Submitted:
10 February 2025
Posted:
11 February 2025
You are already at the latest version
Abstract
Keywords:
1. Introduction
2. Materials and Methods
2.1. Neuromorphic Framework for Adaptive MCD
- A 3D recurrent SNN architecture (3D-SNN), spatially structured and adaptable to an individual 3D brain template, for feature extraction from recorded ECoG brain signals. The SNN is incrementally trained in an unsupervised mode.
- A recurrent Echo State Network (ESN) for decoding of the brain trained in a supervised mode on-line via recursive least squares (RLS) or reinforcement learning (RL) algorithms.
- State (idle, hand or leg movement) (): a vector with dimension corresponding to the number of possible states that was decoded via from the predicted model output.
- Trajectory (left and right hand positions in 3D space)(): a vector of x, y and z coordinates for each hand.
- Satisfaction (): two-dimensional vector that was decoded via from the predicted model output.
- Using STDP rule to continuously adapt the 3D-SNN connectivity in an unsupervised way, based on history of the input signal as well as the state of spiking neurons. This can be used for auto-adaptation of the model, when new data from the subject are continuously entered for unsupervised learning. This will ensure that the model will continuously adapt (auto-adapt) with the subject’s movement improvement in time.
- Using reinforcement learning rule (RL) of the output parameters of the ESN responsible for motor action based on satisfaction prediction.
2.2. Software Implementation
| Algorithm 1 Pseudocode of on-line training algorithm |
|
Initialization
Initialize ESN module parameters
Compose 3D-SNN module using neurons and ECoG positions
|
- 12th Gen Intel® Core™ i7-12700
- Installed RAM 32 GB
- Base speed 2.10 GHz
- Cores 12
- Logical processors 20
- Initialization includes generation/reading of model parameters and setting-up of two recurrent structures (3D-SNN and ESN): 49 seconds approximately.
- Single RLS iteration (training on one input/output train data example): 2.5-3.5 seconds
- Single RL iteration (training on one input/output train data example): 0.55-0.65 seconds
- Single step model output calculation: 0.58-0.63 seconds
2.3. Experimental Data
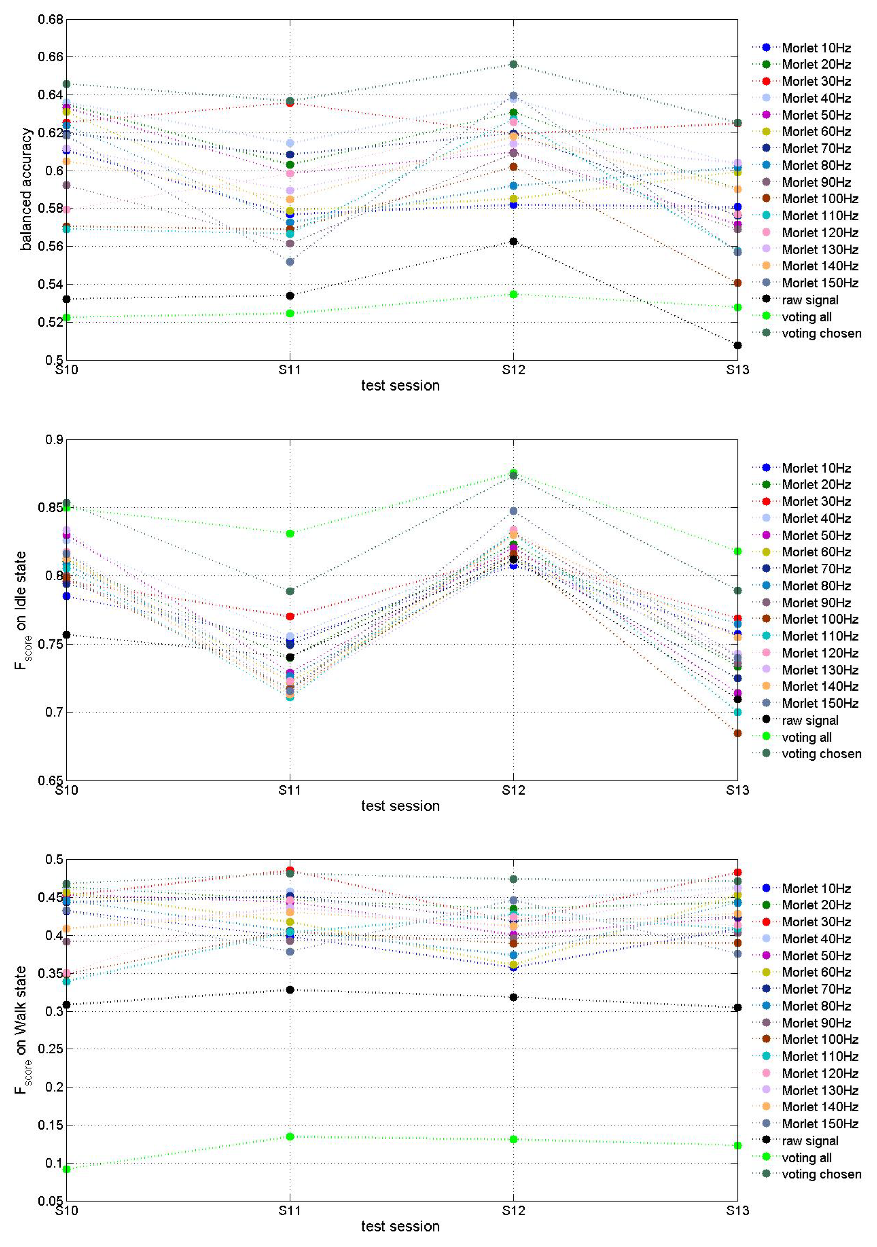
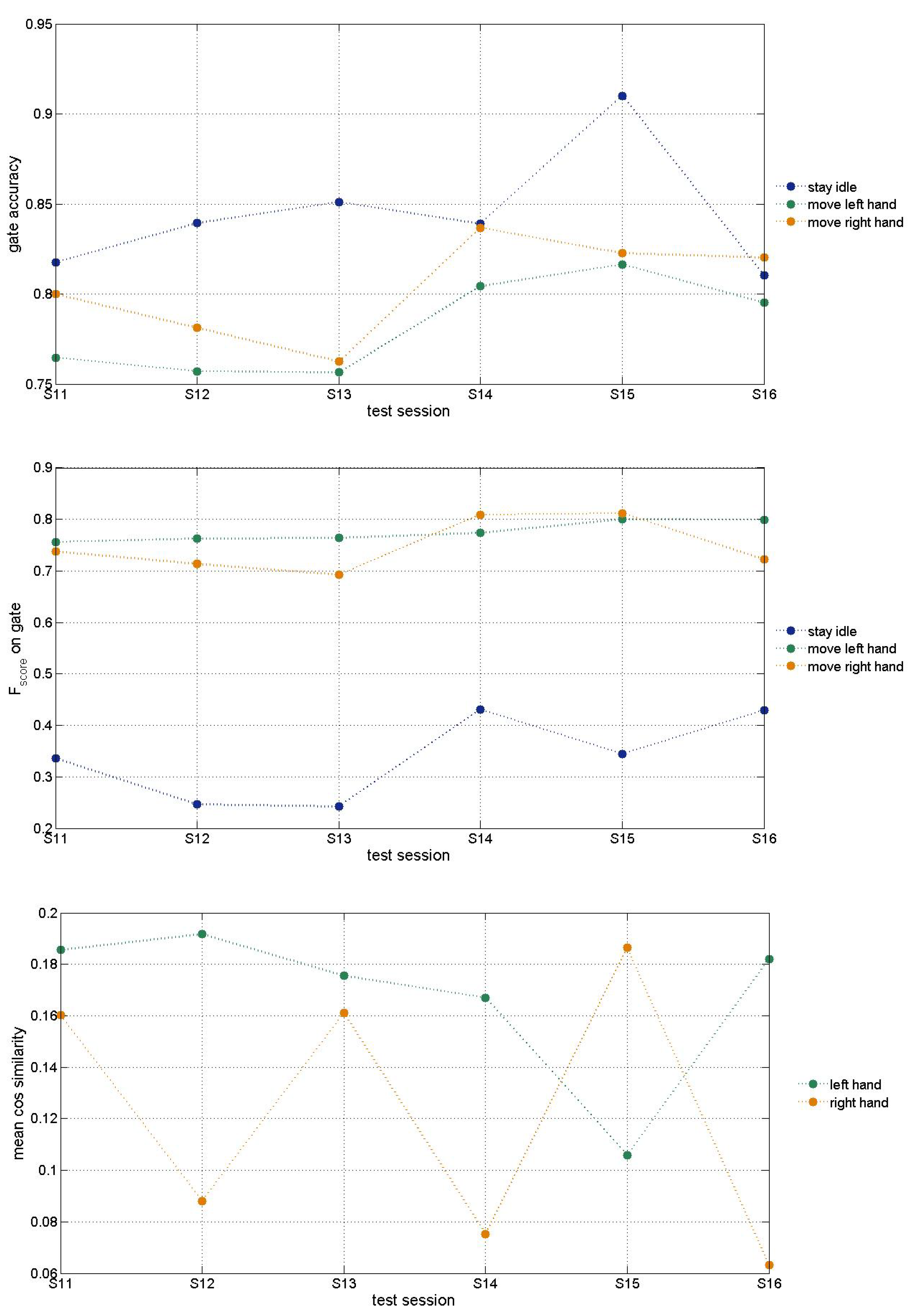
3. Results
- : Shifting up amplitudes of the ECoG signals.
- : Square Morlet transformation [34] of ECoG signals using 15 fundamental frequencies (from 10 to 150 Hz with a step of 10 Hz).
4. Discussion
5. Conclusions
Author Contributions
Funding
Informed Consent Statement
Data Availability Statement
Acknowledgments
Conflicts of Interest
References
- Rudroff, T., Decoding thoughts, encoding ethics: A narrative review of the BCI-AI revolution, Brain Research, vol. 1850, 2025, 149423.
- Sumithra, M.G., Dhanaraj, R.K., Milanova, M., Balusamy, B., Venkatesan, C. (Eds.), Brain-Computer Interface: Using Deep Learning Applications, 2023, ISBN:9781119857655, Wiley.
- Awuah, W.A., Ahluwalia, A., Darko, K., et al., Bridging Minds and Machines: The Recent Advances of Brain-Computer Interfaces in Neurological and Neurosurgical Applications, World Neurosurgery, vol. 189, 2024, pp. 138-153.
- Paul, D., Mukherjee, M., Bakshi, A., A Review of Brain-Computer Interface, In: Mukherjee, M., Mandal, J., Bhattacharyya, S., Huck, C., Biswas, S. (eds) Advances in Medical Physics and Healthcare Engineering. Lecture Notes in Bioengineering, 2021, pp. 507–531.
- Ajiboye et al., A. B., Restoration of reaching and grasping movements through brain-controlled muscle stimulation in a person with tetraplegia: a proof-of-concept demonstration, The Lancet, vol. 389, no. 10081, Art. no. 10081, May 2017. [CrossRef]
- Buttfield, A., Ferrez, P. W., Millan, Jd. R., Towards a robust BCI: error potentials and online learning, IEEE Trans. Neural Syst. Rehabil. Eng., vol. 14, no. 2, pp. 164–168, Jun. 2006. [CrossRef]
- Eliseyev, A. et al., Recursive Exponentially Weighted N-way Partial Least Squares Regression with Recursive-Validation of Hyper-Parameters in Brain-Computer Interface Applications, Sci. Rep., vol. 7, no. 1, Art. no. 1, Dec. 2017. [CrossRef]
- Orsborn, A. L., Moorman, H. G., Overduin, S. A., Shanechi, M. M., Dimitrov, D. F., Carmena, J. M., Closed-Loop Decoder Adaptation Shapes Neural Plasticity for Skillful Neuroprosthetic Control, Neuron, vol. 82, no. 6, pp. 1380–1393, Jun. 2014. [CrossRef]
- Wodlinger, B., Downey, J. E., Tyler-Kabara, E. C., Schwartz, A. B., Boninger, M. L., Collinger, J. L., Ten-dimensional anthropomorphic arm control in a human brain-machine interface: difficulties, solutions, and limitations, J. Neural Eng., vol. 12, no. 1, Art. no. 1, Dec. 2014. [CrossRef]
- Benabid, A. L.et al., An exoskeleton controlled by an epidural wireless brain–machine interface in a tetraplegic patient: a proof-of-concept demonstration, Lancet Neurol., Oct. 2019. [CrossRef]
- Lorach, H., Galvez, A., Spagnolo, V. et al., Walking naturally after spinal cord injury using a brain–spine interface. Nature 618, 126–133 (2023). [CrossRef]
- Moly, A., Costecalde, T., Martel, F., Martin, M., Larzabal, C., Karakas, S., Verney, A., Charvet, G., Chabardes, S., Benabid, A. L., Aksenova, T., An adaptive closed-loop ECoG decoder for long-term and stable bimanual control of an exoskeleton by a tetraplegic, J. Neural Eng. 19 (2022) 026021. [CrossRef]
- Behrenbeck, J. et al., Classification and regression of spatio-temporal signals using NeuCube and its realization on SpiNNaker neuromorphic hardware, J. Neural Eng., vol. 16, no. 2, p. 026014, Feb. 2019. [CrossRef]
- Davies, M., Srinivasa, N., Lin, T.-H., Chinya, G., Joshi, P., Lines, A., Wild, A., Wang, H., Mathaikutty, D., (2018). Loihi: A Neuromorphic Manycore Processor with On-Chip Learning. IEEE Micro. PP. 1-1. [CrossRef]
- Kasabov, N., Time-Space, Spiking Neural Networks and Brain-Inspired Artificial Intelligence, Springer (2018) 750p., https://www.springer.com/gp/book/9783662577134.
- Blumberg, J. , Rickert, J., Waldert, S., Schulze-Bonhage, A., Aertsen, A., Mehring, C., Adaptive Classification for Brain Computer Interfaces, In 29th Annual International Conference of the IEEE Engineering in Medicine and Biology Society, Aug. 2007, pp. 2536–2539. [CrossRef]
- Gürel, T., Mehring, C., Unsupervised adaptation of brain machine interface decoders, Front. Neurosci., vol. 6, p. 164, 2012. [CrossRef]
- Kumarasinghe, K., Kasabov, N., Taylor, D., Brain-inspired spiking neural networks for decoding and understanding muscle activity and kinematics from electroencephalography signals during hand movements, Sci. Rep., vol. 11, no. 1, p. 2486, Jan. 2021. [CrossRef]
- Kumarasinghe, K., Kasabov, N., Taylor, D., Deep learning and deep knowledge representation in Spiking Neural Networks for Brain-Computer Interfaces, Neural Netw., vol. 121, pp. 169–185, Jan. 2020. [CrossRef]
- Llera, A., Gómez, V., Kappen, H. J., Adaptive Classification on Brain-Computer Interfaces Using Reinforcement Signals, Neural Comput., vol. 24, no. 11, pp. 2900–2923, Nov. 2012. [CrossRef]
- Rouanne, V., Śliwowski, M., Costecalde, T., Benabid, A., Aksenova, T., Detection of Error Correlates in the Motor Cortex in a Long Term Clinical Trial of ECoG based Brain Computer Interface, In Proceedings of the 14th International Joint Conference on Biomedical Engineering Systems and Technologies (BIOSTEC 2021)- Volume 4: BIOSIGNALS, pp. 26-34. [CrossRef]
- Spüler, M. et al., Decoding of motor intentions from epidural ECoG recordings in severely paralyzed chronic stroke patients, J. Neural Eng., vol. 11, no. 6, Art. no. 6, Dec. 2014. [CrossRef]
- Zeyl, T. J., Chau, T., A case study of linear classifiers adapted using imperfect labels derived from human event-related potentials, Pattern Recognit. Lett., vol. 37, pp. 54–62, Feb. 2014. [CrossRef]
- Kasabov, N. K., NeuCube: A spiking neural network architecture for mapping, learning and understanding of spatio-temporal brain data, Neural Networks, vol. 52, pp. 62-76, 2014.
- Kasabov, N., Dhoble, K., Nuntalid, N., Indiveri, G., Dynamic evolving spiking neural networks for on-line spatio- and spectro-temporal pattern recognition, Neural Netw., vol. 41, pp. 188–201, May 2013. [CrossRef]
- Koprinkova-Hristova, P., Penkov, D., Nedelcheva, S., Yordanov, S., Kasabov, N.. On-line Learning, Classification and Interpretation of Brain Signals using 3D SNN and ESN. Proceedings of the International Joint Conference on Neural Networks, 2023-June, IEEE, 2023, ISBN:978-166548867-9, Number-23518355. [CrossRef]
- Guetig et al., Learning input correlations through nonlinear temporally asymmetric hebbian plasticity. Journal of Neuroscience, vol. 23, 2003, pp. 3697-3714.
- Jaeger, H., Tutorial on training recurrent neural networks, covering BPPT, RTRL, EKF and the “echo state network” approach. GMD Report 159, German National Research Center for Information Technology (2002).
- Rouanne, V. 2022, Adaptation of discrete and continuous intracranial Brain-Computer Interfaces using neural correlates of task performance decoded continuously from the sensorimotor cortex of a tetraplegic, PhD thesis, Université Grenoble Alpes (https://theses.hal.science/tel-03917556).
- Rouanne V. et al 2022, Unsupervised adaptation of an ECoG based brain-computer interface using neural correlates of task performance, Scientific Reports, 12(1), 21316. [CrossRef]
- Sutton, Richard S. and Andrew G. Barto, Reinforcement Learning: An Introduction, second edition, 2018, The MIT Press, Cambridge, Massachusetts, London, England.
- Spreizer, S. et al., NEST 3.3 (3.3), 2022, Zenodo. [CrossRef]
- Mestais, C. S. et al 2015, WIMAGINE: wireless 64-channel ECoG recording implant for long term clinical applications, IEEE Trans. Neural Syst. Rehabil. Eng., 23, p. 10-21. [CrossRef]
- Morlet, J. (1983). Sampling Theory and Wave Propagation. In: Chen, C.H. (eds) Issues in Acoustic Signal — Image Processing and Recognition. NATO ASI Series, vol 1. Springer, Berlin, Heidelberg. [CrossRef]
- Penkov, D., Koprinkova-Hristova, P., Kasabov, N., Nedelcheva, S., Ivanovska, S., Yordanov, S. (2024). Grid Search Optimization of Novel SNN-ESN Classifier on a Supercomputer Platform. In: Lirkov, I., Margenov, S. (eds) Large-Scale Scientific Computations. LSSC 2023. Lecture Notes in Computer Science, vol 13952. Springer, Cham. [CrossRef]
- Schliebs, S., Defoin-Platel, M., Worner, S., Kasabov, N. (2009). Integrated feature and parameter optimization for an evolving spiking neural network: Exploring heterogeneous probabilistic models. Neural Networks, 22(5-6), 623-632.
- Kasabov., N., Evolving Connectionist Systems, Springer, 2007.
- Furber, S. B., Galluppi, F., Temple, S., Plana, L. A., The SpiNNaker Project, In Proceedings of the IEEE, vol. 102, no. 5, pp. 652-665, May 2014. [CrossRef]







| Hyperparameter | Value |
|---|---|
| 3D-SNN | |
| membrane potential threshold | -65.0 mV |
| refractory time | 0 ms |
| STDP learning rate | 0.001 |
| ESN | |
| leaking rate a | 0.5 |
| number of reservoir neurons | 15000 |
| sparsity of reservoir connectivity matrix | 0.5 |
Disclaimer/Publisher’s Note: The statements, opinions and data contained in all publications are solely those of the individual author(s) and contributor(s) and not of MDPI and/or the editor(s). MDPI and/or the editor(s) disclaim responsibility for any injury to people or property resulting from any ideas, methods, instructions or products referred to in the content. |
© 2025 by the authors. Licensee MDPI, Basel, Switzerland. This article is an open access article distributed under the terms and conditions of the Creative Commons Attribution (CC BY) license (http://creativecommons.org/licenses/by/4.0/).