Submitted:
17 February 2025
Posted:
18 February 2025
You are already at the latest version
Abstract
Keywords:
1. Introduction
2. Geological Settings and Location
3. Mathematical Basics of Applied Interpolation Methods
3.1. The Polynomial Regression
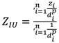
3.2. The Inverse Distance Weighting
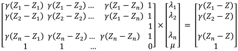
3.3. The Ordinary Kriging
3.4. The Cross-Validation
4. Discussion and Results Overview
5. Conclusions
Author Contributions
Funding
Institutional Review Board Statement
Informed Consent Statement
Data Availability Statement
Acknowledgments
Conflicts of Interest
Abbreviations
| OK | Ordinary Kriging |
| SK | Simple Kriging |
| IDW | Inverse Distance Weighting |
| PR | Polynomial Regression |
| MSE | Mean Square Error |
| PBS | Pannonian Basin System |
| CPBS | Croatian part of the Pannonian Basin System |
References
- Malvić, T.; Ivšinović, J.; Velić, J.; Rajić, R. Interpolation of Small Datasets in the Sandstone Hydrocarbon Reservoirs, Case Study of the Sava Depression, Croatia. Geosciences 2019, 9, 201. [Google Scholar] [CrossRef]
- Malvić, T.; Pimenta Dinis, M.A.; Velić, J.; Sremac, J.; Ivšinović, J.; Bošnjak, M.; Barudžija, U.; Veinović, Ž.; Sousa, H.F.P.e. Geological Risk Calculation through Probability of Success (PoS), Applied to Radioactive Waste Disposal in Deep Wells: A Conceptual Study in the Pre-Neogene Basement in the Northern Croatia. Processes 2020, 8, 755. [Google Scholar] [CrossRef]
- Hung, C.-Y.; Newton Fernando, O.N.; Wang, C.-Y.; Chen, K.-W.; Samani, H.; Yang, C.-Y. Improving Clinical Decision-Making with Polynomial Regression-Based Real Patient State Estimation. International Automatic Control Conference (CACS), Penghu, Taiwan, 2023.
- Srilakshmi, U.; Manikandan, J.; Velagapudi, T.; Abhinav, G.; Kumar, T.; Saideep, D. A New Approach to Computationally-Successful Linear and Polynomial Regression Analytics of Large Data in Medicine. Journal of Computer Allied Intelligence 2024, 2, 35–48. [Google Scholar] [CrossRef]
- Ma, L.; Zheng, J. A polynomial based model for cell fate prediction in human diseases. BMC Syst Biol 2017, 11 (Suppl. S7), 126. [Google Scholar] [CrossRef]
- Frisbie, S.H.; Mitchell, E.; Sikora, K.R.; Abualrub, M.; Abosalem, Y.M. Using Polynomial Regression to Objectively Test the Fit of Calibration Curves in Analytical Chemistry. International Journal of Applied Mathematics and Theoretical Physics 2016, 1, 14–18. [Google Scholar] [CrossRef]
- Visser, L.; Pat-El, R.; Lataster, J.; Van Lankveld, J.; Jacobs, N. Beyond Difference Scores: Unlocking Insights with Polynomial Regression in Studies on the Effects of Implicit-Explicit Congruency. Psychologica Belgica 2024, 64, 5–23. [Google Scholar] [CrossRef]
- Najafzadeh, M.; Kargar, A.R. Gene-Expression Programming, Evolutionary Polynomial Regression, and Model Tree to Evaluate Local Scour Depth at Culvert Outlets. Journal of Pipeline Systems Engineering and Practice 2019, 10. [Google Scholar] [CrossRef]
- Weslati, O.; Bouaziz, S.; Serbaji, M.M. The Efficiency of Polynomial Regression Algorithms and Pearson Correlation (r) in Visualizing and Forecasting Weather Change Scenarios. In Recent Advances in Polynomials. 2022. pp. 20.
- Bal, S.; R. R. Prediction Of Heat Transfer Performance Using Polynomial Regression. Second International Conference on Artificial Intelligence and Smart Energy (ICAIS), Coimbatore, India, 2022, pp. 1735–1740.
- Trebuňa, F.; Ostertagová, E.; Frankovský, P.; Ostertag, O. Application of Polynomial Regression Models in Prediction of Residual Stresses of a Transversal Beam. American Journal of Mechanical Engineering 2016, 4, 247–251. [Google Scholar]
- Wu, S.; Zhang, T. Active Learning Model on Wind Turbine Power Generation Based on Polynomial Regression. In Proceedings of the 2021 5th International Conference on Deep Learning Technologies (ICDLT '21). Association for Computing Machinery, New York, NY, USA, 2021, 111–115.
- Jiménez-López, D.; Corcho-Caballero, P.; Zamora, S.; Ascasibar, Y. Polynomial expansion of the star formation history in galaxies. Astronomy & Astrophysics 2021. [Google Scholar] [CrossRef]
- Huang, L.; Jia, J.; Yu, B.; Chun, B.-G.; Maniatis, P.; Naik, M. Predicting execution time of computer programs using sparse polynomial regression. In Proceedings of the 24th Annual Conference on Neural Information Processing Systems, 2010.
- Mustafa, S.; Aziz, M.; Ahmed, D.R. Software Reliability Assessment Using Polynomial Regression Approach. In Proceedings of ICATCES, 2020.
- Mo, H. Comparative Analysis of Linear Regression, Polynomial Regression, and ARIMA Model for Short-term Stock Price Forecasting. Advances in Economics Management and Political Sciences 2023, 49, 166–175. [Google Scholar] [CrossRef]
- Adeboye, N.O.; Agunbiade, D.A.; Adeniran, B.G. A Polynomial Regression Model of Monetary Policy Rate in Nigerian Economy. British Journal of Science 2014, 11, 11. [Google Scholar]
- Golnaraghi, S.; Moselhi, O.; Alkass, S.; Zangenehmadar, Z. Modelling construction labour productivity using evolutionary polynomial regression. International Journal of Productivity and Quality Management 2020, 31, 207–226. [Google Scholar] [CrossRef]
- Yanova, M.A.; Oleynikova, E.N.; Khizhnyak, S.V. Polynomial regression as a tool for prediction quality of bread baked of wheat flour mixed with flour of cereal extrudates. IOP Conf. Ser. : Earth Environ. Sci. 2019, 315. [Google Scholar] [CrossRef]
- Shah, B.; Chettri, S.T.; Diyali, R.S.; H K, S.; Maharjan, S. Rain Prediction Using Polynomial Regression for the Field of Agriculture Prediction for Karnatakka. SSRN Electronic Journal 2020. [Google Scholar] [CrossRef]
- Bera, D.; Chatterjee, N.D.; Bera, S. Comparative performance of linear regression, polynomial regression and generalized additive model for canopy cover estimation in the dry deciduous forest of West Bengal. Remote Sens. Appl. Soc. Environ. 2021, 22, 100502. [Google Scholar] [CrossRef]
- Goodale, C.L.; Aber, J.D.; Ollinger, S.V. Mapping monthly precipitation, temperature, and solar radiation for Ireland with polynomial regression and a digital elevation model. Climate Research 1998, 10, 35–49. [Google Scholar] [CrossRef]
- Said, L. Forecasting Reservoir Pressure for Vertical Oil Well Using Supervised Machine Learning Model. SPE/IADC Middle East Drilling Technology Conference and Exhibition, Abu Dhabi, UAE, 2023.
- Al-Mudhafar, W.J.; Dalton, C.A.; Al Musabeh, M.I. Metamodeling via Hybridized Particle Swarm with Polynomial and Splines Regression for Optimization of CO2-EOR in Unconventional Oil Reservoirs. SPE Reservoir Characterisation and Simulation Conference and Exhibition, Abu Dhabi, UAE, 2017.
- Kalla, S.; White, C.D. Efficient Design of Reservoir Simulation Studies for Development and Optimization. SPE Res Eval & Eng 2007, 10, 629–637. [Google Scholar]
- Yao, C.; Ren, X.; Valiveti, D.; Ryu, S.; Chaney, C.; Zeng, Y. Machine Learning Based FPSO Topsides Weight Estimation for a Project on an Early Stage (OTC-32304-MS). Offshore Technology Conference, 2023.
- Aminian, K.; Ameri, S.; Abbitt, W.E.; Cunningham, L.E. Polynomial Approximations for Gas Pseudopressure and Pseudotime (SPE-23439-MS). SPE Eastern Regional Meeing, 1991.
- Wang, J.; Li, C.; Cheng, P.; Yu, J.; Cheng, C.; Ozbayoglu, E.; Baldino, S. Data Integration Enabling Advanced Machine Learning ROP Predictions and its Applications (OTC-35395-MS). Offshore Technology Conference, 2024.
- Moeletsi, M.; Shabalala, Z.; Nysschen, G.; Walker, S. Evaluation of an inverse distance weighting method for patching daily and dekadal rainfall over the Free State Province, South Africa. Water SA 2016, 42, 466–474. [Google Scholar] [CrossRef]
- Chen, F.-W.; Liu, C.-W. Estimation of the spatial rainfall distribution using inverse distance weighting (IDW) in the middle of Taiwan. Paddy and Water Environment 2012, 10, 209–222. [Google Scholar] [CrossRef]
- Bokati, L.; Velasco, A.; Kreinovich, V. Scale-Invariance and Fuzzy Techniques Explain the Empirical Success of Inverse Distance Weighting and of Dual Inverse Distance Weighting in Geosciences. North American Fuzzy Information Processing Society Annual Conference, Halifax, NS, Canada, 2022.
- Barlak, C.; Ozkazanc, Y. Battery capacity estimation with inverse distance weighting. Communications Faculty of Sciences University of Ankara Series A2-A3 Physical Sciences and Engineering, 2011, 52, 1–16. [Google Scholar]
- Çatalbaş, C.; Gulten, A. A novel super-resolution approach for computed tomography images by inverse distance weighting method. Journal of the Faculty of Engineering and Architecture of Gazi University 2018, 33, 697–711. [Google Scholar]
- Meliyana, S.; Ahmar, A. Analysis of the Distribution of Diarrhea Patients in Bogor Regency Month Using the Ordinary Kriging Method. ARRUS Journal of Social Sciences and Humanities, 2023, 3, 156–162. [Google Scholar] [CrossRef]
- Rohma, N. Estimation of Ordinary Kriging Method with Jackknife Technique on Rainfall Data in Malang Raya. International Journal on Information and Communication Technology (IJoICT), 2022, 8, 22–39. [Google Scholar] [CrossRef]
- Di, J.; Xu, J.; Fu, J.; Li, B.; Wu, M. Study on the regional ASF prediction method based on the ordinary kriging interpolation. Physica Scripta, 2023, 99. [Google Scholar] [CrossRef]
- Qiao, P.; Lei, M.; Yang, S.; et al. Comparing ordinary kriging and inverse distance weighting for soil as pollution in Beijing. Environ Sci Pollut Res 2018, 25, 15597–15608. [Google Scholar] [CrossRef]
- Awuku, B.; Asa, E.; Twum, E. Conceptual cost estimation of highway bid unit prices using ordinary kriging. International Journal of Construction Management 2022, 24, 1–10. [Google Scholar] [CrossRef]
- Malvić, T.; Velić, J. Geologija ležišta fluida (Geology of reservoir's fluids), Zagreb, 2008. Rudarsko-geološko-naftni fakultet, Sveučilište u Zagrebu.
- Velić, J.; Malvić, T.; Cvetković, M.; Vrbanac, B. Reservoir Geology, Hydrocarbon Reserves and Production in the Croatian part of the Pannonian Basin System. Geologia Croatica 2012, 65, 91–101. [Google Scholar] [CrossRef]
- Velić, J. Geology of Oil and Gas Reservoir, Zagreb, 2007. Faculty of Mining, Geology and Petroleum Engineering, University of Zagreb, Zagreb.
- Ivšinović, J.; Malvić, T. Application of the Radial Basis Function interpolation method in selected reservoirs of the Croatian part of the Pannonian Basin System. Mining of Mineral Deposits 2020, 14, 37–42. [Google Scholar] [CrossRef]
- Malvić, T.; Velić, J. Neogene Tectonics in Croatian Part of the Pannonian Basin and Reflectance in Hydrocarbon Accumulations. In: New Frontiers in Tectonic Research At the Midst of Plate Convergence (ed. Schattner, U.), InTech, Rijeka, 2011, 215-238.
- Ivšinović, J. Odabir i geomatematička obradba varijabli za skupove manje od 50 podataka pri kreiranju poboljšanoga dubinskogeološkoga modela na primjeru iz zapadnoga dijela Savske depresije (Selection and geomathematical calculation of variables for sets with less than 50 data regarding the creation of an improved subsurface model, case study from the western part of the Sava Depression), disertation. – in Croatian, Faculty of Mining, Geology and Petroleum Engineering, University of Zagreb, Zagreb, 2019.
- Ivšinović, J.; Malvić, T.; Velić, J.; Sremac, J. Geological Probability of Success (POS), case study in the Late Miocene structures of the western part of the Sava Depression, Croatia. Arab J Geosci 2020, 13, 714. [Google Scholar] [CrossRef]
- Journel, A.G. Nonparametric estimation of spatial distributions. Mathematical Geology 1983, 15, 445–468. [Google Scholar] [CrossRef]
- Deutsch, C.V. DECLUS: A FORTRAN 77 program for determining optimum spatial declustering weights. Computers & Geosciences 1989, 15, 325–332. [Google Scholar] [CrossRef]
- Chow, V.T. Handbook of applied hydrology: A compendium of water-resources technology, McGraw-Hill, 1493 pp., New York, 1964.
- Boots, B.N. Modifying Thiessen Polygons. The Canadian Geographer 1987, 31, 160–169. [Google Scholar] [CrossRef]
- Setianto, A.; Triandini, T. Comparison of kriging and inverse distance weighted (IDW) interpolation methods in lineament extraction and analysis. Journal of Applied Geology 2013, 5, 21–29. [Google Scholar] [CrossRef]
- Ly, S.; Charles, C.; Degre, A. Geostatistical interpolation of daily rainfall at catchment scale: The use of several variogram models in the Ourthe and Ambleve catchments, Belgium. Hydrology and Earth System Sciences 2011, 15, 2259–2274. [Google Scholar] [CrossRef]
- Ivšinović, J.; Malvić, T. Comparison of Mapping Efficiency for Small Datasets using Inverse Distance Weighting vs. Moving Average, Northern Croatia Miocene Hydrocarbon Reservoir. Geologija, 65, 2022, 1, 47–57. [Google Scholar] [CrossRef]
- Andrić, K.; Malvić, T.; Velić, J.; Barudžija, U.; Rajić, R. Poboljšana analiza i kartiranje geokemijskih i geoloških varijabli u prostoru Bjelovarske subdepresije (Sjeverna Hrvatska), primjenom metode inverzne udaljenosti. 2021.
- Novak, K. Modeliranje površinskoga transporta i geološki aspekti skladištenja ugljikova dioksida u neogenska pješčenjačka ležišta Sjeverne Hrvatske na primjeru polja Ivanić (Surface transportation modelling and geological aspects of carbon-dioxide storage into Northern Croatian neogene sandstone reservoirs, case study Ivanić field), disertation. – in Croatian, Faculty of Mining, Geology and Petroleum Engineering, University of Zagreb, Zagreb, 2015.
- Mesić Kiš, I. Comparison of ordinary and universal kriging interpolation techniques on a depth variable (a case of linear spatial trend), case study of the Šandrovac field. Rudarsko-geološko-naftni zbornik 2016, 31, 41–58. [Google Scholar] [CrossRef]
- Mesić Kiš, I.; Malvić, T. Variables selection and linear equations calculation for description of geological surface regional dip. Zbornik sažetaka međunarodne izložbe Inova 2016. [Google Scholar]
- Hodson, T.O. Root-mean-square error (RMSE) or mean absolute error (MAE): When to use them or not. Geoscientific Model Development 2022, 15, 5481–5487. [Google Scholar] [CrossRef]
- Draper, N.R.; Smith, H. Applied Regression Analysis, New York, 1981. A Whiley-Interscience Publication.
- Wan, X. The Influence of Polynomial Order in Logistic Regression on Decision Boundary. IOP Conference Series Earth and Environmental Science, Baubau, Indonesia 2019.
- Araújo, A. Polynomial regression with reduced over-fitting-The PALS technique. Measurement 2018, 124, 515–521. [Google Scholar] [CrossRef]







| Name | Surface X | Surface Y | Porosity | |
|---|---|---|---|---|
| J-101 | 6421096 | 5028877 | 0.217 | |
| J-120 | 6420658 | 5029068 | 0.272 | |
| J-161 | 6420957 | 5028870 | 0.217 | |
| J-162 | 6421034 | 5028593 | 0.217 | |
| J-167 | 6420529 | 5028674 | 0.217 | |
| J-168 | 6420699 | 5028475 | 0.315 | |
| J-169 | 6420349 | 5028825 | 0.217 | |
| J-170 | 6420349 | 5028926 | 0.223 | |
| J-174 | 6421298 | 5028863 | 0.217 | |
| J-175 | 6420475 | 5029136 | 0.223 | |
| J-158 | 6420303 | 5028910 | 0.223 | |
| J-171 | 6420576 | 5028970 | 0.223 | |
| J-172 | 6420928 | 5029147 | 0.223 | |
| J-102 | 6421208 | 5028926 | 0.217 | |
| J-148 | 6421126 | 5028437 | 0.217 | |
| J-149 | 6420959 | 5028501 | 0.217 | |
| J-166 | 6420771 | 5028650 | 0.217 | |
| J-25 | 6420546 | 5028460 | 0.315 | |
| J-173 | 6420539 | 5028382 | 0.217 |
| Name | Surface X | Surface Y | Porosity |
|---|---|---|---|
| L-111a | 6417747.87 | 5027750.49 | 0.239 |
| L-131a | 6416846.88 | 5028084.13 | 0.156 |
| L-136a | 6416153.34 | 5028514.94 | 0.145 |
| L-140 | 6415085.08 | 5028332.44 | 0.192 |
| L-142 | 6415018.82 | 5028518.52 | 0.186 |
| L-153 | 6416755 | 5028207.72 | 0.239 |
| L-155 | 6416966.63 | 5028205.04 | 0.156 |
| L-156 | 6415912.39 | 5028017.76 | 0.206 |
| L-160 | 6416409.59 | 5028202.77 | 0.197 |
| L-161 | 6416945.81 | 5028414.75 | 0.156 |
| L-27 | 6416655.05 | 5028085.51 | 0.197 |
| L-32 | 6417390.44 | 5027719.99 | 0.239 |
| L-33a | 6415763.3 | 5028687.46 | 0.214 |
| L-33b | 6415763.3 | 5028687.46 | 0.214 |
| L-37 | 6415833.62 | 5028477.16 | 0.214 |
| L-4a | 6415435.16 | 5028753.52 | 0.214 |
| L-5 | 6417199.92 | 5027939.22 | 0.239 |
| L-57 | 6415945.52 | 5028103.82 | 0.206 |
| L-62 | 6416090.56 | 5028354.65 | 0.206 |
| L-65a | 6415235.15 | 5028589.8 | 0.214 |
| L-66 | 6415579.42 | 5028511.51 | 0.214 |
| L-68 | 6415314.5 | 5028205.63 | 0.214 |
| L-73 | 6414912.05 | 5028679.32 | 0.192 |
| L-79 | 6414821.26 | 5028401.83 | 0.195 |
| L-87a | 6416346.64 | 5028297.46 | 0.917 |
| POROSITY OF RESERVOIR “K” | POROSITY OF RESERVOIR “L” | ||||
|---|---|---|---|---|---|
| DATA | MTO | MSE | Data | MTO | MSE |
| 19 | 1 | 0.054007 | 25 | 1 | 0.041100 |
| 19 | 2 | 0.054010 | 25 | 2 | 0.040168 |
| 19 | 3 | 0.054010 | 25 | 3 | 0.040168 |
| 19 | 4 | 0.054010 | 25 | 4 | 0.040168 |
| 19 | 5 | 0.054010 | 25 | 5 | 0.040168 |
| 19 | 10 | 0.054010 | 25 | 10 | 0.040168 |
| MSE | ||||
|---|---|---|---|---|
| Reservoirs | Data | IDW | OK | PR |
| “K” | 19 | 0.00119 | / | 0.5401 |
| “L” | 25 | / | 0.000676 | 0.0401688 |
Disclaimer/Publisher’s Note: The statements, opinions and data contained in all publications are solely those of the individual author(s) and contributor(s) and not of MDPI and/or the editor(s). MDPI and/or the editor(s) disclaim responsibility for any injury to people or property resulting from any ideas, methods, instructions or products referred to in the content. |
© 2025 by the authors. Licensee MDPI, Basel, Switzerland. This article is an open access article distributed under the terms and conditions of the Creative Commons Attribution (CC BY) license (http://creativecommons.org/licenses/by/4.0/).