Submitted:
12 December 2024
Posted:
15 December 2024
You are already at the latest version
Abstract
Keywords:
1. Introduction
- Wireless sensor networks (SubSection 1.1) – in this subsection, we discuss WSNs, including their sensor nodes, common architectures, real-world applications, as well as the key advantages and disadvantages of this technology.
- Sensor Fusion in Wireless Sensor Networks (SubSection 1.2) – we describe fundamental concepts, the key benefits of sensor fusion, the differences between centralized and distributed schemes, consensus algorithms, and their applications in real-world scenarios.
- Our Contribution (SubSection 1.3) – in this subsection, we highlight our contribution and provide a justification for it.
- Paper Organization (SubSection 1.4) – this section provides an overview of how the paper is structured into sections and subsections.
1.1. Wireless Sensor Networks
- ⋄
- Scalability: means that sensors can be easily added to and removed from a network. Thus, high scalability allows for an effective increase or decrease in the number of sensor nodes without degrading the performance stability and reliability.
- ⋄
- Financial affordability: one of the most critical design considerations for WSNs is keeping sensor production costs low. Thus, WSN-based applications are typically cost-effective in spite of the deployment of numerous sensor nodes in real-world applications.
- ⋄
- Energy efficiency: algorithms and sensor nodes are designed to enable long operation of WSNs without any maintenance (or with minimal maintenance). As a result, the network lifetime of WSNs is significantly extended, allowing for their widespread use in vast and hard-to-reach areas.
- ⋄
- Monitoring in real-time: sensor nodes can reliably sense the current status of monitored physical quantities, thereby providing topical information on these quantities and enhancing data collection and decision-making processes.
- ⋄
- Infrastructure-less architecture: this feature guarantees a simplified deployment and redeployment of sensor nodes, as well as their seamless reconfiguration.
- ⋄
- Compatibility: WSNs are compatible with a variety of devices and innovative plug-ins, enhancing their applicability across multiple domains.
- ⋄
- Signal interference: communication between sensor nodes can be easily disturbed by other wireless-based technologies, leading to a degradation in the quality of communication within WSNs.
- ⋄
- Limited power source: is caused by the reliance of sensor nodes on battery power (recharging or replacing batteries can be challenging in many real-world applications). This can prevent sensor nodes from performing demanding computational tasks.
- ⋄
- Low memory capabilities: negatively affect the reliability, efficiency, and functioning of WSNs.
- ⋄
- Security issues: data confidentiality may be compromised since securing WSNs is a challenging task due to their energy, memory, and computation constraints.
- ⋄
- Constrained transmission range: a limited transmission range of sensor nodes can cause serious problems within large-scale environments and areas with barriers that may interfere with wireless communication (e.g., walls, high buildings, etc.).
- ⋄
- Narrow bandwidth: degrades the communication speed in WSN-based applications.
- ⋄
- Limited sensing capabilities: due to the use of inexpensive hardware components, sensor nodes may struggle to accurately sense their surrounding environment since external factors are transduced into a measured value.
1.2. Sensor Fusion in Wireless Sensor Networks
1.3. Our Contribution
1.4. Paper Organization
- Section 2 (Related Work) – in this section, we provide a list of the most recent and best-cited papers dealing with how to suppress incorrect sensor readings in sensor networks.
- Section 3 (Theoretical Background) – this section is divided into three subsections and focuses on the theoretical background of the topic. Specifically, we introduce the applied graph model (RGGs), the model of incorrect sensor readings, the used stopping criterion, and the examined algorithms.
- Section 4 (Applied Research Methodology and Metrics) – introduces the applied research methodology and the metrics used to evaluate the performance of the examined algorithms.
- Section 5 (Experiments and Discussion) – consists of the experimental results obtained using MATLAB 2018b, along with a discussion of observable phenomena.
2. Related Work
3. Theoretical Background
- Random Geometric Graphs (SubSection 3.1) – in this subsection, we introduce the used mathematical model to model WSNs (RGGs).
- Insight into Distributed Consensus Gossip-based Sensor Fusion in Wireless Sensor Networks (SubSection 3.2) – this subsection provides the model of incorrect sensor readings, insight into distributed consensus gossip sensor fusion, and the applied stopping criterion.
- Examined Distributed Consensus Gossip Algorithms (SubSection 3.3) – here, we introduce five algorithms chosen for evaluation in this paper.
3.1. Random Geometric Graphs
3.2. Insight into Distributed Consensus Gossip-based Sensor Fusion in Wireless Sensor Networks
3.3. Examined Distributed Consensus Gossip Algorithms
4. Applied Research Methodology and Metrics
- ⋄
- P = 10−1
- ⋄
- P = 10−2
- ⋄
- P = 10−3
- ⋄
- P = 10−4
- ⋄
- = 1
- ⋄
- = 5
- ⋄
- = 0.1 (later referred to as BG 1)
- ⋄
- = 0.5 (later referred to as BG 2)
- ⋄
- = 0.9 (later referred to as BG 3)
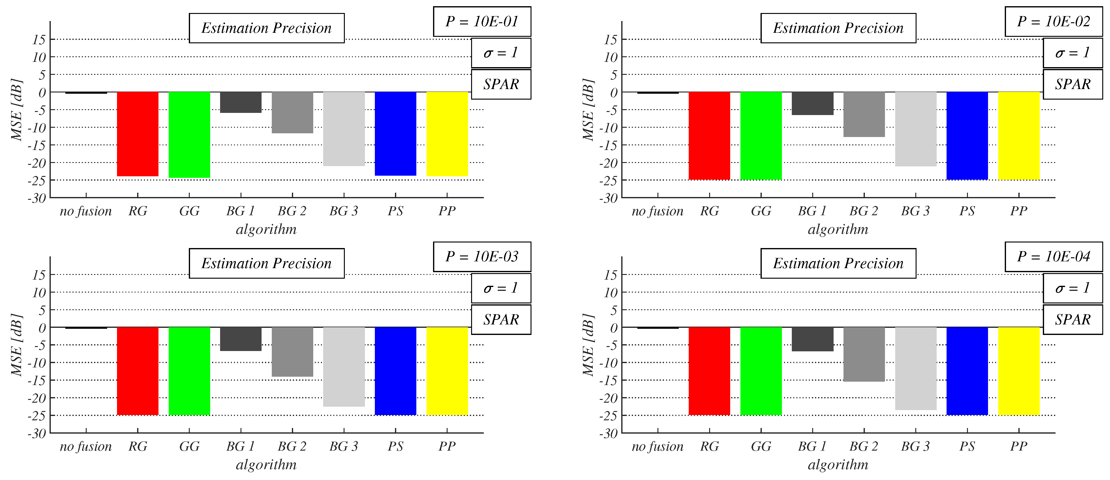
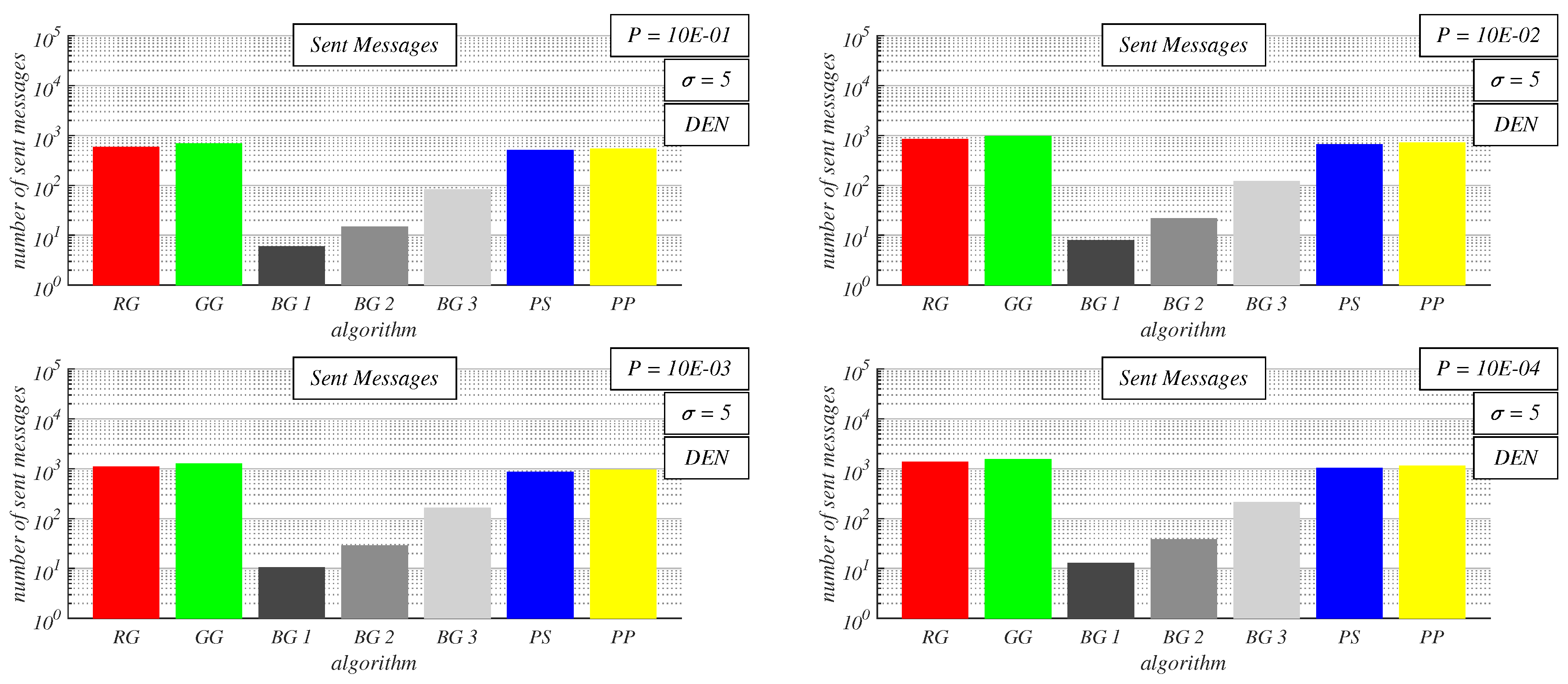
5. Experiments and Discussion
6. Conclusions
Author Contributions
Funding
Institutional Review Board Statement
Informed Consent Statement
Data Availability Statement
Acknowledgments
Conflicts of Interest
Abbreviations
| RG | Randomized Gossip algorithm |
| GG | Geographic Gossip algorithm |
| BG | Broadcast Gossip algorithm |
| PS | Push-Sum protocol |
| PP | Push-Pull protocol |
| WSN | Wireless Sensor Network |
| RGG | Random Geometric Graph |
| IoT | Internet of Things |
| MSE | Mean Square Error |
| IID | Independent and Identically Distributed |
| DEN | Densely connected Random Geometric Graphs |
| SPAR | Sparsely connected Random Geometric Graphs |
| BG 1 | Broadcast Gossip algorithm with = 0.1 |
| BG 2 | Broadcast Gossip algorithm with = 0.5 |
| BG 3 | Broadcast Gossip algorithm with = 0.9 |
| Zigbee | Zonal Intercommunication Global-standard |
| BLE | Bluetooth Low Energy |
| LoRa | Long Range |
| IEEE | Institute of Electrical and Electronics Engineers |
| UAV | Unmanned Aerial Vehicle |
References
- Jamshed, M.A.; Ali, K.; Abbasi, Q.H.; Imran, M.A.; Ur-Rehman, M. Challenges, applications, and future of wireless sensors in Internet of Things: A review. IEEE Sensors Journal 2022, 22, 5482–5494. [Google Scholar] [CrossRef]
- Ouni, R.; Saleem, K. Framework for sustainable wireless sensor network based environmental monitoring. Sustainability 2022, 14, 8356. [Google Scholar] [CrossRef]
- Ahmad, R.; Wazirali, R.; Abu-Ain, T. Machine learning for wireless sensor networks security: An overview of challenges and issues. Sensors 2022, 22, 4730. [Google Scholar] [CrossRef]
- Nakas, C.; Kandris, D.; Visvardis, G. Energy efficient routing in wireless sensor networks: A comprehensive survey. Algorithms 2020, 13, 72. [Google Scholar] [CrossRef]
- Behera, T.M.; Samal, U.C.; Mohapatra, S.K.; Khan, M.S.; Appasani, B.; Bizon, N.; Thounthong, P. Energy-efficient routing protocols for wireless sensor networks: Architectures, strategies, and performance. Electronics 2022, 11, 2282. [Google Scholar] [CrossRef]
- Chen, Shengbo, et al. Indoor temperature monitoring using wireless sensor networks: a SMAC application in smart cities. Sustainable Cities and Society 2020, 61, 102333. [Google Scholar] [CrossRef]
- Vidaña-Vila, E.; Navarro, J.; Borda-Fortuny, C.; Stowell, D.; Alsina-Pagès, R.M. Low-cost distributed acoustic sensor network for real-time urban sound monitoring. Electronics 2020, 9, 2119. [Google Scholar] [CrossRef]
- Metia, S.; Nguyen, H.A.; Ha, Q.P. IoT-enabled wireless sensor networks for air pollution monitoring with extended fractional-order Kalman filtering. Sensors 2021, 21, 5313. [Google Scholar] [CrossRef]
- Mabrouki, J.; Azrour, M.; Dhiba, D.; Farhaoui, Y.; El Hajjaji, S. IoT-based data logger for weather monitoring using arduino-based wireless sensor networks with remote graphical application and alerts. Big Data Mining and Analytics 2021, 4, 25–32. [Google Scholar] [CrossRef]
- Aminian, M.; Naji, H.R. A hospital healthcare monitoring system using wireless sensor networks. J. Health Med. Inform 2013, 4, 121. [Google Scholar] [CrossRef]
- Nourildean, S.W.; Hassib, M.D.; Mohammed, Y.A. Internet of things based wireless sensor network: a review. Indones. J. Electr. Eng. Comput. Sci 2022, 27, 246–261. [Google Scholar] [CrossRef]
- Ragnoli, M.; Leoni, A.; Barile, G.; Ferri, G.; Stornelli, V. LoRa-Based Wireless Sensors Network for Rockfall and Landslide Monitoring: A Case Study in Pantelleria Island with Portable LoRaWAN Access. J. Low Power Electron. Appl. 2022, 12, 47. [Google Scholar] [CrossRef]
- Labib, M.I.; ElGazzar, M.; Ghalwash, A.; AbdulKader, S.N. An efficient networking solution for extending and controlling wireless sensor networks using low-energy technologies. PeerJ Computer Science 2021, 7, e780. [Google Scholar] [CrossRef] [PubMed]
- Suji Prasad, S.J. , et al. An efficient LoRa-based smart agriculture management and monitoring system using wireless sensor networks. International Journal of Ambient Energy 2022, 43, 5447–5450. [Google Scholar] [CrossRef]
- Akbar, M.S.; Hussain, Z.; Sheng, M.; Shankaran, R. Wireless body area sensor networks: Survey of mac and routing protocols for patient monitoring under IEEE 802.15.4 and IEEE 802.15.6. Sensors 2022, 22, 8279. [Google Scholar] [CrossRef]
- Malik, N.N.; Alosaimi, W.; Uddin, M.I.; Alouffi, B.; Alyami, H. Wireless sensor network applications in healthcare and precision agriculture. Journal of Healthcare Engineering 2020, 1, 8836613. [Google Scholar] [CrossRef]
- Huanan, Z.; Suping, X.; Jiannan, W. Security and application of wireless sensor network. Procedia Computer Science 2021, 183, 486–492. [Google Scholar] [CrossRef]
- Ullo, S.L.; Sinha, G.R. Advances in smart environment monitoring systems using IoT and sensors. Sensors 2020, 20, 3113. [Google Scholar] [CrossRef]
- Majid, M.; Habib, S.; Javed, A.R.; Rizwan, M.; Srivastava, G.; Gadekallu, T.R.; Lin, J.C.W. Applications of wireless sensor networks and internet of things frameworks in the industry revolution 4.0: A systematic literature review. Sensors 2022, 22, 2087. [Google Scholar] [CrossRef] [PubMed]
- Dampage, U.; Bandaranayake, L.; Wanasinghe, R.; Kottahachchi, K.; Jayasanka, B. Forest fire detection system using wireless sensor networks and machine learning. Scientific reports 2022, 12, 46. [Google Scholar] [CrossRef]
- Arshad, Jehangir, et al. Deployment of wireless sensor network and iot platform to implement an intelligent animal monitoring system. Sustainability 2022, 14, 6249. [Google Scholar] [CrossRef]
- Ragnoli, M.; Barile, G.; Leoni, A.; Ferri, G.; Stornelli, V. An autonomous low-power LoRa-based flood-monitoring system. Journal of Low Power Electronics and Applications 2020, 10, 15. [Google Scholar] [CrossRef]
- Abdollahi, A.; Rejeb, K.; Rejeb, A.; Mostafa, M.M.; Zailani, S. Wireless sensor networks in agriculture: Insights from bibliometric analysis. Sustainability 2021, 13, 12011. [Google Scholar] [CrossRef]
- Haque, M.E.; Asikuzzaman, M.; Khan, I.U.; Ra, I.H.; Hossain, M.S.; Shah, S.B.H. Comparative study of IoT-based topology maintenance protocol in a wireless sensor network for structural health monitoring. Remote sensing 2020, 12, 2358. [Google Scholar] [CrossRef]
- Ezeigweneme, C.A.; Nwasike, C.N.; Adekoya, O.O.; Biu, P.W.; Gidiagba, J.O. Wireless communication in electro-mechanical systems: investigating the rise and implications of cordless interfaces for system enhancement. Engineering Science and Technology Journal 2024, 5, 21–42. [Google Scholar] [CrossRef]
- Sungheetha, A.; Sharma, R. Real time monitoring and fire detection using internet of things and cloud based drones. Journal of Soft Computing Paradigm 2020, 2, 168–174. [Google Scholar] [CrossRef]
- Amutha, J.; Sharma, S.; Nagar, J. WSN strategies based on sensors, deployment, sensing models, coverage and energy efficiency: Review, approaches and open issues. Wireless Personal Communications 2020, 111, 1089–1115. [Google Scholar] [CrossRef]
- Sigrist, L.; Ahmed, R.; Gomez, A.; Thiele, L. Harvesting-aware optimal communication scheme for infrastructure-less sensing. ACM Transactions on Internet of Things 2020, 1, 1–26. [Google Scholar] [CrossRef]
- Alghamdi, T.A. Energy efficient protocol in wireless sensor network: optimized cluster head selection model. Telecommunication Systems 2020, 74, 331–345. [Google Scholar] [CrossRef]
- Yun, W.K.; Yoo, S.J. Q-learning-based data-aggregation-aware energy-efficient routing protocol for wireless sensor networks. IEEE Access 2021, 9, 10737–10750. [Google Scholar] [CrossRef]
- Sachan, S.; Sharma, R.; Sehgal, A. Energy efficient scheme for better connectivity in sustainable mobile wireless sensor networks. Sustainable Computing: Informatics and Systems 2021, 30, 100504. [Google Scholar] [CrossRef]
- Landaluce, H.; Arjona, L.; Perallos, A.; Falcone, F.; Angulo, I.; Muralter, F. A review of IoT sensing applications and challenges using RFID and wireless sensor networks. Sensors 2020, 20, 2495. [Google Scholar] [CrossRef] [PubMed]
- Dobrescu, R.; Popescu, D.; Nicolae, M.; Mocanu, S. Hybrid wireless sensor network for homecare monitoring of chronic patients. International journal of biology and biomedical engineering 2009, 3, 19–26. [Google Scholar]
- Lata, S; , Mehfuz, S. ; Urooj, S.; Alrowais, F. Fuzzy clustering algorithm for enhancing reliability and network lifetime of wireless sensor networks. IEEE Access 2020, 8, 66013–66024. [Google Scholar] [CrossRef]
- Ahmad, R.; Wazirali, R.; Abu-Ain, T. Machine learning for wireless sensor networks security: An overview of challenges and issues. Sensors 2022, 22, 4730. [Google Scholar] [CrossRef] [PubMed]
- Chamam, A.; Pierre, S. On the planning of wireless sensor networks: Energy-efficient clustering under the joint routing and coverage constraint. IEEE Transactions on Mobile Computing 2009, 8, 1077–1086. [Google Scholar] [CrossRef]
- Buratti, C.; Conti, A.; Dardari, D.; Verdone, R. An overview on wireless sensor networks technology and evolution. Sensors 2009, 9, 6869–6896. [Google Scholar] [CrossRef] [PubMed]
- Izadi, D.; Abawajy, J.H.; Ghanavati, S.; Herawan, T. A data fusion method in wireless sensor networks. Sensors 2015, 15, 2964–297. [Google Scholar] [CrossRef] [PubMed]
- Bissadu, K.D.; Hossain, G.; Velagala, L.P. Identifying Sensors Data Integrity Threats of Smart Agriculture: A Collaborative Filtering Approach. Applied Engineering in Agriculture 2024, 40, 565–575. [Google Scholar] [CrossRef]
- Bonnet, P.; Gehrke, J.; Seshadri, P. Towards sensor database systems. Lecture Notes in Computer Science 2001, 1987, 3–14. [Google Scholar]
- Pirayesh, H.; Zeng, H. Jamming attacks and anti-jamming strategies in wireless networks: A comprehensive survey. IEEE communications surveys 2022, 24, 767–809. [Google Scholar] [CrossRef]
- Kavousi-Fard, A.; Su, W.; Jin, T. A machine-learning-based cyber attack detection model for wireless sensor networks in microgrids. IEEE Transactions on Industrial Informatics 2020, 17, 650–658. [Google Scholar] [CrossRef]
- Krishnamurthi, R; , Kumar, A. ; Gopinathan, D.; Nayyar, A.; Qureshi, B. An overview of IoT sensor data processing, fusion, and analysis techniques. Sensors 2020, 20, 6076. [Google Scholar] [CrossRef] [PubMed]
- Yeong, D.J.; Velasco-Hernandez, G.; Barry, J.; Walsh, J. Sensor and sensor fusion technology in autonomous vehicles: A review. Sensors 2021, 21, 2140. [Google Scholar] [CrossRef]
- Wei, Y.; Wu, D.; Terpenny, J. Robust incipient fault detection of complex systems using data fusion. IEEE Transactions on Instrumentation and Measurement 2020, 69, 9526–9534. [Google Scholar] [CrossRef]
- Kong, L.; Peng, X.; Chen, Y.; Wang, P.; Xu, M. Multi-sensor measurement and data fusion technology for manufacturing process monitoring: a literature review. International journal of extreme manufacturing 2020, 2, 022001. [Google Scholar] [CrossRef]
- Li, D.; Wang, Y.; Wang, J.; Wang, C.; Duan, Y. Recent advances in sensor fault diagnosis: A review. Sensors and Actuators A: Physical 2020, 309, 111990. [Google Scholar] [CrossRef]
- Saeedi, I.D.I.; Al-Qurabat, A.K.M. A systematic review of data aggregation techniques in wireless sensor networks. Journal of Physics: Conference Series 2021, 1818, 012194. [Google Scholar]
- Xiao, L.; Boyd, S.; Lall, S. A scheme for robust distributed sensor fusion based on average consensus. In Proceedings of the IPSN 2005. Fourth International Symposium on Information Processing in Sensor Networks, Boise, ID, USA, 15-15 April 2005; p. 63. [Google Scholar]
- Shrimali, B.; Patel, H.B. Blockchain state-of-the-art: architecture, use cases, consensus, challenges and opportunities. Journal of King Saud University-Computer and Information Sciences 2022, 34, 6793–6807. [Google Scholar] [CrossRef]
- Mostefaoui, A.; Raynal, M. Leader-based consensus. Parallel Processing Letters 2001, 11, 95–107. [Google Scholar] [CrossRef]
- Merezeanu, D.; Nicolae, M. Consensus control of discrete-time multi-agent systems. Univ. Politeh. Buchar. Ser. A 2017, 79, 167–174. [Google Scholar]
- Stamatescu, G.; Stamatescu, I.; Popescu, D. Consensus-based data aggregation for wireless sensor networks. Journal of Control Engineering and Applied Informatics 2017, 19, 43–50. [Google Scholar]
- Dragana, C.; Mihai, V.; Stamatescu, G.; Popescu, D. In-network stochastic consensus for WSN surveillance applications. In Proceedings of the 9th International Conference on Electronics, Computers and Artificial Intelligence, ECAI 2017, Targoviste, Romania, 29 June 2017-01 July 2017; p. 1. [Google Scholar]
- Lizzio, F.F.; Capello, E.; Guglieri, G. A review of consensus-based multi-agent UAV implementations. Journal of Intelligent and Robotic Systems 2022, 106, 43. [Google Scholar] [CrossRef]
- Sharma, A.B.; Golubchik, L.; Govindan, R. Sensor faults: Detection methods and prevalence in real-world datasets. ACM Transactions on Sensor Networks (TOSN) 2010, 6, 1–39. [Google Scholar] [CrossRef]
- Clegg, M.; Marzullo, K. Predicting physical processes in the presence of faulty sensor readings. Proceedings of IEEE 27th International Symposium on Fault Tolerant Computing, Seattle, WA, USA, 24-27 June 1997; pp. 373–378. [Google Scholar]
- Elnahrawy, E.; Nath, B. Cleaning and querying noisy sensors. In Proceedings of the 2nd ACM international conference on Wireless sensor networks and applications, New York, NY, USA, 19 September 2003; p. 78. [Google Scholar]
- Chen, Y.; Jiang, S.; Yang, J.; Song, K.; Wang, Q. Grey bootstrap method for data validation and dynamic uncertainty estimation of self-validating multifunctional sensors. Chemometrics and Intelligent Laboratory Systems 2015, 146, 63–76. [Google Scholar] [CrossRef]
- Yu, Y.; Li, H. Virtual in-situ calibration method in building systems. Automation in Construction 2015, 59, 59–67. [Google Scholar] [CrossRef]
- Solomakhina, N.; Hubauer, T.; Lamparter, S.; Roshchin, M.; Grimm, S. Extending statistical data quality improvement with explicit domain models. Proceedings of 2014 12th IEEE International Conference on Industrial Informatics (INDIN), Porto Alegre, Brazil, 27-30 July 2014; pp. 720–725. [Google Scholar]
- Scheffel, R.M.; Fröhlich, A.A. Increasing sensor reliability through confidence attribution. Journal of the Brazilian Computer Society 2019, 25, 13. [Google Scholar] [CrossRef]
- Sinha, A.; Das, D. SNRepair: systematically addressing sensor faults and self-calibration in IoT networks. IEEE Sensors Journal 2023, 23, 14915–14922. [Google Scholar] [CrossRef]
- Ayanoglu, M.B.; Uysal, I. ML Approach to Improve the Costs and Reliability of a Wireless Sensor Network. Sensors 2023, 23, 4303. [Google Scholar] [CrossRef] [PubMed]
- Kenyeres, M.; Kenyeres, J. Average Consensus with Perron Matrix for Alleviating Inaccurate Sensor Readings Caused by Gaussian Noise in Wireless Sensor Networks. Lecture Notes in Networks and Systems 2021, 230, 391–405. [Google Scholar]
- Kenyeres, M.; Kenyeres, J. Using Metropolis-Hastings Algorithm with Stopping Criterion to Suppress Incorrect Sensor Data. Lecture Notes in Networks and Systems.
- Fraser, B.; Coyle, A.; Hunjet, R.; Szabo, C. An Analytic Latency Model for a Next-Hop Data-Ferrying Swarm on Random Geometric Graphs. IEEE Access 2020, 8, 48929–48942. [Google Scholar] [CrossRef]
- Gulzar, M.M.; Rizvi, S.T.H.; Javed, M.Y.; Munir, U.; Asif, H. Multi-agent cooperative control consensus: A comparative review. Electronics 2018, 7, 22. [Google Scholar] [CrossRef]
- Bonato, A.; Lozier, M.; Mitsche, D.; Pérez-Giménez, X.; Prałat, P. The domination number of on-line social networks and random geometric graphs. In Theory and Applications of Models of Computation: 12th Annual Conference, TAMC 2015, Location of Conference, Singapore, 18-; pp. 150–163. 20 May.
- Kenniche, H.; Ravelomananana, V. Random geometric graphs as model of wireless sensor networks. Proceedings of 2010 The 2nd International Conference on Computer and Automation Engineering (ICCAE), Singapur, 26-28 February 2010; pp. 103–107. [Google Scholar]
- Meng, J.; Li, H.; Han, Z. Sparse event detection in wireless sensor networks using compressive sensing. Proceedings of 2009 43rd Annual Conference on Information Sciences and Systems, Baltimore, MD, USA, 18-20 March 2009; pp. 181–185. [Google Scholar]
- Banos, O.; Damas, M.; Pomares, H.; Rojas, I. On the use of sensor fusion to reduce the impact of rotational and additive noise in human activity recognition. Sensors 2012, 12, 8039–8054. [Google Scholar] [CrossRef]
- Kenyeres, M.; Kenyeres, J. Comparative Study of Distributed Consensus Gossip Algorithms for Network Size Estimation in Multi-Agent Systems. Future Internet 2021, 13, 134. [Google Scholar] [CrossRef]
- Gutierrez-Gutierrez, J.; Zarraga-Rodriguez, M.; Insausti, X. Analysis of Known Linear Distributed Average Consensus Algorithms on Cycles and Paths. Sensors 2018, 18, 968. [Google Scholar] [CrossRef] [PubMed]
- Dimakis, A.A.G.; Sarwate, A.D.; Wainwright, M.J.; Scaglione, A. Geographic gossip: Efficient averaging for sensor networks. IEEE Trans. Signal Process. 2008, 56, 1205–1216. [Google Scholar] [CrossRef]
- Aysal, T.C.; Yildiz, M.E.; Sarwate, A.D.; Scaglione, A. Broadcast gossip algorithms for consensus. IEEE Trans. Signal Process. 2009, 57, 2748–2761. [Google Scholar] [CrossRef]
- Kempe, D.; Dobra, A.; Gehrke, J. Gossip-based computation of aggregate information. In Proceedings of the 44th Annual IEEE Symposium on Foundations of Computer Science, FOCS 2003, Cambridge, MA, USA, 11–14 October 2003; pp. 482–491. [Google Scholar]
- Jelasity, M.; Montresor, A.; Babaoglu, O. Gossip-based aggregation in large dynamic networks. ACM Transactions on Computer Systems (TOCS). 2005, 23, 219–252. [Google Scholar] [CrossRef]
- Skorpil, V.; Stastny, J. Back-propagation and k-means algorithms comparison. In Proceedings of the 2006 8th International Conference on Signal Processing, ICSP 2006, Guilin, China, 16–20 November 2006; pp. 374–378. [Google Scholar]
- Lee, C.S.; Michelusi, N.; Scutari, G. Finite rate distributed weight-balancing and average consensus over digraphs. IEEE Transactions on Automatic Control 2020, 66, 4530–4545. [Google Scholar] [CrossRef]


















Disclaimer/Publisher’s Note: The statements, opinions and data contained in all publications are solely those of the individual author(s) and contributor(s) and not of MDPI and/or the editor(s). MDPI and/or the editor(s) disclaim responsibility for any injury to people or property resulting from any ideas, methods, instructions or products referred to in the content. |
© 2024 by the authors. Licensee MDPI, Basel, Switzerland. This article is an open access article distributed under the terms and conditions of the Creative Commons Attribution (CC BY) license (http://creativecommons.org/licenses/by/4.0/).