Submitted:
03 January 2025
Posted:
06 January 2025
You are already at the latest version
Abstract
Keywords:
1. Introduction
- Provides a user-friendly GUI to simulate real-world spaces, allowing for barrier placement and indoor mapping before real-world application.
- Accurately determines the user’s location using signal strengths from the three nearest APs without requiring additional hardware.
- Utilizes existing infrastructure (APs) and trilateration techniques to reduce the need for additional resources, maintaining high efficiency and low operational costs.
- Dynamically rearranges user-defined checkpoints to find the most computationally efficient path, balancing speed and accuracy.
- Reduces unnecessary nodes in the path by eliminating redundant points, improving computational efficiency and runtime without sacrificing accuracy.
- Translates optimized path data into real-world robot navigation, proving the algorithm’s applicability and effectiveness in practical indoor environments.
2. Preliminary
2.1. Indoor Localization using RSSI
2.2. Trilateration and Signal Interference
2.3. Pathfinding with the A* Algorithm
2.4. Integration of Localization and Pathfinding
3. Literature Review
3.1. Indoor Localization
3.2. Path Planning
3.3. Indoor Navigation Systems
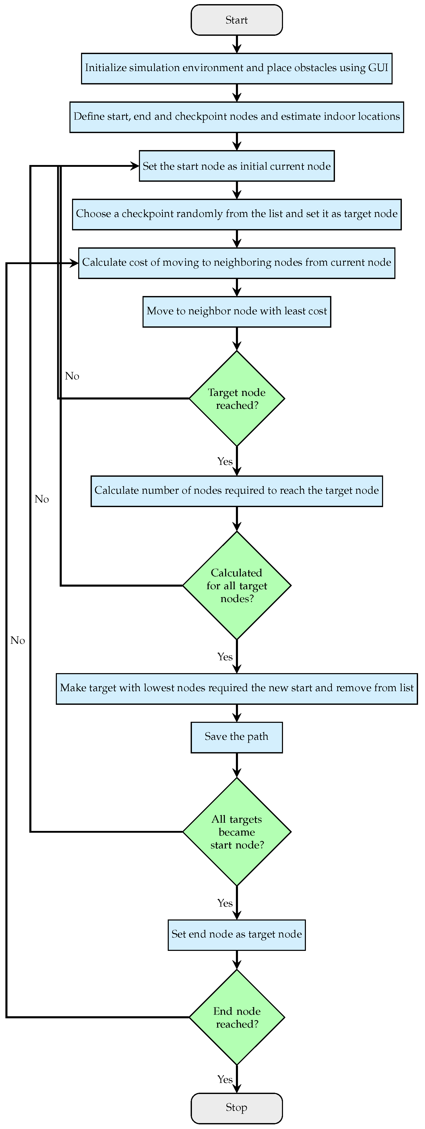
4. Proposed Algorithm
4.1. Algorithm Overview
4.2. Core Features
4.2.1. Adjustable
4.2.2. Traceability
4.2.3. Waypointing
4.2.4. Navigational
4.2.5. Optimization
| Algorithm 1:Path Optimization via Redundant Node Removal |
|

4.3. Qualitative Comparison
5. Evaluation
5.1. Simulation Evaluation
5.1.1. Simulation Setup
- Hardware Configuration: Experiments were executed on a Windows 10 laptop equipped with an Intel Core i7-8750H processor and 16 GB of RAM.
-
Simulation Environment: A 100 × 100 indoor grid was used to simulate different conditions. Three distinct scenarios were investigated:
- Environment 1: No obstacles or borders, serving as a baseline for performance evaluation.
- Environment 2: An environment featuring boundaries, hypothesized to influence the total and average execution times without affecting the algorithm’s path.
- Environment 3: This scenario included both borders and obstacles, aiming to assess the algorithms’ performance in more complex navigation situations.
- Evaluation Metrics: The algorithms were evaluated based on the number of different checkpoints that needed to be visited excluding the start and end nodes. The performance evaluation was done based on the average algorithm execution time, memory usage, total path length, number of turns taken, and the number of nodes after reduction.
5.1.2. Indoor Localization Simulation Result
5.1.3. Path Planning Simulation Result






5.2. Practical Evaluation
5.2.1. Practical Setup

5.2.2. Practical Result

5.3. Quantitative Comparison




6. Discussion
6.1. Organizational Convenience
6.2. User Convenience
6.3. User Experience
6.4. Cost Efficiency
6.5. Energy Efficiency
6.6. Application
6.7. Limitations and Future Considerations
7. Conclusion
References
- Mendoza-Silva, G.M.; Torres-Sospedra, J.; Huerta, J. A meta-review of indoor positioning systems. Sensors 2019, 19, 4507.
- Research, G.V. Indoor Positioning And Navigation Market Size 2023.
- Ritchie, H.; Rodés-Guirao, L.; Mathieu, E.; Gerber, M.; Ortiz-Ospina, E.; Hasell, J.; Roser, M. Population Growth. Our World in Data 2023.
- Almadani, Y.; Plets, D.; Bastiaens, S.; Joseph, W.; Ijaz, M.; Ghassemlooy, Z.; Rajbhandari, S. Visible light communications for industrial applications-Challenges and potentials. Electronics 2020, 9, 2157.
- Pachni-Tsitiridou, O.; Fouskas, K. Location-Aware Technologies: How They Affect Customer Experience. Strategic Innovative Marketing and Tourism: 7th ICSIMAT, Athenian Riviera, Greece, 2018 2019, pp. 1199–1206.
- Storage, B. Warehouse Trends for 2022 and beyond 2022.
- Kolehmainen, V. Improve store efficiency with indoor positioning 2022.
- Elsanhoury, M.; Mäkelä, P.; Koljonen, J.; Välisuo, P.; Shamsuzzoha, A.; Mantere, T.; Elmusrati, M.; Kuusniemi, H. Precision positioning for smart logistics using ultra-wideband technology-based indoor navigation: A review. leee Access 2022, 10, 44413–44445.
- Laoudias, C.; Moreira, A.; Kim, S.; Lee, S.; Wirola, L.; Fischione, C. A survey of enabling technologies for network localization, tracking, and navigation. IEEE Communications Surveys & Tutorials 2018, 20, 3607–3644.
- Shukri, S.; Kamarudin, L.M. Device free localization technology for human detection and counting with RF sensor networks: A review. Journal of Network and Computer Applications 2017, 97, 157–174.
- Alamleh, H.; Alqahtani, A.A.S.; Gourd, J.; Mugasa, H. A weighting system for building RSS maps by crowdsourcing data from smartphones. In Proceedings of the 2020 International Conference on Computing, Networking and Communications (ICNC). IEEE, 2020, pp. 152–156.
- Papapostolou, A.; Chaouchi, H. RFID-assisted indoor localization and the impact of interference on its performance. Journal of Network and Computer Applications 2011, 34, 902–913.
- Wei, Z.; Chen, J.; Tang, H.; Zhang, H. RSSI-based location fingerprint method for RFID indoor positioning: a review. Nondestructive Testing and Evaluation 2024, 39, 3–31.
- Doğan, A.H.; Mumcu, T.V. Navigating in Complex Indoor Environments: A Comparative Study. Journal of Artificial Intelligence and Data Science 2023, 3, 124–137.
- Kulshrestha, T.; Saxena, D.; Niyogi, R.; Raychoudhury, V.; Misra, M. SmartITS: Smartphone-based identifica- tion and tracking using seamless indoor-outdoor localization. Journal of Network and Computer Applications 2017, 98, 97–113.
- Hernandez, S.M.; Bulut, E. Using perceived direction information for anchorless relative indoor localization. Journal of Network and Computer Applications 2020, 165, 102714.
- Shi, Y.; Shi, W.; Liu, X.; Xiao, X. An RSSI classification and tracing algorithm to improve trilateration-based positioning. Sensors 2020, 20, 4244.
- Liu, Z.; Liu, H.; Lu, Z.; Zeng, Q. A dynamic fusion pathfinding algorithm using delaunay triangulation and improved a-star for mobile robots. Ieee Access 2021, 9, 20602–20621.
- Zafari, F.; Gkelias, A.; Leung, K.K. A Survey of Indoor Localization Systems and Technologies. IEEE Communications Surveys & Tutorials 2019, 21, 2568–2599. [CrossRef]
- Alamleh, H.; AlQahtani, A.A.S. Architecture for continuous authentication in location-based services. In Proceedings of the 2020 International Conference on Innovation and Intelligence for Informatics, Computing and Technologies (3ICT). IEEE, 2020, pp. 1–4.
- Yaro, A.; Maly, E; Pražák, P. A Survey of the Performance-Limiting Factors of a 2-Dimensional RSS Fingerprinting-Based Indoor Wireless Localization System. Sensors 2023, 23, 2545. [CrossRef]
- 22 Rahman, A.B.M.M.; Li, T.; Wang, Y. Recent Advances in Indoor Localization via Visible Lights: A Survey. Sensors 2020, 20. [CrossRef]
- Dondo, J.; Villanueva, E; Garcia, D.; Vallejo, D.; Glez-Morcillo, C.; Lopez, J.C. Distributed fpga-based architecture to support indoor localisation and orientation services. Journal of network and computer applications 2014, 45, 181–190.
- Morar, A.; Moldoveanu, A.; Mocanu, L.; Moldoveanu, E; Radoi, LE; Asavei, V.; Gardener, A.; Butean, A. A Comprehensive Survey of Indoor Localization Methods Based on Computer Vision. Sensors 2020, 20. [CrossRef]
- Seco, F.; Prieto, J.C.; Ruiz, A.R.J.; Guevara, J. Compensation of Multiple Access Interference Effects in CDMA-Based Acoustic Positioning Systems. IEEE Transactions on Instrumentation and Measurement 2014, 63, 2368–2378. [CrossRef]
- Piontek, H.; Seyffer, M.; Kaiser, J. Improving the accuracy of ultrasound-based localisation systems. Personal Ubiquitous Comput. 2007, 11, 439–449. [CrossRef]
- Vera, R.; Ochoa, S.F.; Aldunate, R.G. EDIPS: an Easy to Deploy Indoor Positioning System to support loosely coupled mobile work. Personal and Ubiquitous Computing 2011, 15, 365–376.
- Obeidat, H.; Shuaieb, W.; Obeidat, O.; Abd-Alhameed, R. A review of indoor localization techniques and wireless technologies. Wireless Personal Communications 2021, 119, 289–327.
- Poulose, A.; Han, D.S. UWB indoor localization using deep leaming LSTM networks. Applied Sciences 2020, 10, 6290.
- Pahlavan, K.; Krishnamurthy, P. Evolution and impact of Wi-Fi technology and applications: A historical perspective. International Journal of Wireless Information Networks 2021, 28, 3–19.
- Retscher, G. Fundamental concepts and evolution of Wi-Fi user localization: An overview based on different case studies. Sensors 2020, 20, 5121.
- 32 Basri, C.; El Khadimi, A. Survey on indoor localization system and recent advances of WIFI fingerprinting technique. In Proceedings of the 2016 5th international conference on multimedia computing and systems (ICMCS). IEEE, 2016, pp. 253–259.
- Banin, L.; Schützberg, U.; Amizur, Y. Next generation indoor positioning system based on WiFi time of flight. In Proceedings of the Proceedings of the 26th International Technical Meeting of the Satellite Division of The Institute of Navigation (ION GNSS+ 2013), 2013, pp. 975–982.
- Abusubaih, M.; Rathke, B.; Wolisz, A. A dual distance measurement scheme for indoor IEEE 802.11 wireless local area networks. In Proceedings of the 2007 9th IFIP International Conference on Mobile Wireless Communications Networks, 2007, pp. 121–125. [CrossRef]
- Kumar, S.; Gil, S.; Katabi, D.; Rus, D. Accurate indoor localization with zero start-up cost. In Proceedings of the Proceedings of the 20th annual international conference on Mobile computing and networking, 2014, pp. 483–494.
- Kotaru, M.; Joshi, K.; Bharadia, D.; Katti, S. Spotfi: Decimeter level localization using wifi. In Proceedings of the Proceedings of the 2015 ACM conference on special interest group on data communication, 2015, pp. 269–282.
- Li, M.; Meng, Y.; Liu, J.; Zhu, H.; Liang, X.; Liu, Y.; Ruan, N. When CSI meets public WiFi Inferring your mobile phone password via WiFi signals. In Proceedings of the Proceedings of the 2016 ACM SIGSAC conference on computer and communications security, 2016, pp. 1068–1079.
- Nair, A.P.; Manoj, A.K.; V, A.; MP, N.; CA, A. Indoor Navigation System Using Wi-Fi RSSL. In Proceedings of the 2024 7th International Conference on Circuit Power and Computing Technologies (ICCPCT), 2024, Vol 1, pp. 954–959. [CrossRef]
- Zhuang, Y.; Syed, Z.; Georgy, J.; El-Sheimy, N. Autonomous smartphone-based WiFi positioning system by using access points localization and crowdsourcing. Pervasive and Mobile Computing 2015, 18, 118–136. [CrossRef]
- Yang, B.; Guo, L.; Guo, R.; Zhao, M.; Zhao, T. A novel trilateration algorithm for RSSI-based indoor localization. IEEE Sensors Journal 2020, 20, 8164–8172.
- Karur, K.; Sharma, N.; Dharmatti, C.; Siegel, J.E. A survey of path planning algorithms for mobile robots. Vehicles 2021, 3, 448–468.
- 42 Ismail, A.; Sheta, A.; AL-Weshah, M. A mobile robot path planning using genetic algorithm in static environment. Journal of Computer Science 2008, 4, 341–344.
- Debnath, D.; Vanegas, F.; Sandino, J.; Hawary, A.F.; Gonzalez, E. A Review of UAV Path-Planning Algorithms and Obstacle Avoidance Methods for Remote Sensing Applications. Remote Sensing 2024, 16, 4019.
- Liu, L.; Wang, X.; Yang, X.; Liu, H.; Li, J.; Wang, P. Path planning techniques for mobile robots: Review and prospect. Expert Systems with Applications 2023, 227, 120254. https//doi.org/https://doi.org/10.1016/j. eswa.2023.120254.
- Wang, R.; Lu, Z.; Jin, Y.; Liang, C. Application of A* algorithm in intelligent vehicle path planning. Mathematical Models in Engineering 2022, 8, 82–90.
- Yu, X.; Chen, W.N.; Gu, T.; Yuan, H.; Zhang, H.; Zhang, J. ACO-A*: Ant Colony Optimization Plus A* for 3-D Traveling in Environments With Dense Obstacles. IEEE Transactions on Evolutionary Computation 2019, 23, 617–631. [CrossRef]
- Huang, C.; Zhao, Y.; Zhang, M.; Yang, H. APSO: An A*-PSO Hybrid Algorithm for Mobile Robot Path Planning. IEEE Access 2023, 11, 43238–43256. [CrossRef]
- 48 Fan, T.; Wang, D.; Liu, W.; Pan, J. Crowd-driven mapping, localization and planning. In Proceedings of the Experimental Robotics: The 17th International Symposium. Springer, 2021, pp. 354–368.
- Liu, T.; Li, H.; Lu, H.; Cheema, M.A.; Shou, L. Towards crowd-aware indoor path planning (extended version). arXiv preprint arXiv:2104.05480 2021.
- Hewawasam, H.; Ibrahim, M.Y.; Appuhamillage, G.K. Past, present and future of path-planning algorithms for mobile robot navigation in dynamic environments. IEEE Open Journal of the Industrial Electronics Society 2022, 3, 353–365.
- Yuan, C.; Zhang, W.; Liu, G.; Pan, X.; Liu, X. A heuristic rapidly-exploring random trees method for manipulator motion planning. IEEE access 2019, 8, 900–910.
- 52 Bruce, J.; Veloso, M. Real-time randomized path planning for robot navigation. In Proceedings of the IEEE/RSJ international conference on intelligent robots and systems. IEEE, 2002, Vol. 3, pp. 2383–2388.
- Suryaprakash, S.; Thirumoorthi, P.; Viswanathan, T. Development of an Indoor Navigation System for Mobile Robots Using Sensor Fusion and Path Planning Algorithms. In Proceedings of the 2023 2nd International Conference on Advancements in Electrical, Electronics, Communication, Computing and Automation (ICAECA), 2023, pp. 1–6. [CrossRef]
- Kantawong, S. Indoor Fire Evacuation Guidance Using QR Code Vision-based combine with an Adaptive Routing Localization. In Proceedings of the 2022 International Electrical Engineering Congress (iEECON), 2022, pp. 1–4.
- Liu, M.; Zou, S.; Fu, X.; Xie, C. Research on Fusion Path Planning Method Based on UWB Positioning. In Proceedings of the 2023 IEEE International Conference on Mechatronics and Automation (ICMA), 2023, pp. 929–934. [CrossRef]
- Wang, X.; Ma, X., Zhu, S.; Zhang, K.; Sun, Y. Research on Localization and Path Planning of Indoor Robot Based on ROS. In Proceedings of the 2021 International Conference on Computer Information Science and Artificial Intelligence (CISAI), 2021, pp. 793–796.
- Dong, J.; Wang, H.; Pan, Q.K. An Improved Multi-objective Evolutionary Algorithm for A Robot Detect Path Planning Problem. In Proceedings of the 2022 41st Chinese Control Conference (CCC), 2022, pp. 2071–2076. [CrossRef]
- Lee, J.; Park, H.; Kim, Y.; Park, C.G.; Lee, J.H. Multi-Level Indoor Path Planning and Clearance-Based Path Optimization for Search and Rescue Operations. IEEE Access 2023, 11, 40930–40943. [CrossRef]
- Chitsobhuk, O.; Warunsin, K.; Udomthanapong, S. Multidestination Indoor Navigation Using Path Planning and WiFi Fingerprint Localization. In Proceedings of the 2018 3rd International Conference on Computer and Communication Systems (ICCCS), 2018, pp. 406–410. [CrossRef]
- AlQahtani, A.A.S; Alamleh, H.; Gourd, J. OEISUA: Zero Effort Indoor Secure User Authentication. IEEE Access 2020, 8,79069-79078. [CrossRef]





| Study | Adjustable | Traceability | Waypointing | Navigational | Optimization |
|---|---|---|---|---|---|
| [25,26,27,33,34,35,36,37,38,39,40] | ✗ | ✓ | ✗ | ✗ | ✗ |
| [42] | ✗ | ✗ | ✗ | ✓ | ✗ |
| [45,47,51,52] | ✗ | ✗ | ✗ | ✓ | ✓ |
| [46,57,58] | ✗ | ✗ | ✓ | ✓ | ✓ |
| [48,49,53,54,55] | ✗ | ✓ | ✗ | ✓ | ✓ |
| [56] | ✓ | ✓ | ✗ | ✓ | ✓ |
| [59] | ✗ | ✓ | ✓ | ✓ | ✓ |
| Ours | ✓ | ✓ | ✓ | ✓ | ✓ |
| Indoor Map | Estimated Coordinates () | Actual Coordinates() | Error (%) |
|---|---|---|---|
| (50, 8) | (50, 10) | 3.33 | |
| (71, 93) | (69, 91) | 2.5 | |
| (38, 49) | (37, 51) | 3.41 | |
| Environment 1 | (16, 73) | (18, 76) | 5.32 |
| (60, 59) | (57, 56) | 5.31 | |
| (72, 27) | (72, 26) | 1.02 | |
| (50, 91) | (50, 90) | 0.71 | |
| (50, 7) | (50, 10) | 5.0 | |
| (72, 94) | (69, 91) | 3.75 | |
| (38, 49) | (37, 51) | 3.41 | |
| Environment 2 | (16, 72) | (18, 76) | 6.38 |
| (61, 60) | (57, 56) | 7.08 | |
| (72, 27) | (72, 26) | 1.02 | |
| (50, 92) | (50, 90) | 1.43 | |
| (50, 8) | (50, 10) | 3.33 | |
| (71, 93) | (69, 91) | 2.5 | |
| (38, 49) | (37, 51) | 3.41 | |
| Environment 3 | (16, 73) | (18, 76) | 5.32 |
| (60, 59) | (57, 56) | 5.31 | |
| (72, 27) | (72, 26) | 1.02 | |
| (49, 91) | (50, 90) | 1.43 |
| Performance Type | Basic A* Algorithm | Iterative A* Algorithm | ||||||||||
|---|---|---|---|---|---|---|---|---|---|---|---|---|
| Checkpoints | 0 | 1 | 2 | 3 | 4 | 5 | 0 | 1 | 2 | 3 | 4 | 5 |
| Average Time (s) | 0.003 | 0.030 | 0.036 | 0.040 | 0.029 | 0.037 | 0.003 | 0.030 | 0.029 | 0.033 | 0.027 | 0.024 |
| Algorithm Iterations | 1 | 2 | 3 | 4 | 5 | 6 | 1 | 2 | 4 | 7 | 11 | 16 |
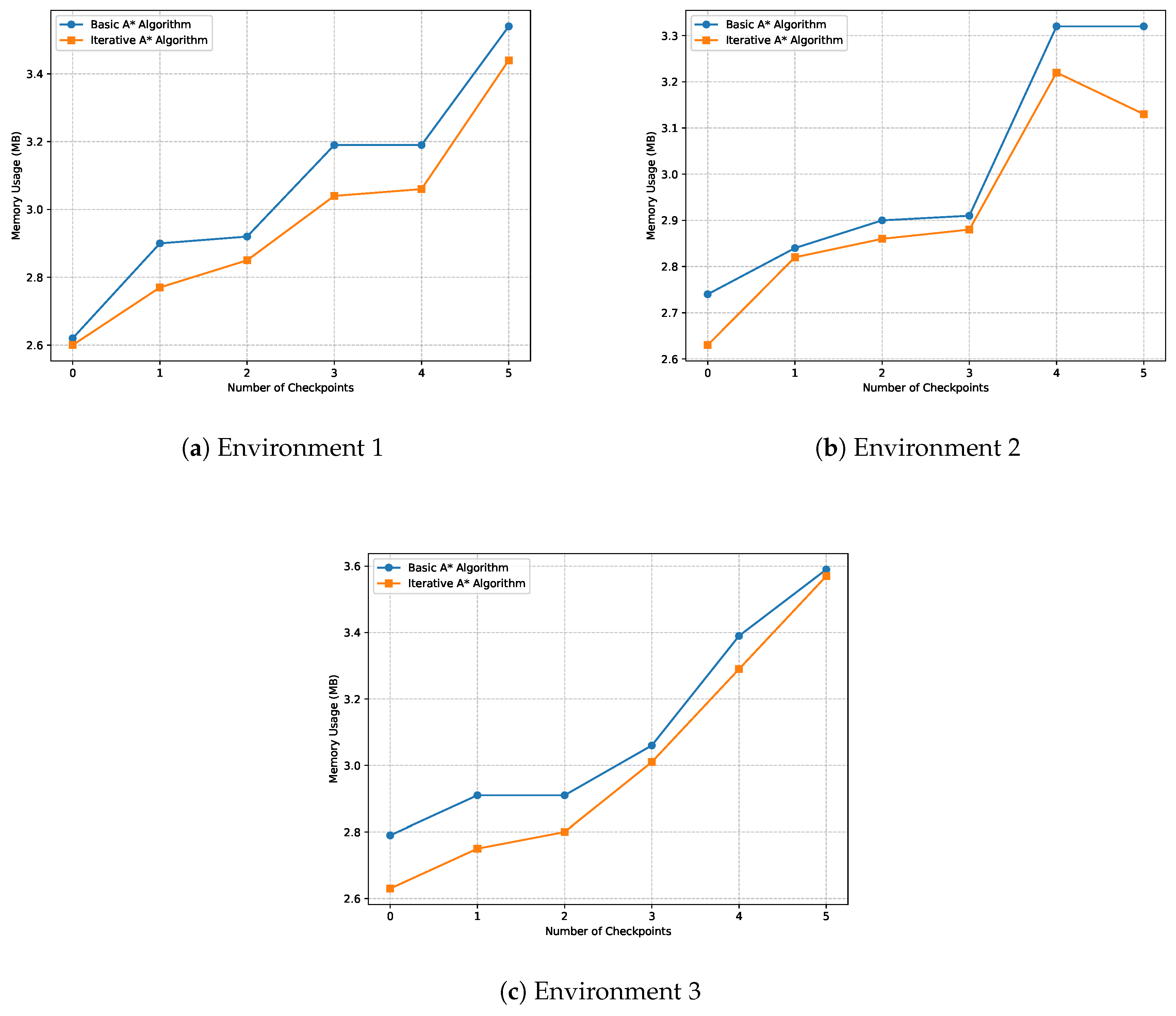
| Memory usage (MB) | 2.62 | 2.90 | 2.92 | 3.19 | 3.19 | 3.54 | 2.60 | 2.77 | 2.85 | 3.04 | 3.06 | 3.44 |
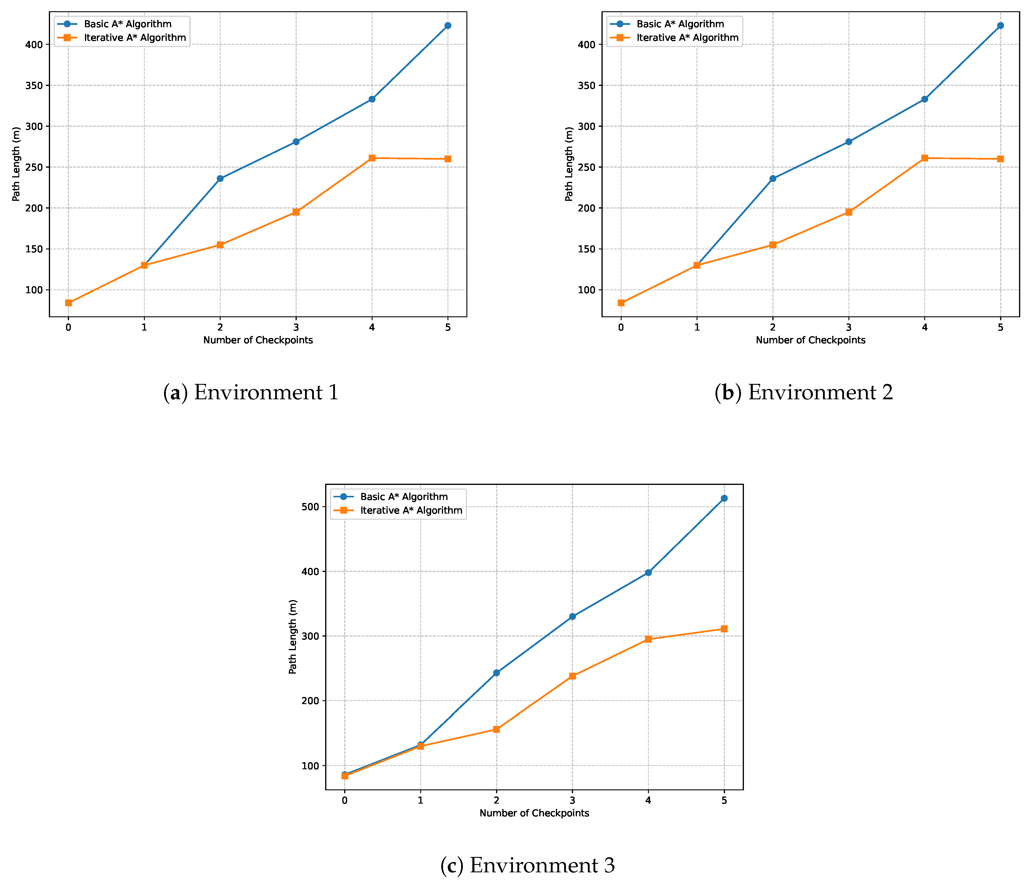
| Path Length (m) | 84 | 130 | 236 | 281 | 333 | 423 | 84 | 130 | 155 | 195 | 261 | 260 |
| Turns | 0 | 3 | 5 | 7 | 9 | 11 | 0 | 3 | 3 | 7 | 9 | 11 |
| Nodes | 85 | 131 | 237 | 282 | 334 | 424 | 85 | 131 | 156 | 196 | 262 | 261 |
| Nodes After Reduction | 2 | 6 | 9 | 12 | 15 | 18 | 2 | 6 | 8 | 12 | 15 | 18 |
| Performance Type | Basic A* Algorithm | Iterative A* Algorithm | ||||||||||
|---|---|---|---|---|---|---|---|---|---|---|---|---|
| Checkpoints | 0 | 1 | 2 | 3 | 4 | 5 | 0 | 1 | 2 | 3 | 4 | 5 |
| Average Time (s) | 0.011 | 0.064 | 0.092 | 0.089 | 0.061 | 0.065 | 0.007 | 0.062 | 0.063 | 0.076 | 0.056 | 0.056 |
| Algorithm Iterations | 1 | 2 | 3 | 4 | 5 | 6 | 1 | 2 | 4 | 7 | 11 | 16 |
| Memory usage (MB) | 2.74 | 2.84 | 2.90 | 2.91 | 3.32 | 3.32 | 2.63 | 2.82 | 2.86 | 2.88 | 3.22 | 3.13 |
| Path Length (m) | 84 | 130 | 236 | 281 | 333 | 423 | 84 | 130 | 155 | 195 | 261 | 260 |
| Turns | 0 | 3 | 5 | 7 | 9 | 11 | 0 | 3 | 3 | 7 | 9 | 11 |
| Nodes | 85 | 131 | 237 | 282 | 334 | 424 | 85 | 131 | 156 | 196 | 262 | 261 |
| Nodes After Reduction | 2 | 6 | 9 | 12 | 15 | 18 | 2 | 6 | 8 | 12 | 15 | 18 |
| Performance Type | Basic A* Algorithm | Iterative A* Algorithm | ||||||||||
|---|---|---|---|---|---|---|---|---|---|---|---|---|
| Checkpoints | 0 | 1 | 2 | 3 | 4 | 5 | 0 | 1 | 2 | 3 | 4 | 5 |
| Average Time (s) | 0.008 | 0.097 | 0.135 | 0.113 | 0.113 | 0.147 | 0.008 | 0.088 | 0.091 | 0.109 | 0.113 | 0.111 |
| Algorithm Iterations | 1 | 2 | 3 | 4 | 5 | 6 | 1 | 2 | 4 | 7 | 11 | 16 |
| Memory usage (MB) | 2.79 | 2.91 | 2.91 | 3.06 | 3.39 | 3.59 | 2.63 | 2.75 | 2.80 | 3.01 | 3.29 | 3.57 |
| Path Length (m) | 86 | 132 | 243 | 330 | 398 | 513 | 84 | 130 | 156 | 238 | 295 | 311 |
| Turns | 0 | 3 | 7 | 15 | 19 | 25 | 0 | 1 | 5 | 13 | 19 | 19 |
| Nodes | 87 | 133 | 244 | 331 | 399 | 514 | 85 | 131 | 157 | 239 | 296 | 312 |
| Nodes After Reduction | 2 | 6 | 12 | 20 | 25 | 32 | 2 | 5 | 9 | 18 | 25 | 26 |
| Environment | Checkpoints | Average Time (%) | Memory Usage (%) | Path Length (%) | Turns (%) | Nodes Reduction (%) |
|---|---|---|---|---|---|---|
| Environment 1 | 0 | 0.00 | 0.76 | 0.00 | 0.00 | 0.00 |
| 1 | 0.00 | 4.48 | 0.00 | 0.00 | 0.00 | |
| 2 | 19.44 | 2.40 | 34.32 | 40.00 | 11.11 | |
| 3 | 17.50 | 4.70 | 30.60 | 0.00 | 0.00 | |
| 4 | 6.90 | 4.08 | 21.62 | 0.00 | 0.00 | |
| 5 | 35.14 | 2.82 | 38.53 | 0.00 | 0.00 | |
| Environment 2 | 0 | 36.36 | 4.01 | 0.00 | 0.00 | 0.00 |
| 1 | 3.13 | 0.70 | 0.00 | 0.00 | 0.00 | |
| 2 | 31.52 | 1.38 | 34.32 | 40.00 | 11.11 | |
| 3 | 14.61 | 1.03 | 30.60 | 0.00 | 0.00 | |
| 4 | 8.20 | 3.01 | 21.62 | 0.00 | 0.00 | |
| 5 | 13.85 | 5.72 | 38.53 | 0.00 | 0.00 | |
| Environment 3 | 0 | 0 | 5.73 | 2.33 | 0.00 | 0.00 |
| 1 | 9.28 | 5.50 | 1.52 | 66.67 | 16.67 | |
| 2 | 32.59 | 3.78 | 35.80 | 28.57 | 25.00 | |
| 3 | 3.54 | 1.63 | 27.88 | 13.33 | 10.00 | |
| 4 | 0.00 | 2.95 | 25.88 | 0.00 | 0.00 | |
| 5 | 24.49 | 0.56 | 39.38 | 24.00 | 18.75 |
Disclaimer/Publisher’s Note: The statements, opinions and data contained in all publications are solely those of the individual author(s) and contributor(s) and not of MDPI and/or the editor(s). MDPI and/or the editor(s) disclaim responsibility for any injury to people or property resulting from any ideas, methods, instructions or products referred to in the content. |
© 2025 by the authors. Licensee MDPI, Basel, Switzerland. This article is an open access article distributed under the terms and conditions of the Creative Commons Attribution (CC BY) license (http://creativecommons.org/licenses/by/4.0/).