 4718 | 0.7345 | 0.7363 | 0.7353 | 0.7344 | 8,43E-01 | 0.0012294 |
| 3rd Qu | 7077 | 0.9985 | 0.9998 | 0.9997 | 0.9994 | 1,15E+00 | 0.0018441 |
| Max | 9436 | 10.000 | 10.000 | 10.000 | 0.9997 | 3,78E+00 | 0.0024588 |
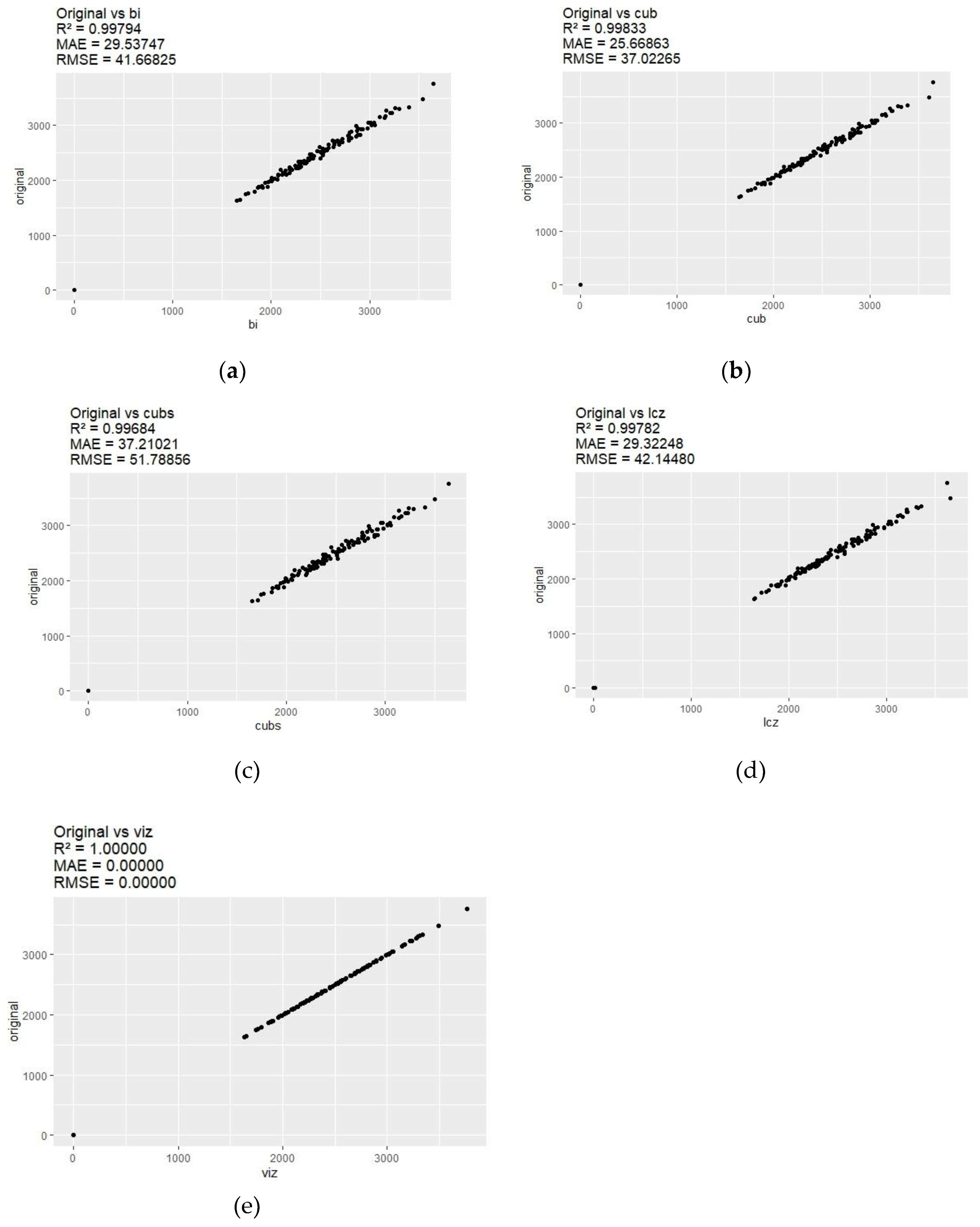
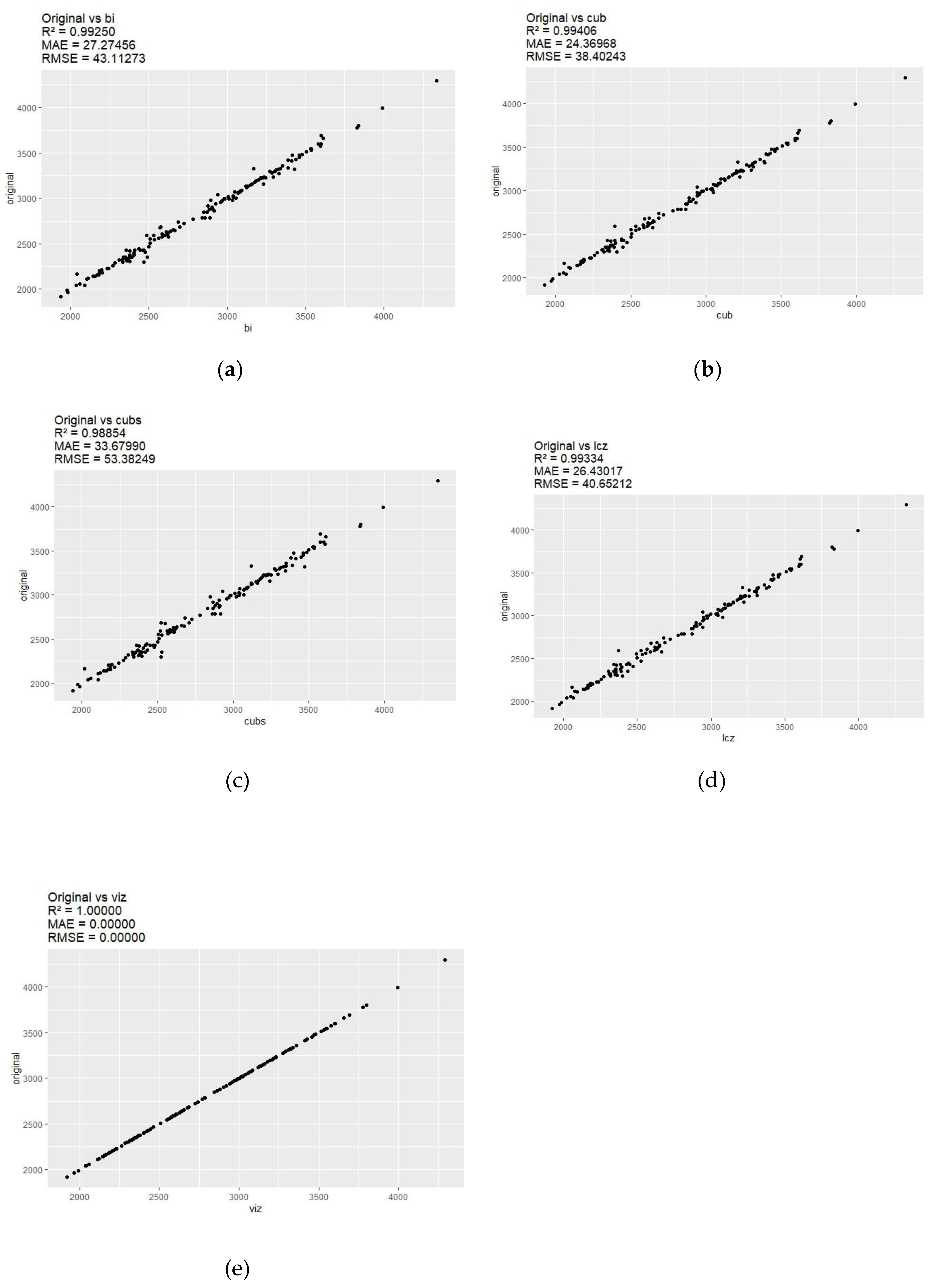
3.2. Cross-Validation Results and Metrics Evaluation
- 3.2.1.“. Ouro Verde” Farm

3.2.1.“. Canto do Rio” Farm

4. Discussion
5. Conclusions
References
- CASTRO, G. D. M. de .; VILELA, E. F.; FARIA, A. L. R. de .; SILVA, R. A. .; FERREIRA, W. P. M. New vegetation index for monitoring coffee rust using sentinel-2 multispectral imagery. Coffee Science - ISSN 1984-3909, [S. l.], v. 18, p. e182170, 2023. DOI: 10.25186/.v18i.2170. Disponível em: https://coffeescience.ufla.br/index.php/Coffeescience/article/view/2170. Acesso em: 10 dec. 2024. [CrossRef]
- Dias, G. Riscos climáticos e produtividade do Coffea arabica L. para as principais regiões cafeeiras do Brasil: clima presente e futuro. Tese de Doutorado aprovada em 5 de abril de 2024, no Programa de Pós-graduação em Meio Ambiente e Recursos Hídricos, da Universidade Federal de Itajubá. Itajubá-MG.
- SILVA, F.M.; ALVES, M.C. Cafeicultura de Precisão. Lavras: Editora UFLA, 2013.
- FERRAZ, G.A.S. Cafeicultura de Precisão: Malhas amostrais para o mapeamento de atributos do solo, da planta e recomendações. 2012, 135 f. Tese (Doutorado em Engenharia Agrícola) – Programa de Pós-Graduação em Engenharia Agrícola, Universidade Federal de Lavras, Lavras, 2012.
- SANTANA, L. S.; FERRAZ, G. A. e S.; SANTOS, S. A. dos.; DIAS, J. E. L. . Precision coffee growing: A review. Coffee Science -, [S. l.], v. 17, p. e172007, 2022. ISSN 1984-3909. [CrossRef]
- MELOS, N.D. Uso de análise multivariada para identificação de zonas de potenciais produtivos agrícolas. 118 f. Dissertação de Mestrado do curso de Pós-Graduação em Agricultura de Precisão do Colégio Politécnico da Universidade Federal de Santa Maria, orientada pelo prof. Dr. Lúcio de Paula Amaral, aprovada em 9 de março de 2023. Santa Maria, RS.
- Chemura et al. Mapping spatial variability of foliar nitrogen in coffee (Coffea arabica L.) plantations with multispectral Sentinel-2 MSI data, ISPRS Journal of Photogrammetry and Remote Sensing, Volume 138, 2018, Pages 1-11, ISSN 0924-2716.
- Nogueira Martins, R.; de Carvalho Pinto, F.d.A.; Marçal de Queiroz, D.; Magalhães Valente, D.S.; Fim Rosas, J.T. A Novel Vegetation Index for Coffee Ripeness Monitoring Using Aerial Imagery. Remote Sens. 2021, 13, 263. [CrossRef]
- ESA - AGÊNCIA ESPACIAL EUROPEIA. Sentinel Online. Disponível em: https://sentinels.copernicus.eu/web/sentinel/home. Acesso em: 12/12/2024.
- P. M. Kai, B. M. de Oliveira, G. S. Vieira, F. Soares and R. M. Costa, "Effects of resampling image methods in sugarcane classification and the potential use of vegetation indices related to chlorophyll," 2021 IEEE 45th Annual Computers, Software, and Applications Conference (COMPSAC), Madrid, Spain, 2021, pp. 1526-1531. [CrossRef]
- Rodrigues, S. A., Cortez, J. W., & Henriques, H. J. R. (2021). Efeito da chuva de granizo em variedades do café arábica por meio de índices de vegetação. Agrarian, 14(54), 433–441. [CrossRef]
- Feio, S. Análise multitemporal de imagens de satélite Sentinel-2 como suporte à elegibilidade das ajudas comunitárias agrícolas. Dissertação de Mestrado. Departamento de Engenharia Geográfica, Geofísica e Energia da Faculdade de Ciências, da Universidade de Lisboa. Lisboa, PT, 2017.
- Mookambiga, A., Gomathi, V. Comprehensive review on fusion techniques for spatial information enhancement in hyperspectral imagery. Multidim Syst Sign Process 27, 863–889 (2016). [CrossRef]
- ANJOS, A. MAZZA, M.C.M. SANTOS, .A.C. DELFINI, L.T. Análise de padrão de distribuição espacial da araucária (Araucária angustifólia) em algumas áreas do estado do Paraná, utilizando a função K de Ripley. Scientia Florestalis, n. 66, p.38-45, dez, 2004.
- LOOSMORE, N. FORD, E. Stasistical inference using the G or K point pattern spatial statistics. September 2006, Ecology 87(8):1925-31. [CrossRef]
- ZANZARINI, F. V.; PISARRA, T. C. T.; BRANDÃO, F. J. C.; TEIXEIRA, D. D. B. Correlação espacial do índice de vegetação (NDVI) de imagem Landsat/ETM+ com atributos do solo. Revista Brasileira de Engenharia Agrícola e Ambiental, Campina Grande, v. 17, n. 6, p. 608-614, abril. 2013.
- SPERANZA, E. A.; OLIM, G. E. de S.; INAMASU, R. Y.; VAZ, M. P.; JORGE, L. A. de C. Delineamento de zonas de manejo para o planejamento de experimento on-farm na cultura do algodão. Congresso Brasileiro de Agricultura de Precisão – ConBAP. Campinas – SP, 2022.
- G. A. Boggione; D. D. Costa. REAMOSTRAGEM EM IMAGENS DE SENSORIAMENTO REMOTO: UMA ABORDAGEM SOB O PONTO DE VISTA DO MAUP. IV Simpósio Brasileiro de Geomática – SBG2017 II. Presidente Prudente - SP, 24-26 de julho de 2017 p. 315-322 ISSN 1981-6251.
- Porwal, S.; Katiyar, S. K. Performance Evaluation of Various Resampling Techniques on IRS Imagery. 2014 Seventh International Conference on Contemporary Computing (IC3) 2014. [CrossRef]
- Lezine, E. M. D.; Kyzivat, E. D.; Smith, L. C. Super-Resolution Surface Water Mapping on the Canadian Shield Using Planet CubeSat Images and a Generative Adversarial Network. Canadian Journal of Remote Sensing 2021, 1–15. [CrossRef]
- CECCATO, G. Z.; das, N.; José Marinaldo GLERIANI; Cesar, J. AVALIAÇÃO DOS VALORES de ERRO DO MODELO LINEAR de MISTURA ESPECTRAL EM IMAGENS ETM+/LANDSAT 7 a PARTIR de REAMOSTRAGENS PELO VIZINHO MAIS PRÓXIMO E CONVOLUÇÃO CÚBICA. Geociências 2021, 40 (3), 795–810. [CrossRef]
- Guo, L.; Shi, T.; Linderman, M.; Chen, Y.; Zhang, H.; Fu, P. Exploring the Influence of Spatial Resolution on the Digital Mapping of Soil Organic Carbon by Airborne Hyperspectral VNIR Imaging. Remote Sensing 2019, 11 (9), 1032–1032. [CrossRef]
- Madhukar, B. N.; R. Narendra. Lanczos Resampling for the Digital Processing of Remotely Sensed Images. Lecture notes in electrical engineering 2013, 403–411. [CrossRef]
- CONAB – COMPANHIA NACIONAL DE ABASTECIMENTO. Acompanhamento da safra brasileira de café, v. 11 – Safra 2024, n.4- Quarto levantamento, Brasília, p. 1-53, janeiro 2025.
- CAMPO E NEGÓCIOS. Anuário de café 2021. Uberlândia, 2021.
- J. A. Richards and J. Richards, Remote sensing digital image analysis. Springer, 1999, vol. 3.


|
Band Number |
SpectralBand |
Wavelength (nm) |
Spacial Resolution (m) |
| B01 | Costal aerosol | 443 | 60 |
| B02 | Blue | 490 | 10 |
| B03 | Green | 560 | 10 |
| B04 | Red | 665 | 10 |
| B05 | Red Edge 1 | 705 | 20 |
| B06 | Red Edge 2 | 740 | 20 |
| B07 | Red Edge 3 | 783 | 20 |
| B08 | NIR | 842 | 10 |
| B8A | NIR narrow | 865 | 20 |
| B09 | Water vapor | 945 | 60 |
| B10 | Cirrus | 1380 | 60 |
| B11 | SWIR 1 | 1910 | 60 |
| B12 | SWIR 2 | 2190 | 20 |
| Resampling Methods | Characteristics |
| Nearest Neighbor | Assigns the value of a pixel based on the nearest pixel, thus preserving the original image data. However, this can lead to duplication of values, loss of information, and positioning errors, requiring careful use of this method. |
| Bilinear | Uses the four nearest points to determine a new pixel value by applying interpolation among the pixels that intercept these points. Weighted averaging of the four closest pixels from the original image generates new output values. |
| Cubic | Considers the 16 nearest pixels from the original image to calculate the value of a new pixel at a specific coordinate of the resampled image. It performs weighted averaging of these points, requiring more processing time but producing smoother images due to the inclusion of more points. |
| Lanczos | This method preserves details and smoothens the image by using a Lanczos kernel to interpolate signal values. Although it takes more processing time, it offers better image quality. |
Disclaimer/Publisher’s Note: The statements, opinions and data contained in all publications are solely those of the individual author(s) and contributor(s) and not of MDPI and/or the editor(s). MDPI and/or the editor(s) disclaim responsibility for any injury to people or property resulting from any ideas, methods, instructions or products referred to in the content. |
© 2025 by the authors. Licensee MDPI, Basel, Switzerland. This article is an open access article distributed under the terms and conditions of the Creative Commons Attribution (CC BY) license (http://creativecommons.org/licenses/by/4.0/).