Submitted:
17 February 2025
Posted:
19 February 2025
You are already at the latest version
Abstract
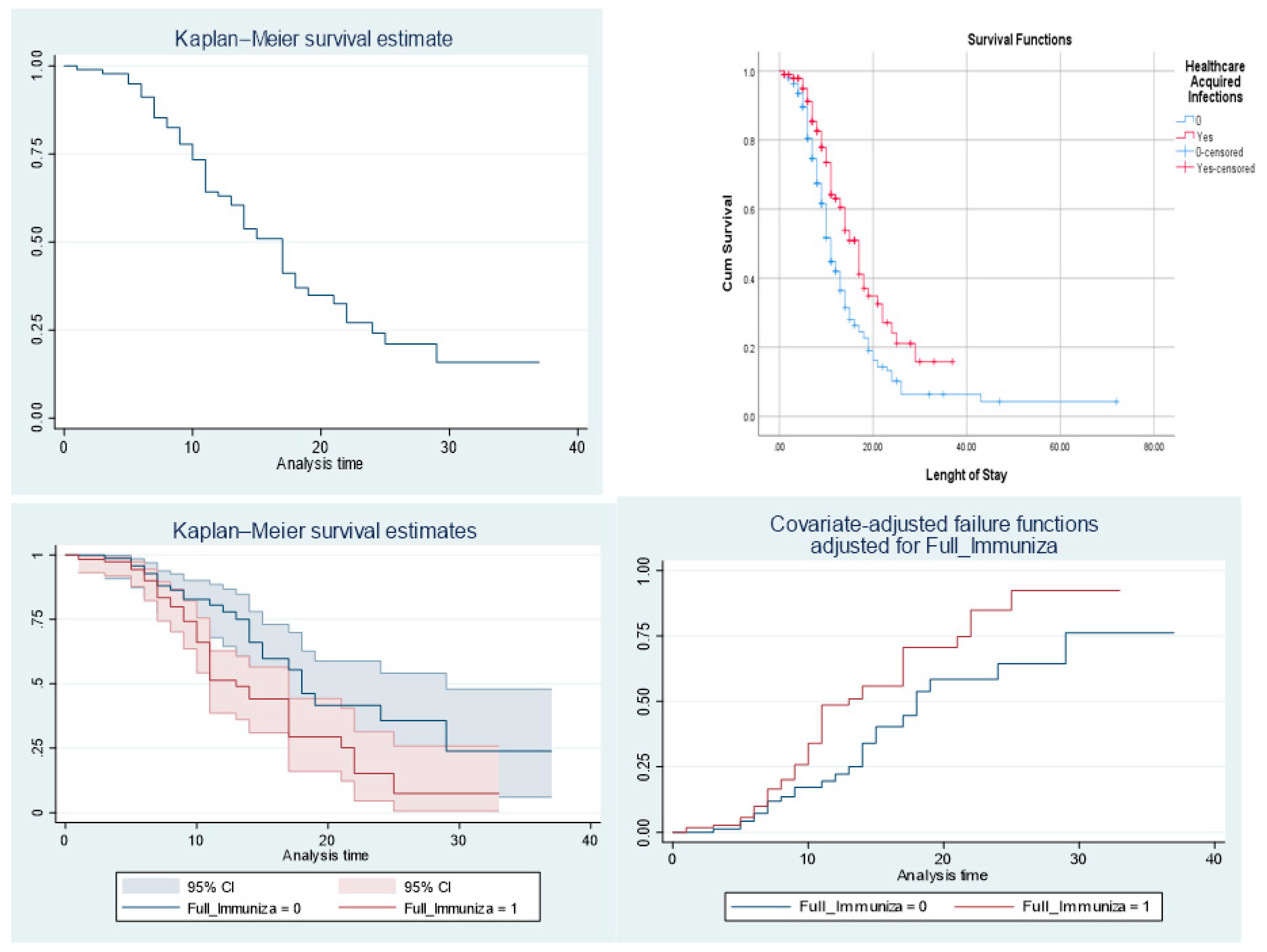
Background: Hospital -acquired infections (HAIs) can increase healthcare costs due to prolonged stay, and also contribute to increased microbial resistance due to the widespread occurrence of multidrug resistant pathogens in health facilities. The share of hospital-acquired infection in hospital stay time to the population of severe acute malnourished receiving treatment remains uncertain. Objective: This study investigates the outcomes, time to recovery and predictors of hospital -acquired infections (HAIs) among severe acute malnourished (SAM) children admitted to the Asella Referral and Teaching Hospital in Ethiopia's Oromia Region.Methods: A retrospective cohort study design was implemented, assessing factors influencing recovery time and identifying key predictors of HAIs among 493 infection-acquired children in the Hospital from registry data of 2020 to 2022. Data was extracted for one month by three nurses working on the pediatric ward. A descriptive survival analysis and a log-rank test was performed to make a comparison of survival characters among the categories of covariates. A Cox proportional hazard regression model was fitted to identify predictors that affect the outcome variable (time to recovery). Statistical significance of a variable was declared at a p-value less than 0.05.Results: The findings revealed a median time to recovery is 18+ 1.2 days, with HAIs observed in 38.5% of cases for 1957 days in the hospital. Children who acquired hospital infections (HAIs) during treatment experienced a high percentage of 40% delay in recovery (AHR = 0.60, 95% CI: 0.445 – 0.829, P = 0.002), and the statistical report indicated that the result is significant. The survival of the SAM associated HAIs children was significant statistically among male (= 3.5, p= 0.06, fully immunized( = 0.53, P= 0.467), and received antibiotics medication (= 4.34, p= 0.037) during the treatment, and, (= 4.34, p = 0.0373 respectively). The incidence rate recovery/survival was 0.03678 per-person day and IR of death is 0.04 per-person day among NIs. According to the WHZ Z score, children under the age of 0 to 5 and a half months fell between the range of -0.5 <z-score< -0.10. Conclusion and recommendations: The recovery rate of the children in the current study was 37.9% for SAM associated NIs and 57.75% for non-NIs, which is below the minimum standard of the SPHERE project and other studies in Ethiopia. Children who obtained antibiotic during care recovered far better than those who did not (Adjusted Hazard Ratio [AHR]: 0.607, 95% CI: 0.445–0.82, P = 0.002). This emphasizes how crucial the right antibiotic treatment is to be enhancing these children's likelihood of recovery. Anemia, tuberculosis, HAI, and bottle feeding are the most common co-morbidities seen and the main contributor to the delay of recovery, which is consistent with the reports of different scholars in Africa. Determining the most common type of HAIs in a hospital setting also requires defining the various types of HAIs. We suggested looking into more research on the impact of HAIs (NIs) on the recovery of malnutrition, particularly in edematous SAM.
Keywords:
1. Introduction
2. Methods and Materials
2.1. Study Area, Design and Period
2.2. Population of the Study
2.3. Sample Size Determination and Sampling Procedure
2.4. Data Collection and Quality Assurance
2.5. Data Management and Analysis
2.6. Ethical Consideration
3. Results
3.1. Descriptive Analysis
3.1.1. Socio-Demographic Characteristics, Nutritional Status, and Incidence of HAIs
Baseline Data Characteristics of Children
1.1. Magnitude of HAIs, Body Composition, and Clinical Characteristic of Children
1.2. The Median Time to Recovery and Treatment Outcomes
1.3. Incidence Rate (IR) of the Recovery

| Log-rank test for equality of survivor functions (For mortality indicator) | Log-rank test for equality of survivor functions (For survival indicator) | |||||||
| Observed | Expected | Observed | Expected | |||||
| HAIs | events | events | HAIs | events | events | |||
| Yes | 7 | 7.25 | Yes | 72 | 103.66 | |||
| No | 11 | 10.75 | No | 173 | 141.34 | |||
| Total | 18 | 18 | Total | 245 | 245 | |||
| chi2(1) | 0.01 | chi2(1) | 18.27 | |||||
| Pr>chi2 | 0.9042 | Pr>chi2 | 0 | |||||
1.1. Body Composition Assessment and Nutritional Indicators by Their Discharging Status
1.1. Predictors of Hospital-Acquired Infections Among Severely Acutely Malnourished Children
3.2. Diagnostic Test Based on the Schoenfeld Residuals
3.3. Model Goodness-of-Fit and Diagnostic Validity
4. Discussion
5. Strength and Limitation
6. Conclusion and Recommendation
Author Contributions
Funding
Data availability
Ethics Statement
Acknowledgments
Conflicts of Interest
References
- Lydeamore, M.J.; Mitchell, B.G.; Bucknall, T.; Cheng, A.C.; Russo, P.L.; Stewardson, A.J. Burden of five healthcare associated infections in Australia. Antimicrob. Resist. Infect. Control 2022, 11, 69. [Google Scholar] [CrossRef]
- Ben Salah, A.B.; Amri, F.; Chlif, S.; Rzig, B.; Kharrat, H.; Hadhri, H.; et al. Investigation of the spread of human visceral leishmaniasis in central Tunisia. Trans. R. Soc. Trop. Med. Hyg. 2000, 94, 382–386. [Google Scholar] [CrossRef]
- Kärki, T.; Plachouras, D.; Cassini, A.; Suetens, C. Burden of healthcare-associated infections in European acute care hospitals. Wien. Med. Wochenschr. 2019, 169 (Suppl. S1), 3–5. [Google Scholar] [CrossRef]
- Cassini, A.; Högberg, L.D.; Plachouras, D.; Quattrocchi, A.; Hoxha, A.; Simonsen, G.S.; et al. Attributable deaths and disability-adjusted life-years caused by infections with antibiotic-resistant bacteria in the EU and the European Economic Area in 2015: a population-level modelling analysis. Lancet Infect. Dis. 2019, 19, 56–66. [Google Scholar] [CrossRef] [PubMed]
- Zaidi, A.K.; Huskins, W.C.; Thaver, D.; Bhutta, Z.A.; Abbas, Z.; Goldmann, D.A. Hospital-acquired neonatal infections in developing countries. Lancet 2005, 365, 1175–1188. [Google Scholar] [CrossRef] [PubMed]
- Lydeamore, M.J.; Mitchell, B.G.; Bucknall, T.; Cheng, A.C.; Russo, P.L.; Stewardson, A.J. Burden of five healthcare associated infections in Australia. Antimicrob. Resist. Infect. Control. 2022, 11, 1–7. [Google Scholar]
- Khan, S. Nosocomial infection: general principles and the consequences, importance of its control and an outline of the control policy-a review article. Bangladesh Med. J. 2009, 38, 60–64. [Google Scholar] [CrossRef]
- Raka, L. Lowbury Lecture 2008: infection control and limited resources–searching for the best solutions. J. Hosp. Infect. 2009, 72, 292–298. [Google Scholar] [CrossRef]
- Shahida, S.; Islam, A.; Dey, B.; Islam, F.; Venkatesh, K.; Goodman, A. Hospital acquired infections in low and middle income countries: root cause analysis and the development of infection control practices in Bangladesh. Open J. Obstet. Gynecol. 2016. [Google Scholar] [CrossRef]
- Collins, S.; Sadler, K. Outpatient care for severely malnourished children in emergency relief programmes: a retrospective cohort study. Lancet 2002, 360, 1824–1830. [Google Scholar] [CrossRef]
- Organization, W.H. World health statistics 2022: monitoring health for the SDGs, sustainable development goals. 2022.
- Allegranzi, B.; Storr, J.; Dziekan, G.; Leotsakos, A.; Donaldson, L.; Pittet, D. The first global patient safety challenge “clean care is safer care”: from launch to current progress and achievements. J. Hosp. Infect. 2007, 65, 115–123. [Google Scholar] [CrossRef]
- Nelson, A.E.; Neiman, M. Persistent copulation in asexual female Potamopyrgus antipodarum: evidence for male control with size-based preferences. Int. J. Evol. Biol. 2011. [Google Scholar] [CrossRef] [PubMed]
- Sheng, W.-H.; Wang, J.-T.; Lin, M.-S.; Chang, S.-C. Risk factors affecting in-hospital mortality in patients with nosocomial infections. J. Formos. Med. Assoc. 2007, 106, 110–118. [Google Scholar] [CrossRef]
- Yallew, W.W.; Kumie, A.; Yehuala, F.M. Risk factors for hospital-acquired infections in teaching hospitals of Amhara regional state, Ethiopia: a matched-case control study. PloS One 2017, 12, e0181145. [Google Scholar] [CrossRef] [PubMed]
- Earnest, J.; Mansi, R.; Bayati, S.; Earnest, J.A.; Thompson, S.C. Resettlement experiences and resilience in refugee youth in Perth, Western Australia. BMC Res. Notes 2015, 8, 1–10. [Google Scholar] [CrossRef] [PubMed]
- Sahiledengle, B.; Seyoum, F.; Abebe, D.; Geleta, E.N.; Negash, G.; Kalu, A.; et al. Incidence and risk factors for hospital-acquired infection among paediatric patients in a teaching hospital: a prospective study in southeast Ethiopia. BMJ Open 2020, 10, e037997. [Google Scholar] [CrossRef]
- Abdel-Rahman, S.M.; Bi, C.; Thaete, K. Construction of lambda, mu, sigma values for determining mid-upper arm circumference z scores in US children aged 2 months through 18 years. Nutr. Clin. Pract. 2017, 32, 68–76. [Google Scholar] [CrossRef]
- Organization, WH. WHO child growth standards and the identification of severe acute malnutrition in infants and children: joint statement by the World Health Organization and the United Nations Children's Fund. 2009.
- Bizuneh, F.K.; Tolossa, T.; Bekonjo, N.E.; Wakuma, B. Time to recovery from severe acute malnutrition and its predictors among children aged 6–59 months at Asosa general hospital, Northwest Ethiopia. A retrospective follow up study. PloS One 2022, 17, e0272930. [Google Scholar] [CrossRef]
- Kabalo, M.Y.; Seifu, C.N. Treatment outcomes of severe acute malnutrition in children treated within Outpatient Therapeutic Program (OTP) at Wolaita Zone, Southern Ethiopia: retrospective cross-sectional study. J Health Popul Nutr 2017, 36, 7. [Google Scholar] [CrossRef]
- FMOH National Guideline for the Management of Acute Malnutrition in Ethiopia. Gov. Ethiop. 2019.
- Gebremichael, D.Y. Predictors of nutritional recovery time and survival status among children with severe acute malnutrition who have been managed in therapeutic feeding centers, Southern Ethiopia: retrospective cohort study. BMC Public Health 2015, 15, 1–11. [Google Scholar] [CrossRef] [PubMed]
- Gebremichael, M.; Bezabih, A.M.; Tsadik, M. Treatment outcomes and associated risk factors of severely malnourished under five children admitted to therapeutic feeding centers of Mekelle City, Northern Ethiopia. Open Access Libr. J. 2014, 1, 1. [Google Scholar] [CrossRef]
- Hussen Kabthymer, R.; Gizaw, G.; Belachew, T. Time to cure and predictors of recovery among children aged 6–59 months with severe acute malnutrition admitted in Jimma University medical center, Southwest Ethiopia: A retrospective cohort study. Clin. Epidemiol. 2020, 1149–1159. [Google Scholar] [CrossRef]
- Jarso, H.; Workicho, A.; Alemseged, F. Survival status and predictors of mortality in severely malnourished children admitted to Jimma University Specialized Hospital from 2010 to 2012, Jimma, Ethiopia: a retrospective longitudinal study. BMC Pediatr. 2015, 15, 1–13. [Google Scholar] [CrossRef] [PubMed]
- Oumer, A.; Mesfin, F.; Demena, M. Survival Status and Predictors of Mortality among Children Aged 0-59 Months Admitted with Severe Acute Malnutrition in Dilchora Referral Hospital, Eastern Ethiopia. East Afr. J. Health Biomed. Sci. 2016, 1, 13–22. [Google Scholar]
- Yallew, W.W.; Kumie, A.; Yehuala, F.M. Point prevalence of hospital-acquired infections in two teaching hospitals of Amhara region in Ethiopia. Drug Healthc. Patient Saf. 2016, 71–76. [Google Scholar] [CrossRef]
- Mehta, N.M.; Corkins, M.R.; Lyman, B.; Malone, A.; Goday, P.S.; Carney, L.; et al. Defining pediatric malnutrition: a paradigm shift toward etiology-related definitions. J. Parenter. Enter. Nutr. 2013, 37, 460–481. [Google Scholar] [CrossRef] [PubMed]
- Anderson, L.N.; Carsley, S.; Lebovic, G.; Borkhoff, C.M.; Maguire, J.L.; Parkin, P.C.; et al. Misclassification of child body mass index from cut-points defined by rounded percentiles instead of Z-scores. BMC Res. Notes 2017, 10, 1–4. [Google Scholar] [CrossRef]
- Goutaki, M.; Halbeisen, F.S.; Spycher, B.D.; Maurer, E.; Belle, F.; Amirav, I.; et al. Growth and nutritional status, and their association with lung function: a study from the international Primary Ciliary Dyskinesia Cohort. Eur. Respir. J. 2017, 50. [Google Scholar] [CrossRef]
- Desta, K. Survival status and predictors of mortality among children aged 0–59 months with severe acute malnutrition admitted to stabilization center at Sekota Hospital Waghemra Zone. J Nutr Disord Ther. 2015, 5, 1–11. [Google Scholar]
- Teferi, E.; Lera, M.; Sita, S.; Bogale, Z.; Datiko, D.G.; Yassin, M.A. Treatment outcome of children with severe acute malnutrition admitted to therapeutic feeding centers in Southern Region of Ethiopia. Ethiop. J. Health Dev. 2010, 24. [Google Scholar] [CrossRef]
- Choudhury, Z.; Chowdhury, D.; Hoq, T.; Begum, M.; Shamsul Alam, M. A comparative study between SAM with Edema and SAM without Edema and associated factors influencing treatment, outcome & recovery. Am. J. Pediatr. 2020, 6, 468–475. [Google Scholar]
- Eyi, S.E.; Debele, G.R.; Negash, E.; Bidira, K.; Tarecha, D.; Nigussie, K.; et al. Severe acute malnutrition’s recovery rate still below the minimum standard: predictors of time to recovery among 6-to 59-month-old children in the healthcare setting of Southwest Ethiopia. J. Health Popul. Nutr. 2022, 41, 48. [Google Scholar] [CrossRef]
- Zegeye Mk Belew Ak Aserese, A.D.; Daba, D.B. Time to recovery from malnutrition and its predictors among human immunodeficiency virus positive children treated with ready-to-use therapeutic food in low resource setting area: A retrospective follow-up study. Health Sci. Rep. 2023, 6, e959. [Google Scholar] [CrossRef] [PubMed]
- Mwanza, M.; Okop, K.J.; Puoane, T. Evaluation of outpatient therapeutic programme for management of severe acute malnutrition in three districts of the eastern province, Zambia. BMC Nutr. 2016, 2, 1–9. [Google Scholar] [CrossRef]
- Talbert, A.; Thuo, N.; Karisa, J.; Chesaro, C.; Ohuma, E.; Ignas, J.; et al. Diarrhoea complicating severe acute malnutrition in Kenyan children: a prospective descriptive study of risk factors and outcome. PloS One. 2012, 7, e38321. [Google Scholar] [CrossRef] [PubMed]
- Munthali, T.; Jacobs, C.; Sitali, L.; Dambe, R.; Michelo, C. Mortality and morbidity patterns in under-five children with severe acute malnutrition (SAM) in Zambia: a five-year retrospective review of hospital-based records (2009–2013). Arch. Public Health 2015, 73, 1–9. [Google Scholar] [CrossRef]
- Buse, K.; Hawkes, S. Health in the sustainable development goals: ready for a paradigm shift? Glob. Health 2015, 11, 1–8. [Google Scholar] [CrossRef]





| Variables | Categories | Total | Total % | Censored | Censored % | Recovered | Recovered % |
| Age of the child | 0-6 months | 106 | 21.50% | 47 | 19 | 59 | 24.1 |
| 7-11 months | 149 | 30.20% | 77 | 31 | 72 | 29.4 | |
| 12-23 months | 160 | 32.50% | 81 | 32.7 | 79 | 32.2 | |
| 24-36 months | 70 | 14.20% | 40 | 16.1 | 30 | 12.2 | |
| 36-59 months | 8 | 1.60% | 3 | 1.2 | 5 | 2.0 | |
| Sex of child | Male | 292 | 59.20% | 153 | 61.7 | 139 | 56.7 |
| Female | 201 | 40.80% | 95 | 38.3 | 106 | 43.3 | |
| Exclusive Breast feeding | Yes | 47 | 9.50% | 34 | 13.7 | 13 | 5.3 |
| No | 446 | 90.50% | 214 | 86.3 | 232 | 94.7 | |
| Residence | Urban | 67 | 13.60% | 37 | 14.9 | 30 | 12.2 |
| Rural | 426 | 86.40% | 211 | 85.1 | 215 | 87.8 | |
| Bottle feeding (BF) | Yes | 235 | 47.70% | 139 | 56.0 | 96 | 39.2 |
| No | 258 | 52.30% | 109 | 44 | 149 | 60.8 | |
| Complementary Feeding (CF) | Yes | 424 | 86.00% | 219 | 88.3 | 205 | 83.7 |
| No | 69 | 14.00% | 29 | 11.7 | 40 | 16.3 | |
| Fully Immunized | Yes | 232 | 47.10% | 117 | 47.2 | 115 | 46.9 |
| No | 261 | 52.90% | 131 | 52.8 | 130 | 53.1 | |
| Measles | Yes | 3 | 0.60% | 3 | 1.2 | 0 | 0 |
| No | 490 | 99.40% | 245 | 98.8 | 245 | 100 | |
| Anemia (Pale conjuctives) | Yes | 152 | 30.80 | 77 | 31 | 75 | 30.6 |
| No | 341 | 69.20 | 171 | 69.0 | 170 | 69.4 | |
| TB Infection | Yes | 464 | 94.10 | 232 | 93.5 | 232 | 94.7 |
| No | 29 | 5.90 | 16 | 6.5 | 13 | 5.3 | |
| Pneumonia | Yes | 306 | 62.10 | 160 | 64.5 | 146 | 59.6 |
| No | 187 | 37.90 | 88 | 35.5 | 99 | 40.4 | |
| Anti-TB drug | Yes | 30 | 6.10 | 17 | 6.9 | 13 | 5.3 |
| No | 463 | 93.90 | 231 | 93.1 | 232 | 94.7 |
| Variables | Categories | Total | Total % | Censored | Censored % | Recovered | Recovered % |
| Type of SAM | Marasmus | 447 | 90.70% | 226 | 91.1 | 221 | 90.2 |
| Kwashiorkor | 31 | 6.30% | 16 | 6.5 | 15 | 6.1 | |
| Marasmic-Kwash | 15 | 3.00% | 6 | 2.4 | 9 | 3.7 | |
| Edematous | Yes | 43 | 8.70% | 226 | 91.1 | 224 | 91.4 |
| No | 450 | 91.30% | 22 | 8.9 | 21 | 8.6 | |
| NG Tube Feeding |
Yes | 273 | 55.40% | 152 | 61.3 | 121 | 49.4 |
| No | 220 | 44.60% | 96 | 38.7 | 124 | 50.6 | |
| Folic Acid supplementation | Yes | 76 | 15.40% | 44 | 17.7 | 32 | 13.1 |
| No | 417 | 84.60% | 204 | 82.3 | 213 | 86.9 | |
| Vitamin A Supplementation | Yes | 13 | 2.60% | 6 | 2.4 | 7 | 2.9 |
| No | 480 | 97.40% | 242 | 97.6 | 238 | 97.1 | |
| Zinc Supplementation | Yes | 6 | 1.20% | 2 | 0.8 | 4 | 1.6 |
| No | 487 | 98.80% | 246 | 99.2 | 241 | 98.4 | |
| Formula 75 | Yes | 380 | 77.10% | 198 | 79.8 | 182 | 74.3 |
| No | 113 | 22.90% | 50 | 20.2 | 63 | 25.7 | |
| Formula 100 | Yes | 114 | 23.10% | 53 | 21.4 | 61 | 24.9 |
| No | 379 | 76.90% | 195 | 78.6 | 184 | 75.1 | |
| Ready to use therapeutic food | Yes | 166 | 33.70% | 85 | 34.3 | 81 | 33.1 |
| No | 327 | 66.30% | 163 | 65.7 | 164 | 66.9 | |
| ResoMal fluid | Yes | 293 | 59.40% | 144 | 58.1 | 149 | 60.8 |
| No | 200 | 40.60% | 104 | 41.9 | 96 | 39.2 |
| Variables | Categories | Total | Total % | Censored | Censored % | Recovered | Recovered % |
| Blood in the stool | Yes | 6 | 1.20 | 4 | 1.6 | 2 | 0.8 |
| No | 487 | 98.80 | 244 | 98.4 | 243 | 99.2 | |
| Septic Shock | Yes | 13 | 2.60 | 9 | 3.6 | 4 | 1.6 |
| No | 480 | 97.40 | 239 | 96.4 | 241 | 98.4 | |
| Malaria | Yes | 1 | 0.20 | 1 | 0.4 | 0 | 0 |
| No | 492 | 99.80 | 247 | 99.6 | 245 | 100 | |
| Diarrhea | Yes | 283 | 57.40 | 144 | 58.1 | 139 | 56.7 |
| No | 210 | 42.60 | 104 | 41.9 | 106 | 43.3 | |
| Cough | Yes | 338 | 68.60 | 177 | 71.4 | 161 | 65.7 |
| No | 155 | 31.40 | 71 | 28.6 | 84 | 34.3 | |
| Fever (Altered body Temp) | Yes | 145 | 29.40 | 88 | 35.5 | 57 | 23.3 |
| No | 348 | 70.60 | 160 | 64.5 | 188 | 76.7 | |
| HAIs | Yes | 190 | 38.50 | 120 | 48.4 | 70 | 28.6 |
| No | 303 | 61.50 | 128 | 51.6 | 175 | 71.4 | |
| Type of HAIs_PNEU | Yes | 181 | 36.70 | 137 | 55.2 | 175 | 71.4 |
| No | 312 | 63.30 | 111 | 44.8 | 70 | 28.6 | |
| Type of HAIs_BSI | Yes | 2 | 0.40 | 247 | 99.6 | 244 | 99.6 |
| No | 491 | 99.60 | 1 | 0.4 | 1 | 0.4 | |
| Type of HAIs_SSI | Yes | 2 | 0.40% | 247 | 99.6 | 244 | 99.6 |
| No | 491 | 99.60 | 1 | 0.4 | 1 | 0.4 | |
| Type of HAIs_UTI | Yes | 21 | 4.30 | 237 | 95.6 | 235 | 95.9 |
| No | 472 | 95.70 | 11 | 4.4 | 10 | 4.1 | |
| Vomiting | Yes | 328 | 66.50 | 166 | 66.9 | 162 | 66.1 |
| No | 165 | 33.50 | 82 | 33.1 | 83 | 33.9 | |
| Intravenous fluids | Yes | 456 | 92.50 | 225 | 90.7 | 231 | 94.3 |
| No | 37 | 7.50 | 23 | 9.3 | 14 | 5.7 | |
| Antibiotics | Yes | 467 | 94.70 | 237 | 95.6 | 230 | 93.9 |
| No | 26 | 5.30 | 11 | 4.4 | 15 | 6.1 |
| Variables | Categories | Event of Survival | CRH (95%: CI) | SE (Coeff) | P-value | AHR (95%: CI) | SE (Coeff) | P-value | |
| Censored | Recovered | ||||||||
| Sex of child | Male | 153 | 138 | 0.801 (0.5591.147) | 0.183 | 0.226 | 1.219 (0.934-1.592) | .136 | .145 |
| Female | 95 | 107 | 1 | 1 | |||||
| Exclusive Breast feeding | Yes | 214 | 232 | 2.835 (1.457-5.517) | 0.340 | 0.002 | 1.458 (1.249-1.841) | .310 | .012 |
| No | 34 | 13 | 1 | 1 | |||||
| Bottle feeding (BF) | Yes | 139 | 96 | 0.505 (0.353-0.723) | 0.183 | 0.000 | 1.134 (0.841-1.528) | .152 | .409 |
| No | 109 | 149 | 1 | 1 | |||||
| Complementary Feeding (CF) | Yes | 219 | 205 | 1.474 (0.881-2.465) | 0.263 | 0.14 | 1.447 (0.906-2.310) | .239 | .122 |
| No | 29 | 40 | 1 | 1 | |||||
| Fully Immunized | Yes | 131 | 130 | 1.85 (1.13 – 3.02) | 0.46 | 0.014 | 1.91 (1.16 – 3.13) | 0.48 | .010 |
| No | 117 | 115 | 1 | 1 | |||||
| Blood in the stool | Yes | 4 | 2 | 0.502 (0.091-2.767) | 0.871 | 0.229 | 2.785 (0.644-12.047) | .747 | .171 |
| No | 244 | 243 | 1 | 1 | |||||
| TB Infection | Yes | 16 | 13 | 0.813 (0.382-1.727) | 0.385 | 0.189 | 0.906 (0.834-0.928) | .298 | .038 |
| No | 232 | 232 | 1 | 1 | |||||
| Edemateous | Yes | 22 | 21 | 0.963 (0.515-1.801) | 0.319 | 0.206 | 1.177 (0.445-3.116) | .496 | .742 |
| No | 226 | 224 | 1 | 1 | |||||
| Intravenous fluids | Yes | 23 | 14 | 0.593 (0.298-1.181) | 0.352 | 0.137 | 0.793 (0.561-0.903) | .288 | .006 |
| No | 225 | 231 | 1 | 1 | |||||
| HAIs | Yes | 118 | 72 | 0.459 (0.316-0.664) | 0.189 | 0.000 | 0.607 (0.445-0.829) | .159 | .002 |
| No | 130 | 173 | 1 | 1 | |||||
| Type of HAIs_UTI | Yes | 9 | 10 | 0.885 (0.353-2.217) | 0.469 | 0.194 | 0.827 (0.404-1.692) | .365 | .602 |
| No | 239 | 235 | 1 | 1 | |||||
| Formula 75 | Yes | 198 | 182 | 0.730 (0.478-1.113) | 0.215 | 0.413 | 1.194 (0.713-1.998) | .263 | .501 |
| No | 50 | 63 | 1 | 1 | |||||
| Formula 100 | Yes | 53 | 61 | 1.220 (0.802-1.856) | 0.214 | 0.233 | 1.374 (0.831-2.274) | .257 | .216 |
| No | 195 | 184 | 1 | 1 | |||||
| RUTF | Yes | 85 | 81 | 0.947 (0.652-1.376) | 0.191 | 0.176 | .952 (0.706-1.283) | .152 | .747 |
| No | 163 | 164 | 1 | 1 | |||||
| ResoMal fluid | Yes | 144 | 149 | 1.121 (0.782-1.606) | 0.184 | 0.234 | .984 (0.751-1.289) | .138 | .904 |
| No | 104 | 96 | 1 | 1 | |||||
| Antibiotics | Yes | 237 | 230 | 0.40 (0.159 – 0.999) | 0.187 | 0.050 | 0.36 (0.142-0.925) | 0.17 | 0.034 |
| No | 11 | 15 | 1 | 1 | |||||
Disclaimer/Publisher’s Note: The statements, opinions and data contained in all publications are solely those of the individual author(s) and contributor(s) and not of MDPI and/or the editor(s). MDPI and/or the editor(s) disclaim responsibility for any injury to people or property resulting from any ideas, methods, instructions or products referred to in the content. |
© 2025 by the authors. Licensee MDPI, Basel, Switzerland. This article is an open access article distributed under the terms and conditions of the Creative Commons Attribution (CC BY) license (http://creativecommons.org/licenses/by/4.0/).