Preprint
Article

This version is not peer-reviewed.

Golden Ratio Function: Similarity Fields in The Vector Space

Submitted:

21 January 2025

Posted:

22 January 2025

You are already at the latest version

Abstract
In this work, we generalize and describe the Golden ratio in the multi-dimensional vec-tor space. We also introduce the concept the law of similarity for multidimensional vectors. Ini-tially, the law of similarity was derived for one-dimensional vectors. Although it operated with such values of the ratio of parts of the whole, it meant linear dimensions (a line is one-dimensionality). The presented concept of the general golden ratio (GGR) for the vectors in the multidimensional space is described in detail with equations and solutions. It shown that the GGR is a function of one or a few angles, which is the solution of equations, or the golden equa-tion, described in this work. Main properties of the GGR are given with illustrative examples. We introduce and discuss the concept of the golden pair of vectors and the set of similarities for a given vector. Also, we present our vision on the theory of the golden ratio for triangles and de-scribe in detail the similarity triangles with illustrative examples.
Keywords: 
;  ;  

1. Introduction

The golden ratio, or the famous number Φ = 1.6180 , is known as the divine proportion between two quantities [1,2]. For positive numbers a and b , this ratio equals to Φ = b / a = ( b + a ) / b , if b > a . The number Φ was found in proportions of parts in construction of Egyptian pyramids [3], in arts [4]-[6], in fashion [7], in medicine [8,9], face detection [10], image enhancement [11,12], in colors of paintings [13], and many applications in engineering.
In this work we generalize and describe the Golden ratio in the multi-dimensional vector space. We present this concept for the first time, namely, the concept of the general golden ration (GGR) that depends on the direction in the space. Many examples of vectors in golden ratios are described in detail in the 2, 3, and 6-dimensional spaces. Main contribution of this works can be formulated as follows:
  • The concept of the golden ratio has generalization in the multi-dimensional space;
  • The general golden ratio is function of one or a few angles. It is one of four solutions of the golden equation presented here;
  • To each vector V in the space corresponds a set of similarity, or a set of vectors being in golden ratio with V ;
  • GGR can be used to describe similar figures. As an example, the vector space of triangles is described;
  • Each vector affects its environment, stimulating its influence through the imposition of its likeness, or similarities.
  • The sets of similarities of vectors can be summed.
The rest of the paper is organized in the following way. Section 2 presents the definition of general golden ratio in the vector space. The main equation of the GGR and its solutions are described in Section 3. The golden ratio in the 2D space with examples is considered in Section 4. In Section 5, the concept of the vector similarity sets is presented and described, with examples in the 2D and 3D spaces. The vector space of triangles and golden ratio of triangles are described in detail in Section 6. Illustrative examples are given. In Section 7, similarity figures are described with many examples, including the pentagon, heptagon, the 7 and 9-stars, and Archimedes spiral.

2. The Generalized Golden Ratio (GGR)

In this section, we extend the well-known concept of the gold ratio in the n -dimension vector space. Let V be the normed vector space over real numbers λ . It means that exists such a real-valued function l : V R , which is denoted by l x = x and has the following properties:
  • x 0 , and x = 0 means that x = 0 ;
  • λ x = λ x , for any real number λ R ;
  • x + y x + y , for any elements x and y V .
The function x is called the length, or the norm, of the element x .
Definition 1. In a normed vector space V , the function f : V × V R which satisfies the conditions
  • f a , b 0 , for any elements a and b V ;
  • If a = 0 ,   f a , b = 0 ;
  • If b 0 ,   f a , b ;
  • For any real number λ R , f λ a , λ b = f a , b , is called the proportion.
As an example, when V = R , the function f a , b = a / | b | is the proportion. This is the function that interests us the most.
Definition 2. Given a proportion f : V × V R in the normed vector space V , two elements a and b V are called the golden pair, if the following holds:
f b + a , b = f a , b . ( 1 )
The elements a and b are also called the golden ratio elements, or the golden pair.
Definition 3. If the elements a and b are golden ratio elements, for a proportion f , then the ratio Φ = a / b is called the generalized golden ratio, or shortly GGR.
In the example below for the 1-D vector space, this number is the known golden ratio [1]. Therefore, we use a similar name. In order not in any way to underestimate the historical nature of this number, we added a generalized meaning.
Example 1: Let V = R and the function f a , b = a / | b | be the proportion. Here, we consider that a = a for real numbers. To find the golden ratio elements a and b , we consider the primary equation
| b + a | | b | = | b | | a | ,       o r      | b + a | | a | = | b | 2 | a | 2 .
It can be written as
| b | | a | 2 = | b + a | | a | = | b | | a | b | b | + a | a | ,
or
Φ 2 = Φ + s i g n ( a b ) .                                                                  ( 2 )
The solutions of this equation are considered for the following two possible cases.
1. Case Φ + s i g n ( a b ) 0 : Then, the equation to be solved is
Φ 2 Φ s i g n a b = 0 .                                                                        ( 3 )
The solutions are
Φ 1,2 = 1 ± 1 + 4   s i g n ( a b ) 2
Such numbers are real only when s i g n a b = 1 . Therefore,
Φ 1 = 1 + 5 2 = 1.6180339887 ,         Φ 2 = 1 5 2 = 0.6180339887   .                        ( 4 )
A golden ratio is a positive number. The first number Φ 1 is considered, but the second Φ 2 is not, since it is negative. Thus, the golden ratio is Φ = Φ 1 .
2. Case Φ + s i g n a b < 0 : The following equation is considered:
Φ 2 + Φ + s i g n a b = 0                                                                        ( 5 )
with the solutions
Φ 1,2 = 1 ± 1 4   s i g n ( a b ) 2 .
Such numbers are real only when s i g n a b = 1 . Therefore,
Φ 1 = 1 + 5 2 = 1.6180 ,         Φ 2 = 1 5 2 = 0.6180   .  
Here, Φ 2 is negative and Φ 1 also needs to be discarded, since the condition of consideration is violated, that is, Φ 1 + s i g n a b = Φ 1 1 = 0.6180 > 0 . Thus, a golden pair cannot be composed from numbers of opposite signs. This example shows that for any number a 0 there is only one number that composes the golden ratio with a . This number is a Φ 1 . The golden pair is { a , a Φ 1 } . In the 1D space R , when setting the system of coordinates, we match each point to a certain number, implying by this number some measure of distance from the center of coordinates. Therefore, in the 1D case we deal with linear objects (segments on the real line R ) which have the length and it is namely the value for which we obtained a certain proportion called the golden ratio. Two linear objects are in golden ratio, if the ratio of their measures (lengths) is equal to the number Φ = Φ 1 .
Now, we will try to move the idea of the golden ratio on the 2D plane (with 1D and 2D objects), considering the starting point 0 in a given system of coordinates. Before we start to work with equations, we need to prepare ourselves to all possible results and ability to explain them. The thing is that 2D objects includes the 1D objects and the golden ratio rule must remain unchanged for them. Let us consider two vectors x 1 and the corresponding similar vector x 2 = Φ x 1 (see Figure 1 in part (a)). One can note that the 2D measures of the similar vectors x 1 and x 2 , or areas of their shadows are in the ratio Φ 2 , not in Φ .
Now we consider that two vectors x 1 and y 1 are related into one 2D object, the parallelogram, P 1 , as shown in part (b). The similar vectors x 2 = Φ x 1 and y 2 = Φ y 1   are also related into another 2D object; the parallelogram P 2 . If these vectors are related, then this relation changes; it depends on the angle between these vectors. Then, the question arises how the proportions of these 2D objects cannot depend on connectedness of vectors. In the general case, this number, or the ratio, is the function of the angle, which we denote by Φ 2 D φ .   When the angle between the vectors is zero, the 2D object is a line. Therefore, in order that the 1D golden ratio can manifest, it is necessary to request the condition Φ 2 D ( 0 ) = Φ . Note that instead of the parallelograms we can also consider other figures, including the triangles composed by these vectors, as shown in part (c). We can call these triangles the golden pair of triangles. Now, we will describe in detail the concept of the golden ratio in a multi-dimensional vector space.
Example 2: Consider the n -dimensional vector space V = R n ,   n > 1 . It is not difficult to show that the function
f a , b = a b ,     a , b V ,     b 0 ,                                                            ( 6 )
is the proportion. Here, the norms a = a 1 2 + a 2 2 + + a n 2 and b = b 1 2 + b 2 2 + + b n 2 . We consider the golden ratio equation (rule) f b + a , b = f a , b written as
b + a b = b a ,    o r      b + a a = b 2 .
The following calculations are valid for this equation:
a 2 + b 2 + 2 ( a , b )   a = b 2 ,
a 2 + b 2 + 2 a b c o s ( α )   a = b 2 ,
1 + b 2 a 2 + 2 b a cos α = b 4 a 4 .
Here, ( a , b ) is the inner product in the space V , and α is the angle between the vectors a and b . Denoting the golden ratio by x = Φ = b / a , we obtain the equation 1 + x 2 + 2 x cos ( α ) = x 4 ,   or
x 4 x 2 2 x cos α 1 = 0 .                                                                              ( 7 )
This equation has four roots x n = x n ( α ) , n = 1 : 4 , which are functions of the angle. Thus, the GGR depends on the angle. Since cos α = cos 2 π α , the roots x n ( 2 π α ) =   x n ( α ) , for α 0 , π . Also, x n ( π + α ) =   x n ( α ) .
A. Case α = 0 (vectors are collinear, or are in the same directions): The equation x 4 x 2 2 x 1 = 0 can be written as
x 4 x 2 2 x 1 = x 2 x 1 x 2 + x + 1 = 0 .                                   ( 8 )
Therefore, we consider the solutions of the equation x 2 x 1 = 0 , which are
x 1,2   = 1 ± 5 2 = Φ 1,2   .
The positive solution is x 1 = Φ 1 = 1.6180 . Given vector a , the golder pair of vectors { a , a Φ 1 } are in the same direction, and the pair of vectors { a , a Φ 2 } are in the opposite direction. The second equation x 2 + x + 1 = 0 has two complex roots,
x 3,4   = 1 ± i 3 2 = e ± i 2 π 3 = Φ 3,4   .  
These complex coefficients of “similarity” are equal to 1 in absolute value, that is, they do not affect the length, but only rotation by ± 2 π / 3 . One can say that the first equation in Eq. 8 defines similarity by length and the second equation similiarity by rotation.
As an example, Figure 3 shows the 2D vector a = [ 3,2 ] ' at an angle of α = atan 2 / 3 = 33.6901 ° to the horizontal and four vectors a k = Φ k a ,   k = 1 : 4 .
It is not difficult to see that a 1 + a 2 = a and a 1 + a 2 + a 3 + a 4 = 0 . These equations hold for any vector a .This figure illustrates the concept of similarity of the vector a , or similarity by the angle α . Among these fours vector, only the first one, a 1 = Φ 1 a is in the golden ratio with a .
B. Case α = π / 2 (vectors are perpendicular): The equation x 4 x 2 1 = 0 is reduced to two equations
x 2 = 1 + 5 2      a n d    x 2 = 1 5 2 .
Therefore, the first equation is considered and its two solutions are
x 1,2   = ± 1 + 5 2 = ± Φ 1 = ± 1.6180339887   .                                                      ( 9 )
The positive solution is x 1 = Φ 1 = 1.2720196495   .
C. Case α = π (vectors are collinear in the opposite directions): The equation x 4 x 2 + 2 x 1 = 0 can be written as
x 4 x 2 + 2 x 1 = ( x 2 + x 1 ) ( x 2 x + 1 ) = 0
Therefore, we consider the solution of equation x 2 + x 1 = 0 , which are (see Eq. 4)
x 1   = 1 5 2 = Φ 1 ,     x 2   = 1 + 5 2 = Φ 2 = 0.6180339887   .
The positive solution is x 2 = Φ 2 . Thus, in the n -dimensional space, when n > 1 , two vectors in the opposite directions can compose a golden pair.
D. Case when the golden pair of vectors have the same length, that is x = 1 . Then, Eq. 7 is 2 cos α + 1 = 0 and the angles α = 180 ± 60 . Two pairs of vectors with the angles α = 240 and 120 (in degrees) between them compose golden pairs when their lengths are equal. Figure 4 shows three vectors a 1 , a 2 , and a 3 with the same length. Each of these vectors is in the golden ratio with two others.

3. Main Equation of Golden Ration and Its Analytical Solution

In this section, we describe the positive roots of Eq. 7, where x   is a function of the angle x = x α . The equation is
x 4 a x 2 a 2 cos α x α 1 = 0                                             ( 10 )
with the initial condition x 0 =1.61803398. For each angle α, the quartic polynomial in this equation has four roots, and two of them are complex and therefore complex conjugate. We are looking for a positive solution of this equation, which should be only one. Equation 10 can be written as x 4 x 2 1 = 2 cos α x . The parabola P ( x ) = x 2 2 x 2 1 crosses the straight line with the slope 2 cos ( α ) at two points. As illustration, Figure 5 shows the graph of the polynomial P ( x ) together with the line 2 cos ( α ) x , when α = 45 ° in part (a) and α = 100 ° in part (b).
For the angle α = 45 ° , the solutions of Eq. 10 are
x 1 = 0.8492 ,      x 2 = 1.5325 ,      x 3 = 0.3416     0.8072 i ,      x 4 = x ¯ 3 = 0.3416   +   0.8072 i .  
The numbers are written here with 4 decimal precision. At points x 1 and x 2 , the parabola P ( x ) = x 2 2 x 2 1 crosses the straight line y = 2 x , as shown in part (a). The second coordinate is positive. Thus, the required root Φ = x 45 ° = 1.5325123089   . For the angle α = 100 ° , the solutions of Eq. 10 are
x 1 = 1.3455 ,     x 2 = 1.1894 ,     x 3 = 0.0780   +   0.7865 i ,     x 4 = x ¯ 3 =   0.0780     0.7865 i .  
The parabola P(x) crosses the straight line y = 2 cos ( 100 ) x at the point x 1 < 0 and the positive point x 2 . Therefore, Φ = x ( 100 ° ) = 1.1894 638778… .
The case with the angle α = 30 ° (when Φ = x ( 30 ° ) = 1.5800943659 …) is shown in Figure 5 in part (c). Here, two lines ± 2 x are also shown (in red) as the border lines for the lines y = 2 cos ( α ) x , when α π ,   π . One can see that all these lines y intersect the parabola at two points, one of which is positive and other one is negative.

3.1. Similarity Equation and Its Roots

Consider again the main equation of the gold ratio
P 4 x = x 4 x 2 2 x cos ( α ) 1 = 0 .
We call the continuous roots of this equation the similarity functions and denote them by the symbols x k ( α ) , k 1 : 4 . The analytical exact solution of this quartic equation is very complicated [12-15]. The standard procedure is to add an auxiliary parameter t 0   to the quartic equation P 4 x = 0 , write it as
P 4 x = x 2 1 2 + t   2 2 t x 2 2 cos α x + t 2 t + 5 4 = 0 ,                            ( 11 )
and then to request for a square polynomial in square brackets to be a square, that is,
P 2 x = 2 t x 2 2 cos α x + t 2 t + 5 4 = 2 t x x 1 2 .                                               ( 12 )
To have such a multiple root x 1 , the discriminant of the equation must be zero,
D 3 ( t ) = t 3 t 2 + 5 4 t 1 2 cos 2 α = 0 .                                                                          ( 13 )
Then, x 1 = cos α / ( 2 t ) and the above quartic equation can be written as
P 4 x = 2 t x 2 1 2 + t   2 t ( x x 1 ) x 2 1 2 + t   + 2 t ( x x 1 ) = 0 .             ( 14 )
and solved by two quadratic equations
x 2 1 2 + t   2 t ( x x 1 ) = 0      a n d   x 2 1 2 + t   + 2 t ( x x 1 ) = 0 .              ( 15 )
Cubic Eq. 13 can be reduced to the following depressed cubic equation:
D 3 t D 3 v = v 3 + 11 12 v + 37 108 1 2 cos 2 α = 0 ,                                              ( 16 )
by changing the variable, t v , as t = v + 1 / 3 . The Cardano’s solution for this equation states that it has a real root, if the following function is positive:
D α = 1 4   37 108 1 2 cos 2 α 2 + 1 27 11 12 2 .
Figure 6 shows the graph of this polynomial   D α , α ( π , π ) in part (a); it is positive. Therefore, the solution of Eq. 16 is
v α = 1 2 q α + D α 3 + 1 2 q α D α 3 ,        q α = 37 108 1 2 cos 2 α .        ( 17 )  
The graph of this function is shown in part (b). The function t α = v α + 1 / 3 can be used for solving Eq. 14, which will give us four solutions x k α ,   k = 1 : 4 . One can see that the solution formulas of the gold equation are cumbersome and difficult to visualize. Therefore, we now consider another approach, to describe the solutions, by using simple computer programs.
To analyze the equation of the generalized golden ratio, we compute its roots. Figure 7 shows the graphs of four roots x n ( α ) , n = 1 : 4 , of Eq. 7. The real and imaginary parts of the roots are shown in blue and red colors, respectively. The angles α are in the interval [ 0,2 π ] with step 0.0015 radians, or 1/12 degrees. These roots were calculated with the command x=roots([1,0,-1,-2∗cos(a),-1])’, by using MATLAB function ‘roots.m.
The graphs of the roots are symmetric with respect to the vertical at angle-point α = π . In some parts these functions change sign. For example, the change of sign in the real part of the first solution x 1 ( α ) occurs at angles π / 2 and 3 π / 2 and the jump is equals to 2 Φ 1 = 2 × 1.2720 . For other roots, the discontinuities can be seen at angle-points π / 2 ± π / 4 and 3 π / 2   ± π / 2 . As shown in Eqs. 11-17 (see also Figure 6), the analytical solutions (not the ones modeled above) should not have points of discontinuity.
In Figure 8, these four roots are plot in the polar form. The first plot is like the apple, the 2nd as a four-petal flower, the 3rd as the egg (Earth), and the 4th plot is an unknown figure for us.
It is not difficult to note that the following holds for the roots of the above equation: x 1 α + x 2 α + x 3 α + x 4 α = 0 . Thus, x 4 α equals to the sum of the first three roots with sign minus. The 4th plot is the sum x 1 α + x 2 α + x 3 ( α ) in polar form. Figure 9 shows the polar plots of the sum of roots x 1 α + x 2 α , x 2 α + x 3 α , and x 1 α + x 3 ( α ) in the polar form in parts (a), (b), and (c), respectively. These figures are interesting.

3.2. Analyze of Solutions

It is not difficult to note from Figure 7 that, for each angle, there are two real solutions of Eq. 10. Even more, there is only one positive solution for each angle (see also Figure 5(c)). We will regroup the obtained set of roots x 1 ( α ) , x 2 α ,   x 3 α , and x 4 ( α ) of the above equation in the following way. The corresponding codes for these four roots are given in Appendix.
For each angle α [ 0,2 π ] , the first two roots are real and the next two roots are complex conjugate. Then, the solutions are composed as follows:
Φ 1 α = x 1 α ,     i f   x 1 α 0 ; x 2 α ,    i f   x 2 α 0 ,        Φ 2 α = x 2 α ,    i f    x 1 α 0 ; x 1 α ,     i f    x 2 α 0 .                        ( 18 ) Figure 11 shows these two roots (solutions) in part (a) . The functions Φ 1 α and Φ 2 α are continuous. The first function is positive and the second one is negative. Both functions are periodic; the period is 2 π . It is interesting to note that Φ 1 α + π = Φ 2 α ,   α 0,2 π .   In part (b), the graph of the sum of these solutions is shown, Ψ α = Φ 1 α + Φ 2 α . The magnitude of this function | Ψ α | 1 .
Figure 10. (a) Two real solutions of Eq. 10 and (b) their sum.
Figure 10. (a) Two real solutions of Eq. 10 and (b) their sum.
Preprints 146776 g009
It is interesting to note that the graph of Ψ α in Figure 10 in part (b) is similar to, but not exactly, the cosine function. This sum of two roots together with the cosine function cos ( α ) are shown in Figure 11 in part (a). The difference of these functions is given in part (b). The maximum difference of these two functions is 0.0344590758 (the functions were calculated for N = 2 20 + 1 angles α in the interval [ 0,2 π ] .
Figure 12 shows the graph of the positive roots Φ 1 α calculated in the interval of interval [ 0,2 π ] . We call the function Φ ( α ) = Φ 1 α with this graph the general golden ratio function, or the GGR function. For this function, the minimum is 0.6180 at the angle-point π , and the maximum is 1.6180 at 0 and 2 π . The Golden ratio function equals to 1 at angles 2 / 3 π and 4 / 3 π . The mean of the Golden ratio in this interval equals to 1.192880, approximately at angles 1.7385 and 4.5447 in radians, or 99.6075 ° and 260.3925 °   ( o r   180 ° 80.3925 ° ) .
The GGR function Φ ( α ) has approximately the form similar to the cosine function. Together with the GGR function, the following function is shown in Figure 13:
y α = 1 2 Φ 1 ( 0 ) + Φ 1 ( π ) + cos α = 1 2 1.6180 + 0.6180 + 1 2 cos α = 1.1180 + 1 2 cos α .     ( 19 )
Figure 14 shows the graph of the GGR function versus angles in degrees in the interval [ 0 ° , 360 ° ] . A few points on the graph are marked for the values of this function at angles 36 ° ,   72 ° ,   108 ° , and 144 ° , plus the angle 290.70 ° , at which the Golden ratio equals to 2 .
The complex roots of Eq. 10 can also be regrouped, by using the phases of two complex solutions x 3 α = x 3 α e i ϑ 3 α and x 4 α = x 4 α e i ϑ 4 α . Namely, the following functions are calculated:
Φ 3 α = x 3 α ,    i f    ϑ 3 α 0 ; x 4 α ,     i f     ϑ 4 α > 0 ,        Φ 4 α = x 4 α ,     i f     ϑ 3 α 0 ; x 3 α ,     i f   ϑ 4 α > 0 .                     ( 20 ) Note that   ϑ 4 α = ϑ 3 α . MATLAB-based codes for these functions are given in Appendix.
Figure 15 shows the graphs of the real and imaginary parts of the complex solution Φ 3 α in parts (a) and (b), respectively. One can note that the real part of the solution Φ 3 α has values in the interval 0.5,0.5 . Absolute value of this function together with the function F α = Δ Φ 3 × ( cos 2 α 1 ) / 2   + 1 is shown in part (c). Here, Δ Φ 3 =   max | Φ α | min | Φ α | = 0.213849 . The function F α can be considered as an approximation of | Φ 3 α | .
Figure 16 shows the magnitudes of three solutions Φ k α , k = 1 : 3 , in the polar form. In comparison with the plots in Figure 8, one can note the symmetry of plots of the real functions Φ 1 α and Φ 2 α . The polar plots for other two complex functions Φ 3 α and Φ 4 α are the same; the functions are complex conjugate to each other.

3.3. Properties of the Roots

The following properties hold for the roots of the golden equation:
Φ k α = Φ k α    a n d    Φ k α + 2 π = Φ k α ,   k = 1 : 4 ,                           ( 21 )
Φ 1 α > 0    a n d    Φ 2 α < 0 ,     f o r a l l   α ,                           ( 22 )
Φ 3 α , Φ 4 α C a n d Φ 3 α = Φ 4 ¯ α ,                                               ( 23 )
Also, from Eq. 7, we obtain the following identities:
Φ 1 α + Φ 2 α + Φ 3 α + Φ 4 α = 0                                                   (24)
Φ 1 α Φ 2 α Φ 3 α Φ 4 α = 1 ,                                                   (25)
i j 4 Φ i α Φ j α = 1 ,                                                           ( 26 )
i j k 4 Φ i α Φ j α Φ k α = 2 cos ( α ) .                                         ( 27 )
Due to Eqs. 23 and 24, the real part R ( Φ 3 α ) of the 3rd solution (shown in Figure 15) equals to [ Φ 1 α + Φ 2 α ] / 2 (see Figure 10(b)). It is also not difficult to see that these solutions are transformed into each other under the transformation α α + π . Indeed, the following identities are valid, for any angle α :
Φ 1 α = Φ 2 α + π ,     Φ 3 α = Φ 4 α + π .                                          ( 28 )
Thus, for each angle α , the real ratios can be in two states as φ α = Φ 1 α , Φ 2 α . This vector state changes with operator α α + π as φ α + π = Φ 2 α , Φ 1 α . The full 4D vector of states changes as
Φ 1 α , Φ 2 α , Φ 3 α , Φ 4 α α α + π Φ 2 α , Φ 1 α , Φ 4 α , Φ 3 α .

4. Examples of Golden Ratios

In this section, we consider a few examples of golden pair of vectors in the 1D and 2D vector spaces.
Example 3 (1D vectors):
For 1D vectors (real numbers), or the elements of the real line R , we define the inner product as ( a , b ) = a b . Then, the angle is defined as
cos α = a b a b = a b a | b | = s i g n a b ,
which means that the angle between similar elements may take only two values, 0 and π. Therefore, the set of similarity, that is, the set of numbers that are in golden ratios with the number a , is defined as
S a = a = a Φ arccos s i g n a b s i g n b ; b = ± 1 .                          ( 29 )
When a > 0 , that is, s i g n a = 1 , the number a is in golden ratio with numbers of the set
S a = a Φ 0 , a Φ π .
When a < 0 , that is, s i g n a = 1 , the golden pairs are defined by the similar set
S a = a Φ π , a Φ 0 .
These two sets are equal up to the sign. Here,
Φ 0 = 1 + 5 2 = 1.6180339887 , Φ ( π ) = 1 + 5 2 = 0.6180339887 .
Note that Φ 0 Φ π = 1 and Φ 0 Φ π = 1 . Thus, for number a >0, the set of similarities equals to
S a = a = a Φ 0 , a Φ π = a Φ 0 , Φ π = a Φ 0 , 1 Φ 0 .       ( 30 )
For the unit vector a = e = 1 , the set of similarities is S e = e = Φ 0 , 1 Φ 0 . The golden pairs are { 1 , Φ 0 } and 1,1 Φ 0 .
Example 4 (2D vectors):
Consider two vectors a = [ a 1 , a 2 ] and b = [ b 1 , b 2 ] in the 2D real space R 2 . The inner product is defined as ( a , b ) = a 1 b 1 + a 2 b 2 and the norm of the vector a equals to a = a 1 2 + a 2 2 . All unit vectors e have tips on the unit circle, that is, they are described by the set
e e φ = ( cos φ , sin φ ) ;   φ [ 0,2 π ) .
We consider the polar form of the vector a = a cos α , sin α , α 0,2 π   and the unit vector e = e φ at angle φ to the horizontal (see Figure 17).
Let us assume that the unit vector e φ composes the angle ϑ with the vector a . The inner product of e φ with the unit vector e α = a / a along the vector a equals to
e α , e φ = cos α cos φ + sin α sin φ = cos ( α φ ) = cos ϑ .
Along the angle φ , the vector that is in the golden ratio with the vector a equals to
s a φ = a Φ ϑ e φ = a Φ α φ e φ .                                       ( 31 )
Therefore, the set of similarity of the vector a is defined as
S a = { s a φ ;   φ [ 0,2 π ) } = a Φ α φ e φ ;   φ [ 0,2 π ) .                      ( 32 )
Thus, for a given vector a , a golden pair can be found along any direction. The golden ratio changes with angles. As an example, Figure 18 shows the locus of all similarity 2D vectors s a φ that compose the golden pairs a , s a φ , for the vectors a = [ 1,2 ] and [ 1,3 ] in parts (a) and (b), respectively. The similarity sets of these vectors are
S 1,2 = s 1,2 φ ;   φ [ 0,2 π ) = 5 Φ tan 1 2 φ e φ ;   φ [ 0,2 π )
and
S 1,3 = s 1,3 φ ;   φ [ 0,2 π ) = 10 Φ π tan 1 3 φ e φ ;   φ [ 0,2 π ) .
In these figures, the vectors are shown only for 128 uniformly distributed angles φ from the interval [ 0,2 π ) . The tips of the vectors are not shown. The figures recall the same petal rotated by different angles and magnifications. The vectors a show the orientation of the corresponding sets of similarity S a .
In part (c), the similarity figure is shown for the vector a = e = 1,0 . The similarity set of this unit vector is
S 1,0 = s 1,0 φ ;   φ [ 0,2 π ) = Φ φ e φ ;   φ [ 0,2 π ) = Φ φ e φ ;   φ [ 0,2 π ) .
It should be noted that the figures of the sets of similarity in part (a) and (b) are the rotated figure of part (c) with magnification by the norms 5 and 10 of the vectors a = [ 1,2 ] and 1,3 , respectively. The figure for the set S 1,2 can be obtained from the figure of the set S 1,0 , by rotation by the angle of tan 1 2 and magnified by the number 5 . Similarly, the figure of the similar set S 1,2 in part (b) can be obtained from the figure of S 1,0 by rotation of the angle ( π tan 1 3 ) and magnified by the number 10 .
Figure 18. (continuation) (c) The locus of 128 Golden pairs with the unit vector e = 1,0 .
Figure 18. (continuation) (c) The locus of 128 Golden pairs with the unit vector e = 1,0 .
Preprints 146776 g018

5. Field of Similarities

A. Philosophical digression: What is similarity in our case? Each vector affects its environment, stimulating its influence through the imposition of its likeness. The vector may represent a force, an impulse, or any action in the vector space. If you think about it, then we are all a certain vector of possibilities that we impose on the environment by projecting ourselves into it, and this projection is symbolically represented by a certain projection angle. (All our immediate environment is our projection, our likeness. This is a kind of vector shadow that is cast on the environment, and the ray symbolizes the angle of objectification of this shadow.)
The vector or force in its action can be expressed (presented) by one of its similarity vectors (or forces), in any direction. All these possible similarities, or states of vectors, do not describe the ideal unit circle in 2D case, for one qubit, and the unit sphere in 3D space for two qubits, as assumed in the quantum computing [16]. Here, we have the figure of a petal in the 2D case (Figure 18) and an apple in the 3D case (as shown in the next section).
B. Until now, we knew that if two vectors do not interact and the inner product is zero (that is, the angle is 90 degrees), then mutual influence is excluded. But what is interesting is that the similarity coefficient at this angle is not equal to zero! That is, the influence is still there. According to the printout, it appears that
Φ π 2 = Φ 0 = 1 + 5 2 = 1.2720196495.                                                   (33)
C. Two roots of Eq. 10 are real, Φ 1 α and Φ 2 α . The second two are negative. Note that negative numbers do not exist in the nature. We can talk about two, three, etc. objects, which we can not only imagine, but also see (let’s say, 2, 2.5, and 3 apples). One cannot say that about negative numbers, only the imagination works here (let’s imagine - 3 apples). We can say that being positive or negative number are two states, like heads and tails in the probability theory. After all, it was not for nothing that we got two states, φ α = Φ 1 α , Φ 2 α , one refers to positive roots, and the other to negative ones. Two other solutions are complex, Φ 3 α and Φ 4 α ; they show us the 2D representation ψ α = Φ 3 α , Φ 4 α (the real solutions determine the 1D representation). Note that in English the words imaginary (for complex numbers) and the image have the same root.
D. (The sum of similarity vectors) The following question arises. Is it possible to add similarity fields? If so, then what exactly does the sum of similarities mean? Let us consider two different vectors a 1 and a 2 at angles of α 1 = arg ( a 1 ) and α 2 = arg ( a 2 ) to the positive real axis, respectively. The corresponding sets of similarities are
S a 1 = s a 1 φ ;   φ [ 0,2 π ) = a 1 Φ α 1 φ e φ ;   φ [ 0,2 π ) ,                   ( 34 )
S a 2 = { s a 2 φ ;   φ [ 0,2 π ) } = a 2 Φ α 2 φ e φ ;   φ [ 0,2 π ) .                   ( 35 )
These two sets can be written as
S a 1 = a 1 Φ φ e α 1 φ ; φ [ 0,2 π )
S a 2 = a 2 Φ φ e α 2 φ ; φ [ 0,2 π ) .
Then, their sum should be defined as the set of similarities
S a 1 + a 2 = a 1 + a 2 Φ γ φ e φ ;   φ [ 0,2 π ) ,                              ( 36 )
where the angle γ = arg a 1 + a 2 .   Let us verify if the following is true:
S a 1 + a 2 = S a 1 + S a 2 .                                                              ( 37 )
Here, the summation is angle-wise, that is, the summation of vectors that correspond to the same angle φ . Therefore, this equation can be written as
a 1 + a 2 Φ φ e γ φ = a 1 Φ φ e α 1 φ + a 2 Φ φ e α 2 φ . ( 38 )
All vectors have the same coefficient of similarity. Removing the similar term Φ φ from this equation, we obtain
a 1 + a 2 e γ φ = a 1 e α 1 φ + a 2 e α 2 φ . ( 39 )
This equation describes the well-known rule for summing vectors over projections. The following calculations are valid for the right part of this equation:
a 1 e α 1 φ + a 2 e α 2 φ = a 1 cos ( α 1 φ ) , sin ( α 1 φ ) + a 2 cos ( α 2 φ ) , sin ( α 2 φ ) = a 1 cos ( α 1 ) cos ( φ ) + sin ( α 1 ) sin ( φ ) , sin ( α 1 ) cos ( φ ) cos ( α 1 ) sin ( φ ) + a 2 cos ( α 2 ) cos ( φ ) + sin ( α 2 ) sin ( φ ) , sin ( α 2 ) cos ( φ ) cos ( α 2 ) sin ( φ ) = ( a 1 ) x cos ( φ ) + ( a 1 ) y sin ( φ ) , ( a 1 ) y cos ( φ ) ( a 1 ) x sin ( φ ) + ( a 2 ) x cos ( φ ) + ( a 2 ) y sin ( φ ) , ( a 2 ) y cos ( φ ) ( a 2 ) x sin ( φ ) = [ ( a 1 ) x + ( a 2 ) x cos ( φ ) + ( a 1 ) y + ( a 2 ) y sin ( φ ) , ( a 1 ) y + ( a 2 ) y cos ( φ ) ( a 1 ) x + ( a 2 ) x sin ( φ ) ] = ( a 1 + a 2 ) x cos ( φ ) + ( a 1 + a 2 ) y sin ( φ ) , ( a 1 + a 2 ) y cos ( φ ) ( a 1 + a 2 ) x sin ( φ ) = a 1 + a 2 cos ( γ φ ) , sin ( γ φ ) = a 1 + a 2 e γ φ .
Here, ( a 1 ) x = a 1 cos ( α 1 ) ,   ( a 1 ) y = a 1 sin ( α 1 ) ,   ( a 2 ) x = a 2 cos ( α 2 ) ,   ( a 2 ) y = a 2 sin ( α 2 ) , and ( a 1 + a 2 ) x = a 1 + a 2 cos ( γ ) ,   ( a 1 + a 2 ) y = a 1 + a 2 sin ( γ ) . Thus, everything is correct in Eqs. 38 and 39.
Figure 19 illustrates this property in part (b), where the parallelogram is the result of the rotation of the original parallelogram in part (a), which is composed for the sum of vectors a 1 and a 2 .
As examples, Figure 20 illustrates the summation of the similarity sets for the vectors a 1 = [ 1,2 ] and a 2 = [ 1,3 ] in part (a) and for the vectors a 1 = [ 2 , 3 ] , and for a 2 = [ 1,5 ] in part (b).
Figure 21 shows the same sum S [ 1,1 ] of similarity sets, for three pairs of vectors a 1 and a 2 . Namely, for the vectors [ 0,1 ] and 1,0 in part (a), vectors [ 1,2 ] and 0 , 1 in part (b), and vectors [ 2,3 ] and 1 , 2 in part (c). If we assume the vectors represent forces and generate the similarity fields, then the above figures with the sums of similarity sets (fields) may illustrate the influence of fields on space, for example, attraction and repulsion.
It should be noted that we do not sum the similarity sets over equally directed rays. If we do that, that is, if consider the sum of the similar vectors
A = a 1 Φ α 1 φ e φ + a 2 Φ α 2 φ e φ
for each angle φ 0,2 π , then, we need to find the vector a 0 and angle γ 0 , such that a 0 Φ γ 0 φ e φ = A .   The solution of the equation
a 0 Φ γ 0 φ = a 1 Φ α 1 φ + a 2 Φ α 2 φ ,    φ [ 0,2 π ) ,
is unknown for us.
Example 5 (3-D vectors): We consider the traditional representation of the 3D unit vectors, namely the set
e = sin φ cos ψ , sin φ sin ψ , cos φ ;   φ 0 , π ,   ψ [ 0,2 π ) .                            ( 40 )
The geometry of the unit vector e = e φ , ψ = sin φ cos ψ , sin φ sin ψ , cos φ is shown in Figure 22.
The inner product of such a unit vector e with a vector a = a sin φ 1 cos ψ 1 , sin φ 1 sin ψ 1 , cos φ 1 , where φ 1 0 , π ,   ψ 1 [ 0,2 π ) , is calculated by
e , a = a cos ϑ = a sin φ cos ψ sin φ 1 cos ψ 1 + sin φ sin ψ sin φ 1 sin ψ 1 + cos φ cos φ 1 .
Thus,
cos ϑ = sin φ cos ψ sin φ 1 cos ψ 1 + sin φ sin ψ sin φ 1 sin ψ 1 + cos φ cos φ 1 .                      ( 41 )
The cosine of the angle between these two vectors is the function of 4 arguments, that is, the angle ϑ between the vectors e and a is the function ϑ = ϑ ( φ , ψ ,   φ 1 , ψ 1 ) . The similarity set, that is, the set of all vectors in golden ratios with the vector a is
S a = a Φ ϑ sin φ cos ψ , sin φ sin ψ , cos φ ;   φ 0 , π ,   ψ 0,2 π .                 ( 42 )
Let a be the unit vector e 3 = 0,0 , 1 .  Figure 23 shows the locus of vectors being in the Golden ratio with this vector in part (a). In this case, φ 1 = 0   and cos ϑ = cos ϑ ( φ , ψ ,   0 , ψ 1 ) = cos φ . Therefore, ϑ = φ and the set of similiarity is
S e 3 = Φ φ sin φ cos ψ , sin φ sin ψ , cos φ ;   φ 0 , π ,   ψ 0,2 π .                  ( 43 )
We also consider the unit vector a = e 1 = 1,0 , 0 . Then, φ 1 = π / 2 ,   ψ 1 = 0 , and cos ϑ = cos ϑ ( φ , ψ ,   π / 2,0 ) = sin φ cos ψ . Therefore, ϑ = arccos ( sin φ cos ψ ) and the similar set is
S e 1 = Φ ϑ sin φ cos ψ , sin φ sin ψ , cos φ ;   φ 0 , π ,   ψ 0,2 π .               ( 44 )
The locus of vectors of this similarity set is shown in part (b). In these two figures, as in the 2D case above, only the ends of the vectors as dots are shown. The angles φ and ψ were taken with the step 2 π / 512 in the intervals 0 , π and 0,2 π , respectively. Figure 24 and Figure 25 show these similar sets by different angles. Namely, by using the azimuth (AZ) of zero degree and vertical elevation (EL) of 90 and 180 degrees, respectively. For this, the MATLAB functions ‘view(2)’ and ‘view(0,180)’ were used.
Figure 26 shows the 3D surface that is made up of the vertices of the vectors of a subset of S e 3 in part (a). Thus, this is the surface framing the vectors which are similar to the unit vector e 3 = 0,0 , 1 . In part (b), the similarity surface is shown for the unit vector e 1 = 1,0 , 0 . For both surfaces, the angles φ and ψ were taken with the step 2 π / 360 in the intervals 0 , π and 0,2 π , respectively.

6. Similarity Triangles

In this section, we consider triangles as elements of the 6D vector space and introduce the concept of the inner product and norm of triangles. The tringles in golden ratio are described and the similarity sets are presented with examples.
In order to show the similarity of three points ( a , b , c ) in the form of a triangle on the plane (see Figure 27(a)), we need three 2D vectors, which we denote by v a , v b , and v c . The vectors v a = x a , y a , v b = x b , y b , and v c = x c , y c . These coordinate vectors compose the 6-D vector V = v a , v b , v c . Consider two 6D vectors that correspond to two triangles, V 1 = v a 1 , v b 1 , v c 1 and V 2 = v a 2 , v b 2 , v c 2 . The inner product of these vectors is defined as
V 1 , V 2 = v a 1 v b 1 , v a 2 v b 2 + v b 1 v c 1 , v b 2 v c 2 + v c 1 v a 1 , v c 2 v a 2 .       ( 45 )
The norm of the vector is defined as
V 2 = V , V = v a v b 2 + v b v c 2 + v c v a 2 .                         ( 46 )
The norm V = 0 ,   when a triangle degenerates into point, that is, when v a = v b = v c , and this case is not considered.
A unit vector, or a triangle, E = e a , e b , e c with norm 1 is defined as
E 2 = e a e b 2 + e b e c 2 + e c e a 2 = 1 .                                        ( 47 )
We can zero the first 2D vector e a    and consider the unit vector E = 0 , e b , e c , for which
E 2 = e b 2 + e b e c 2 + e c 2 = 1 ,                                                 ( 48 )
with condition that e b e c ,   e b 0 , and e c 0 . Such 6D vector corresponds to a triangle with the point a at the center of the system of coordinates. Such an example is shown in Figure 27 in part (b).
It is follows from Eq. 48, that
2 e b 2 2 e b e c cos ( λ ) + 2 e c 2 = 1.
Here, λ is the angle between 2D vectors e b and e c . This equation can be written as
e b 1 2 e c cos ( λ ) 2 + 1 4 e c 2 4 cos 2 ( λ ) = 1 2 .                                   ( 49 )
Solutions of this equation can be written as ( λ 0 )
e b 1 2 e c cos ( λ ) = 1 2 cos ϕ , 1 2 e c 4 cos 2 ( λ ) = 1 2 sin ϕ .                                                     ( 50 )
Thus, we have a parameterized set of solutions; two parameters are the angles λ and ϕ . The solutions can be written as
e c = 2 / 4 cos 2 ( λ ) sin ϕ , e b = 1 2 e c cos ( λ ) + 1 2 cos ϕ .                                                    ( 51 )
Here, 0 < ϕ π λ and 0 < λ < π . This system of solutions connects the lengths and the angle λ between the sides of the triangle, e b and e c . Note that, to generalize this solution, we can add a zero element V c = c , c , c with norm 0. Indeed, for a 2D vector c = c 1 , c 2 0,0 ,   E + V c = E =1.
The vector E = e a , e b , e c can be analytically written as
e a = 0 , e c = e c cos ϕ , sin ϕ , e b = e b cos λ + ϕ , sin λ + ϕ .                              
Preprints 146776 g044
The angles ϕ in Eqs. 51 and 52 are considered the same.
Thus, the vector is parameterized by two angles, that is, E = E ϕ , λ . In this system, the vector e c is rotated counter clock-wise by the angle ϕ and the vector e a   by the angle ( λ + ϕ ) (from the horizontal). We denote the set of such unit 6D vectors (triangles) E by E . As examples, Figure 28 shows five unit triangles with the angle λ = 40 ° . The first triangle with angle ϕ = 10 o is shown in red with vertices marked. Other four unit triangles are shown with the angles ϕ = 40 ° , 70 ° , 100 ° , and 130 ° .
Two other examples with unit triangles are shown in Figure 29. Four unit triangles with angle λ = 60 ° are shown in part (a), when angles ϕ = 10 ° , 40 ° , 70 ° , and 100 ° . In part (b), three unit triangles with angle λ = 110 ° are shown, when angles ϕ = 10 ° , 40 ° , and 70 ° .
For a 6D vector V = v a , v b , v c presenting a triangle, the similarity triangle, or the triangle in the general golden ratio with V , is defined as
s V ϕ , λ = V Φ ϑ E ϕ , λ ,      0 < ϕ π λ ,    λ ( 0 , π ).             (53)
Here, ϑ = a n g l e ( V , E ) denotes the angle between vectors V and E = e a , e b , e c , which is calculated by
cos ϑ = V , E V .
The norm V is calculated as in Eq. 47 and the inner product is calculated by
V , E = v a v b , e a e b + v b v c , e b e c + v c v a , e c e a .                      ( 54 )
As an example, Figure 30 show the triangle described by the vector V = v a , v b , v c = ( 0,0 , 3,2 , 5,0 ) in part (a). The angle between the vectors v b and v c equals to θ = 33.69 ° and Φ ϑ = 1.5702 . The similarity triangles s V 20 ° , λ ,   s V 40 ° , λ , and s V 70 ° , λ for angle λ = θ , are shown in parts (b), (c), and (d), respectively.
For the vector V = v a , v b , v c , the similarity set of triangles is defined as
S V = s V ϕ , λ ;   0 < ϕ π λ , 0 < λ < π .                                                               ( 55 )
Also, we can write this set as S V = V Φ ϑ E ; E E , ϑ = a n g l e ( V , E ) . As example, Figure 31 in part (a) shows the subset of the similarity set S V , for the vector V = ( 0,0 , 0,2 , 3,2 ) which represents a right triangle with angle θ = 56.31 ° between sides ab and ac (shown in red). The angle θ = a n g l e ( v b , v c ) is the angle between vectors v b and v c . The unit vectors E are calculated by Eq. 51 and 52, for 23 angles ϕ = 10 ° : 5 ° : 120 ° . The second parameter λ = θ , that is, the angle between the vectors e b and e c in the similarity triangles is the same as in the triangle for V . In part (b), the subset of another similarity set S V is shown, for the vector V = ( 0,0 , 0,2 , 3,3 ) . This vector represents a triangle with angle of θ = 45 ° between vectors v b and v c (shown in red). 26 angles of ϕ are used, namely ϕ = 10 ° : 5 ° : 135 ° , and the angle λ = θ .
In Figure 32, the similarity subsets are shown for the equilateral triangle with sides of length 5. The corresponding vector is V = ( 1,2 , 3.5,4 sin ( π / 3 ) , 7,2 ) . The first point a of the triangle is not at the origin. In part (a), the subset of similarity triangles is shown for 29 angles ϕ = 10 ° : 5 ° : 150 ° and angle λ = 60 ° . This is the case when λ = θ = 60 ° . In part (b), the subset is shown for the same 29 angles of ϕ and the angle λ = 30 ° .
What can be seen from the figures above, among similarity triangles there is no equal to the triangle with the vector V . It also not difficult to see from Eq. 53, that s V ϕ , λ = V only if
Φ ϑ E ϕ , λ = V V ,
that is, when Φ ϑ = 1 , or ϑ = 120 o and λ = ϑ . It is possible that other definitions of the inner product of triangles could lead to similarities that include the original triangle V .
As was mentioned above, to generalize this solution, we can add to unit vectors E = E ϕ , λ a zero element V c = c , c , c with a 2-D vector c = c 1 , c 2 0,0 . Therefore in general, we can consider the similarity set of triangles of the vector-triangle V = v a , v b , v c as a set parameterized by angles ϕ , λ , and vector c ,
S V = s V ϕ , λ , c ;   0 < ϕ π λ , 0 < λ < π ,   c R 2 .                                ( 56 )
To facilitate understanding, we can separate similarities, by fixing two parameters out of three. Also, we can consider these similarities separately (as spatial similarity, similarity in one fixed angle λ , or similarity in rotation ϕ ). If we are interested in similarities with a fixed angle between two sides, then we should fix the value of λ by giving it the value of one of the angles of the original triangle. Adding a constant vector V c leads to a spatial shift (translation) of the set of similarities.

7. Similarity of Figures (not Vectors)

The concepts of the similarity vectors and similarity sets of vectors, or golden vectors, are defined in the vector space. These concepts were described in detail and illustrated in Section 6 on examples with triangles represented as vectors. In this section, we present the concept of similarity on figures, not as vectors. In general, it is difficult to describe many figures (objects), for example the 7-pointed star, in the vector space. The generalized golden function can also be used in the simple case for similar figures (or objects), considering the change of the size of a given figure according to this function, as the function of angle, that is, after rotation of the figure. Now we will illustrate this simplified concept of similar figures on examples in the 2D plane, which include the well-known figures, such as the pentagons, heptagons, stars, and spirals.
Example 6: (Triangle)
Let is consider the following three points on the place a = 1,4 ,   b = [ 1 , 2 ] , and c = 2,0 . These points together compose one triangle, which we donote by T 1 = { a , b , c } . We need to draw the triangles which are in golden ratio with the triangle T 1 ( α ) but rotated by α = 20 ° . Figure 33 shows the original triangle in part (a) (in black color) together with the rotated triangle (in magenta). The solution of the golden equations for this angle are
{ x k α ; k = 1 : 4 } = { 1.6012 ,   0.4690 + 0.8496 i ,   0.4690 0.8496 i ,   0.6632 }
Two roots are positive, x 1 α = Φ α = 1.601185 .   and x 4 α = 0.66318359 are positive, and only the first one is positive. The similar triangle, that is, the triangle in the golden ratio, T 2 = Φ ( α ) T 1 ( α ) is shown in part (b). The small triangle in part (b) is T 2 = x 4 ( α ) T 1 ( α ) which is not in the golden ratio with T 1 ( α ) . In part (c), the original triangle is shown in blue and the triangle in the gold ratio with it in green.
The triangles that are in golden ratio with P 3 at angles 30 ° , 140 ° , and -20 ° are shown in Figure 34 in parts (a), (b), and (c), respectively. Note that the system of coordinates is not in the center of the triangle P 3 and the golden pairs change the original form (angles) of the triangle.

7.1. Other Figures

Now, we consider a few more illustrative examples for the GGR function in the 2D vector space. The figures of regular polygons and stars are considered with their centers at the initial point of the coordinate system. The form of golden pairs for each of such figures is preserved, as shown below.
Example 7. Consider the pentagon, P 5 , inside the unit circle, which is shown in Figure 34 in the blue color. The hexagons that are in golden ratio with P 5 at angles 72 ° , 90 ° , 160 ° , and 275 ° are shown in parts (a), (b), (c), and (d), respectively.
Figure 34. The pentagon and its golden pairs for the angles 72 ° ,90 ° , 160 ° , and 275 ° .
Figure 34. The pentagon and its golden pairs for the angles 72 ° ,90 ° , 160 ° , and 275 ° .
Preprints 146776 g034
Example 8. Consider the heptagon, P 7 , inside the unit circle, which is shown in Figure 35 in the blue color. The heptagons that are in golden ratio with P 7 at angles 30 ° , 140 ° , -100 ° , and 200 ° are shown in parts (a), (b), (c), and (d), respectively.
Example 9. Consider the 7-pointed star, or the regular heptagram, S 7,3 , inside the unit circle. This star is shown in Figure 36 in the blue color. The heptagrams that are in golden ratio with S 7,3 at angles 30 ° , 90 ° , 160 ° , and 220 ° are shown in parts (a), (b), (c), and (d), respectively.
Example 10. Consider the 9-pointed star, or the regular enneagram, S 9,4 , inside the unit circle. This star is shown in Figure 37 in part (a). The enneagrams that are in golden ratio with S 9,4 at angles 90 ° , 160 ° , and 220 ° are shown in parts (b), (c), and (d), respectively.
Example 11. Consider the figure with the cross, along with 10 crosses of half the size, each arranged in a circle, as shown in Figure 38 in part (a). This is a traditional picture with complete symmetry and identical figures. There is complete symmetry and there is no movement in this picture. In part (b), 10 crosses on the circle are chosen from the golden pairs with angles 18 ° , 54 ° ,   90 ° ,   126 ° , …, and 342 ° . In part (c), the same cross in the center is shown together with 12 its golden pairs for by angles 15 ° ,   45 ° ,   75 ° ,   105 ° , 145 ° , …, and 335 ° .
Example 12. Consider the 5-pointed star together with 12 starts of twice smaller starts which are shown in Figure 39. In part (a), the traditional picture is shown, and in part (b), 12 starts are composing the golden pairs with the star in the center.
Example 13. Consider the 7-pointed star, S 7,3 , shown in the center of Figure 40 in part (a) and 12 golden pair-starts placed around a circle. These golden pairs were calculated for star twice smaller size, S 7,3 / 2 . Figure 15(b) shows the similar picture for the 9-pointed star, S 9,4 . The golden pairs of stars were calculated for angles 15 ° ,   45 ° ,   75 ° ,   105 ° , 145 ° , …, and 335 ° .
Example 14. Consider the locus of the first 108 points on the Archimedes spiral A 108 = { n e i n 180 / π ;   n = 108 }. We can call this figure a linear spiral A 108 . Figure 41 shows this spiral in the center together with 8 spirals which compose golden pairs with the spiral A 108 /2 of twice smaller size. These 8 spirals are placed around a circle with distance of 45 ° .
If we superimpose these shapes on top of each other, we get a 3D shape. As examples, Figs. 42 shows such 2D view for the n -sided polygons P n , for n = 4,5 , 6 ,   and 7. The angles α were taken from the interval [ 0,2 π ] with the step of 2 degree. The original polygons P n are shown on the x-y plane in the black color.
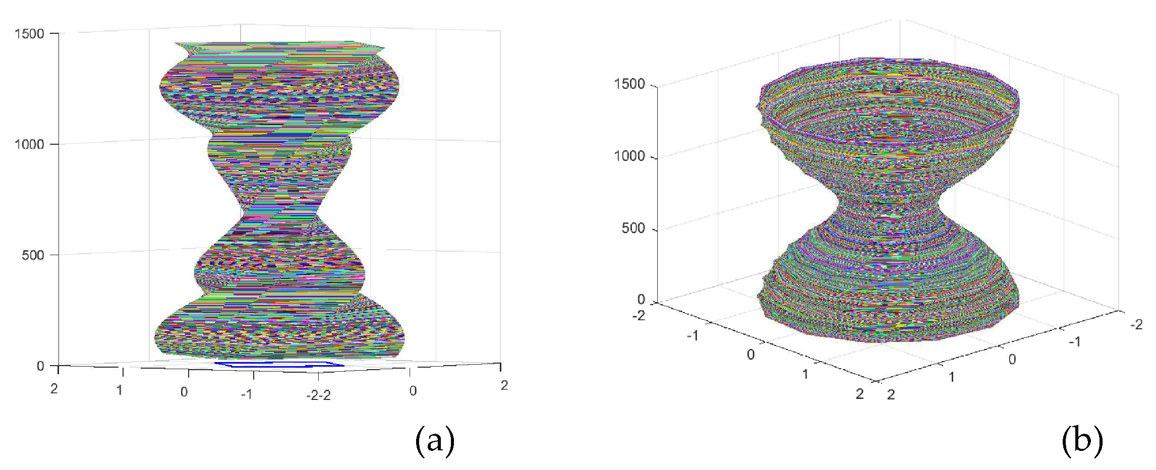
Figure 43 shows such shapes for the square in part (a) and for the twelve-sided polygon (dodecagon) in part (b). In these shapes, the polygons in golden ratios are colored randomly and angles α were taken from the interval [ 0,2 π ] with the small step, 0.2 ° . These two figures exist in the nature.

8. Afterword and Conclusion

In this work of our research, we generalize the similarity law for multidimensional vectors. Initially, the law of similarity was derived for one-dimensional vectors. Although it operated with such values of the ratio of parts of the whole, it meant linear dimensions (a line is one-dimensionality). Now the question arises - where can one observe this generalization? If we refer to the forms of fruits, for instance the apple, then it is easy to see a strongly pronounced broken sphericity, which does correspond to the listed forms.
The main part of this research is the concept of similarity, namely the set of similarity vectors to a given one. In all graphics above, the vectors were used, not area or surface (in the 3D case). The vector represents the force. This concept is difficult to explain, even to understand. There is a mystery here that we can't solve. Intuitively our subconscious mind shows that a certain vector spreads itself in the surrounding space. What we consider local, as a certain center of outflow of a narrowly directing force, is an abstraction. Any force retains its likeness around itself and has spatial dimensions even in the opposite direction. Physically, it's hard to imagine. Psychologically, it can be imagined in the following way. If you accompany the realization of force, then you will have a gain ( Φ α , α = 0 ), but your opposition to it is not completely destroyed ( Φ α , α = π ). Nature reserves the right to object with coefficient Φ π = ( 5 1 ) / 2 , when there is a right to encourage with coefficient Φ 0 = ( 5 + 1 ) / 2 . Also, Φ 0 Φ π = 1 , which means that the impact of the external environment is intended only to separate those who are with it from those who are against it. Deviations of action along all other angles between standing and confrontation tend to roll to one of these sides (the sign of the derivative of Φ α ). In this perspective, the law of similarity is clear.

Author Contributions

Conceptualization, A.G. and M.G.; methodology, A.G. and M.G.; software, A.G. and M.G.; validation, A.G.; formal analysis, A.G. and M.G.; investigation, A.G. and M.G.; resources, A.G.; data curation, A.G.; writing—original draft preparation, A.G. and M.G..; writing—review and editing, A.G.; visualization, A.G. and M.G.; supervision, A.G.; project administration, A.G. All authors have read and agreed to the published version of the manuscript.

Funding

This research received no external funding.

Institutional Review Board Statement

Not applicable.

Data Availability Statement

The main codes are given in Appendix; other codes will be available on the web page https://ceid.utsa.edu/agrigoryan/codes/

Conflicts of Interest

The authors declare no conflicts of interest.

Appendix A

The MATLAB-based codes for computing the solutions Φ k α ,   k = 1,4 , of the golden equation are given below. The following functions are used to compute these solutions:
1)
golden_ratio1.m (for Φ 1 α , given an angle α ),
2)
golden_ratio2.m (for Φ 2 α , given an angle α ),
3)
golden_ratio3.m (for Φ 3 α , given an angle α ),
4)
golden_ratio4.m (for Φ 4 α , given an angle α ).
Preprints 146776 g045

References

  1. Stakhov, A. The golden section and modern harmony mathematics, in book: Applications of Fibonacci Numbers, Springer Netherlands, 1998, 7, 393-399,.
  2. Bradley, S. A geometric connection between generalized Fibonacci sequences and nearly golden sections, The Fibonacci Quarterly, 1999, 38:2, 174–180.
  3. Herz-Fischler, R. The Shape of the Great Pyramid, Wilfrid Laurier University Press, 2000.
  4. van Zanten, A. The golden ratio in the arts of painting, building and mathematic, Nieuw Arch. Wisk., 1999, 17:2, 229–245.
  5. Olariu, A. Golden section and the art of painting, National Institute for Physics and Nuclear Engineering, 1999, 1–4.
  6. Grigoryan, A.M.; Agaian, S.S. Evidence of golden and aesthetic proportions in colors of paintings of the prominent artists, IEEE MultiMedia, Jan.-March 2020, 27:1, 8-16. [CrossRef]
  7. Kazlacheva, Z.; Ilieva, J. The golden and Fibonacci geometry in fashion and textile design, Proc. of the eRA, 2016, 10, 15–64.
  8. Chan, J.Y.; Chang, G.H. The golden ratio optimizes cardiomelic form and function, Journal of Medical Hypotheses and Ideas, 2009, 3, 1-5.
  9. Henein, M.Y.; Collaborators, G.R. etc. The human heart: application of the golden ratio and angle, International Journal Cardiology, 2011, 150(3), 239-242.
  10. Hassaballah, M.; Murakami, K.; Ido, S. Face detection evaluation: a new approach based on the golden ratio, Signal, Image and Video Processing, 2013, 7:2, 307–316.
  11. Grigoryan, A.M.; Agaian, S.S. Monotonic sequences for image enhancement and segmentation, Digital Signal Processing, June 2015, 41, 70–89. [CrossRef]
  12. Federica, L.N; Barry, M. Reading Bombelli, The Mathematical Intelligencer, 2002, 24:1, 12–21. [CrossRef]
  13. Victor K. A History of Mathematics. Boston: Addison Wesley, 2004, p. 220.
  14. Nickalls, R.W.D. Viète, Descartes, and the cubic equation, Mathematical Gazette, July 2006, 90:518, 203–208.
  15. Press, W. H.; Teukolsky, S.A.; Vetterling, W.T.; Flannery, B.P. Section 5.6 Quadratic and Cubic Equations, Numerical Recipes: The Art of Scientific Computing (3rd ed.), New York: Cambridge University Press, 2007.
  16. Nielsen. M.; Chuang I. Quantum Computation and Quantum Information, 2nd Ed., Cambridge UP, 2001.
Figure 1. (a) The golden pair of vectors and these vectors with (b) the parallelograms and (c) triangles.
Figure 1. (a) The golden pair of vectors and these vectors with (b) the parallelograms and (c) triangles.
Preprints 146776 g001
Figure 3. The vector a = [ 3,1 ] ' and its four similarity vectors.
Figure 3. The vector a = [ 3,1 ] ' and its four similarity vectors.
Preprints 146776 g002
Figure 4. The golden pairs { a 1 , a 2 } ,   { a 1 , a 3 } , and { a 2 , a 3 } .
Figure 4. The golden pairs { a 1 , a 2 } ,   { a 1 , a 3 } , and { a 2 , a 3 } .
Preprints 146776 g003
Figure 5. The graphs of the polynomial and lines, when (a) α = 45 ° , (b) α = 100 ° , and (b) α = 30 ° .
Figure 5. The graphs of the polynomial and lines, when (a) α = 45 ° , (b) α = 100 ° , and (b) α = 30 ° .
Preprints 146776 g004
Figure 6. The positive functions (a) D ( α ) and (b) v ( α ) for the Cardano’s solution of the depressed equation.
Figure 6. The positive functions (a) D ( α ) and (b) v ( α ) for the Cardano’s solution of the depressed equation.
Preprints 146776 g005
Figure 7. The graphs of the four roots of Eq. 10.
Figure 7. The graphs of the four roots of Eq. 10.
Preprints 146776 g006
Figure 8. Polar plots of magnitudes of four roots x k α ,   k = 1 : 4 , of Eq. 10.
Figure 8. Polar plots of magnitudes of four roots x k α ,   k = 1 : 4 , of Eq. 10.
Preprints 146776 g007
Figure 9. The polar plots of the sum of two roots: (a) x 1 α + x 2 α , (b) x 2 α + x 3 α , and (c) x 1 α + x 3 α .
Figure 9. The polar plots of the sum of two roots: (a) x 1 α + x 2 α , (b) x 2 α + x 3 α , and (c) x 1 α + x 3 α .
Preprints 146776 g008
Figure 11. (a) The sum of real solutions and the cosine function and (b) their difference.
Figure 11. (a) The sum of real solutions and the cosine function and (b) their difference.
Preprints 146776 g010
Figure 12. The general golden ratio function Φ α ,   α [ 0,2 π ] .
Figure 12. The general golden ratio function Φ α ,   α [ 0,2 π ] .
Preprints 146776 g011
Figure 13. The general golden ratio function and the function y ( α ) .
Figure 13. The general golden ratio function and the function y ( α ) .
Preprints 146776 g012
Figure 14. The General Golden ratio function Φ α ,   α 0,2 π , with a few marked values on it.
Figure 14. The General Golden ratio function Φ α ,   α 0,2 π , with a few marked values on it.
Preprints 146776 g013
Figure 15. The complex solution Φ 3 α ,   α 0,2 π : (a) the real part, (b) the imaginary part, and (c) the magnitude and its approximation F α . .
Figure 15. The complex solution Φ 3 α ,   α 0,2 π : (a) the real part, (b) the imaginary part, and (c) the magnitude and its approximation F α . .
Preprints 146776 g014
Figure 16. Polar plots of three roots in absolute scale: (a) Φ 1 α ,   (b) Φ 2 α , and (c) Φ 3 α ,   a 0,2 π .
Figure 16. Polar plots of three roots in absolute scale: (a) Φ 1 α ,   (b) Φ 2 α , and (c) Φ 3 α ,   a 0,2 π .
Preprints 146776 g015
Figure 17. 2D vectors.
Figure 17. 2D vectors.
Preprints 146776 g016
Figure 18. The locus of 128 golden pairs with the vectors (a) a = [ 1,2 ] and (b) a = 1,3 .
Figure 18. The locus of 128 golden pairs with the vectors (a) a = [ 1,2 ] and (b) a = 1,3 .
Preprints 146776 g017
Figure 19. The parallelogram composed of the sum of two vectors (a) before and (b) after the rotation by the angle φ .
Figure 19. The parallelogram composed of the sum of two vectors (a) before and (b) after the rotation by the angle φ .
Preprints 146776 g019
Figure 20. Sum of similarity sets for the 2-D vectors (a) a 1 = [ 1,2 ] , a 2 = [ 1,3 ] and (b) a 1 = [ 2 , 3 ] , a 2 = 1,5 .
Figure 20. Sum of similarity sets for the 2-D vectors (a) a 1 = [ 1,2 ] , a 2 = [ 1,3 ] and (b) a 1 = [ 2 , 3 ] , a 2 = 1,5 .
Preprints 146776 g020
Figure 21. Sum of similarity sets for the 2D vectors (a) a 1 = [ 0,1 ] , a 2 = 1,0 , (b) a 1 = [ 1,2 ] , a 2 = 0 , 1 , and (c) a 1 = [ 2,3 ] , a 2 = 1 , 2 .
Figure 21. Sum of similarity sets for the 2D vectors (a) a 1 = [ 0,1 ] , a 2 = 1,0 , (b) a 1 = [ 1,2 ] , a 2 = 0 , 1 , and (c) a 1 = [ 2,3 ] , a 2 = 1 , 2 .
Preprints 146776 g021
Figure 22. The unit vector e in the 3D spherical coordinate system.
Figure 22. The unit vector e in the 3D spherical coordinate system.
Preprints 146776 g022
Figure 23. The geometry of the similarity sets of golden vectors with the 3D vectors (a) [0,0,1] and (b) [1,0,0].
Figure 23. The geometry of the similarity sets of golden vectors with the 3D vectors (a) [0,0,1] and (b) [1,0,0].
Preprints 146776 g023
Figure 24. The view with AZ=0 and EL=90 degrees of the geometry of similarity sets of the Golden vectors with the 3D vectors (a) [0,0,1] and (b) [1,0,0].
Figure 24. The view with AZ=0 and EL=90 degrees of the geometry of similarity sets of the Golden vectors with the 3D vectors (a) [0,0,1] and (b) [1,0,0].
Preprints 146776 g024
Figure 25. The view with AZ=0 and EL=180 degrees: The geometry of the similarity sets of the Golden vectors with the 3-D vectors (a) [0,0,1] and (b) [1,0,0].
Figure 25. The view with AZ=0 and EL=180 degrees: The geometry of the similarity sets of the Golden vectors with the 3-D vectors (a) [0,0,1] and (b) [1,0,0].
Preprints 146776 g025
Figure 26. The 3-D surface of the similarity sets of the Golden vectors with the 3-D vectors (a) [0,0,1] and (b) [1,0,0].
Figure 26. The 3-D surface of the similarity sets of the Golden vectors with the 3-D vectors (a) [0,0,1] and (b) [1,0,0].
Preprints 146776 g026
Figure 27. (a) Triangle for the vector V and (b) the triangle with the vertex a at the origin.
Figure 27. (a) Triangle for the vector V and (b) the triangle with the vertex a at the origin.
Preprints 146776 g027
Figure 28. Five unit triangles with the angle λ = 40 ° .
Figure 28. Five unit triangles with the angle λ = 40 ° .
Preprints 146776 g028
Figure 29. The unit triangles with the angle (a) λ = 60 ° and (b) λ = 110 ° .
Figure 29. The unit triangles with the angle (a) λ = 60 ° and (b) λ = 110 ° .
Preprints 146776 g029
Figure 30. (a) The original triangle with angle θ = 33.69 ° and similarity triangles with the angle ϕ of (b) 20 ° , (c) 40 ° , and (d) 70 ° .
Figure 30. (a) The original triangle with angle θ = 33.69 ° and similarity triangles with the angle ϕ of (b) 20 ° , (c) 40 ° , and (d) 70 ° .
Preprints 146776 g030
Figure 31. The similarity triangles for (a) the triangle with angle θ = 56.31 ° and (b) the triangle with angle θ = 45 ° . .
Figure 31. The similarity triangles for (a) the triangle with angle θ = 56.31 ° and (b) the triangle with angle θ = 45 ° . .
Preprints 146776 g031
Figure 32. The similarity triangles for the equilateral triangle, when the angle (a) λ = 60 ° and (b) λ = 30 ° .
Figure 32. The similarity triangles for the equilateral triangle, when the angle (a) λ = 60 ° and (b) λ = 30 ° .
Preprints 146776 g032
Figure 33. (a) The original and rotated triangles, (b) the original triangle and its two pairs, and (c) the same shaded triangles.
Figure 33. (a) The original and rotated triangles, (b) the original triangle and its two pairs, and (c) the same shaded triangles.
Preprints 146776 g033
Figure 35. The heptagon and its golden pairs for the angles 30 ° ,140 ° , -100 ° , and 200 ° . (roos4_2.m)
Figure 35. The heptagon and its golden pairs for the angles 30 ° ,140 ° , -100 ° , and 200 ° . (roos4_2.m)
Preprints 146776 g035
Figure 36. The heptagram and its golden pairs for the angles 30 ° ,90 ° ,160 ° , and 220 ° .
Figure 36. The heptagram and its golden pairs for the angles 30 ° ,90 ° ,160 ° , and 220 ° .
Preprints 146776 g036
Figure 37. (a) The enneagram and its golden pairs for the angles (b) 90 ° , (c) 160 ° , and (d) 220 ° .
Figure 37. (a) The enneagram and its golden pairs for the angles (b) 90 ° , (c) 160 ° , and (d) 220 ° .
Preprints 146776 g037
Figure 38. The cross together with (a) 10 equal small crosses, (b) 10 golden pairs, and (c) 12 golden pairs.
Figure 38. The cross together with (a) 10 equal small crosses, (b) 10 golden pairs, and (c) 12 golden pairs.
Preprints 146776 g038
Figure 39. The star together with (a) 12 equal small stars and (b) 12 stars of the golden pairs.
Figure 39. The star together with (a) 12 equal small stars and (b) 12 stars of the golden pairs.
Preprints 146776 g039
Figure 40. The 7-pointed and 9-pointed stars together with their 12 stars of the golden pairs.
Figure 40. The 7-pointed and 9-pointed stars together with their 12 stars of the golden pairs.
Preprints 146776 g040
Figure 41. The 108-points on the Archimedes spiral together with eight golden-pairs.
Figure 41. The 108-points on the Archimedes spiral together with eight golden-pairs.
Preprints 146776 g041
Figure 42. The 2-D view of 108 golden (a) squares, (b) pentagons, (c) hexagons, and (d) heptagons.
Figure 42. The 2-D view of 108 golden (a) squares, (b) pentagons, (c) hexagons, and (d) heptagons.
Preprints 146776 g042
Figure 43. 3D composition of golden figures for (a) the square and (b) the dodecagon.
Figure 43. 3D composition of golden figures for (a) the square and (b) the dodecagon.
Preprints 146776 g043
Disclaimer/Publisher’s Note: The statements, opinions and data contained in all publications are solely those of the individual author(s) and contributor(s) and not of MDPI and/or the editor(s). MDPI and/or the editor(s) disclaim responsibility for any injury to people or property resulting from any ideas, methods, instructions, or products referred to in the content.
Copyright: This open access article is published under a Creative Commons CC BY 4.0 license, which permit the free download, distribution, and reuse, provided that the author and preprint are cited in any reuse.
Prerpints.org logo

Preprints.org is a free preprint server supported by MDPI in Basel, Switzerland.

Subscribe

Disclaimer

Terms of Use

Privacy Policy

Privacy Settings

© 2026 MDPI (Basel, Switzerland) unless otherwise stated