Submitted:
25 November 2024
Posted:
27 November 2024
You are already at the latest version
Abstract
Keywords:
1. Introduction
1.1. About Indigenous Peoples
1.2. About Entrepreneurship and Self-Employment
1.3. About Indigenous Entrepreneurship
1.4. About the Sex of Entrepreneurs
1.5. Intersectionality and Entrepreneurship
2. Materials and Methods
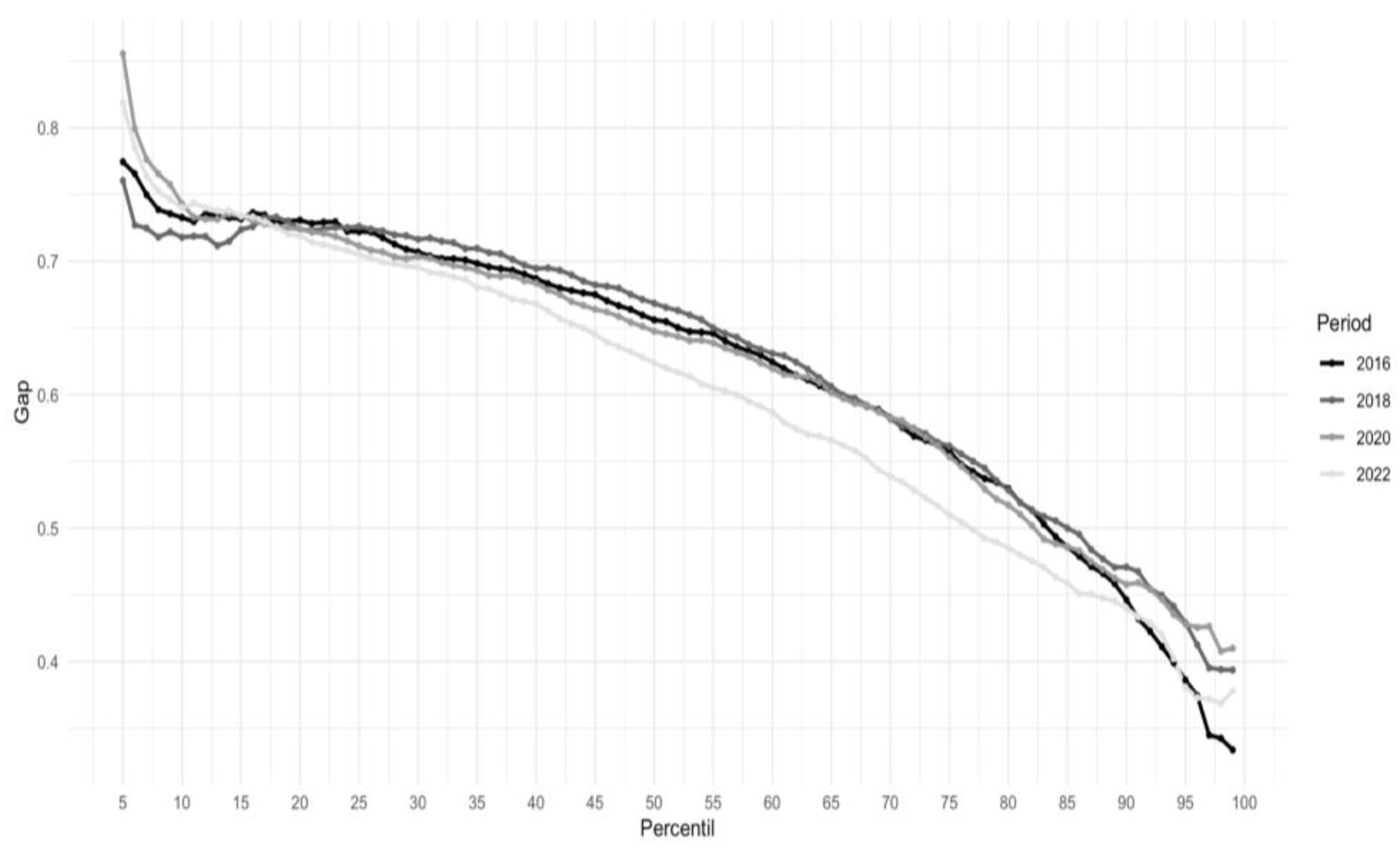
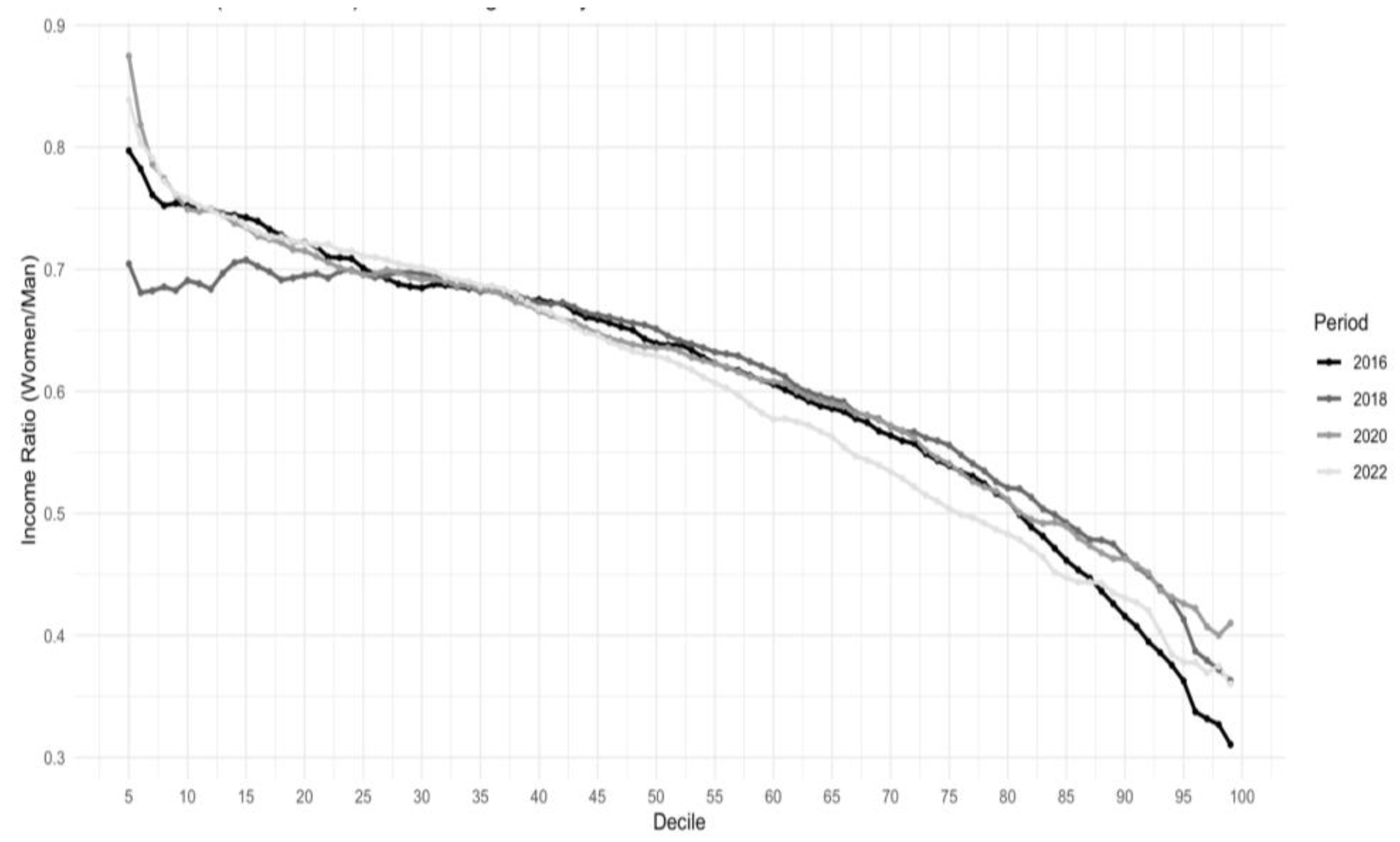
3.1. Descriptive Results




3.2. ANOVA and Tukey Results
4. Discussion
Author Contributions
Funding
Data Availability Statement
Conflicts of Interest
Appendix A
Prueba Tukey HSD
Appendix B
| Year | Number of “0” values | % of total observations | Indigenous | No Indigenous | Men | Women |
| 2016 | 509 | 2.83% | 160 | 349 | 170 | 339 |
| 2018 | 503 | 2.65% | 179 | 324 | 173 | 330 |
| 2020 | 747 | 3.03% | 279 | 468 | 224 | 523 |
| 2022 | 571 | 2.39% | 189 | 382 | 177 | 394 |
References
- Cobo, J.R.M. Estudio del problema de la discriminación contra las personas indígenas. Naciones Unidas; 1986.
- Psacharopoulos, G.; Patrinos, H. Indigenous people and poverty in Latin America. Finance Dev. 1994, 31, 41–41. [Google Scholar]
- Hall, G.; Patrinos, H.A. Indigenous people, poverty and human development in Latin America. 1st ed. New York (NY): Palgrave Macmillan; 2006.
- CONEVAL. Medición de la pobreza 2022 [Internet]. 2022 [cited 2024 Nov 22]. Available from: https://www.coneval.org.mx/Medicion/MP/Documents/MMP_2022/Pobreza_multidimensional_2022.pdf.
- Moradi, M.; Imanipour, N.; Arasti, Z.; Mohammadkazemi, R. Poverty and entrepreneurship: A systematic review of poverty-related issues discussed in entrepreneurship literature. World Rev Entrep Manag Sustain Dev. 2020, 16, 125–152. [Google Scholar] [CrossRef]
- Yunus, M. Poverty alleviation: Is economics any help? Lessons from the Grameen Bank experience. J Int Aff. 1998, 52, 47–65. [Google Scholar]
- Álvarez, S.A.; Barney, J.B. Entrepreneurship opportunities and poverty alleviation. Entrep Theory Pract. 2014, 38, 159–184. [Google Scholar] [CrossRef]
- Henry, E.Y.; Dana, L.P.; Murphy, P.J. Telling their own stories: Māori entrepreneurship in the mainstream screen industry. Entrep Reg Dev. 2018, 30, 118–145. [Google Scholar] [CrossRef]
- Hill, R.; Pert, P.L.; Davies, J.; Walsh, F.J.; Falco-Mammone, F. Indigenous land management in Australia: Extent, scope, diversity, barriers and success factors. Cairns: CSIRO Ecosystem Sciences; 2013.
- Dana, L.P. Indigenous entrepreneurship: An emerging field of research. Int J Bus Globalisation. 2015, 14, 158–169. [Google Scholar] [CrossRef]
- Stavenhagen, R. Los derechos de los indígenas: Algunos problemas conceptuales. Nueva Antropol. 1992, 13, 83–99. [Google Scholar]
- Bonfil, B. El concepto de indio en América: Una categoría de la situación colonial. Plural ADALDC. 2020, 3, 1–15. [Google Scholar]
- Wilson, C. Decolonizing methodologies: Research and indigenous peoples. Zed Books; 2001.
- Trepte, S.; Loy, L.S. Social identity theory and self-categorization theory. In: Rössler P, Hoffner CA, van Zoonen L, editors. The International Encyclopedia of Media Effects. Wiley-Blackwell; 2017. p. 1-13. [CrossRef]
- Schumpeter, J.A. The theory of economic development. Leipzig: Duncker & Humblot; 1911.
- Baumol, W.J. Entrepreneurship: Productive, unproductive, and destructive. J Bus Venturing. 1996, 11, 3–22. [Google Scholar] [CrossRef]
- Lucas, D.S.; Fuller, C.S. Entrepreneurship: Productive, unproductive, and destructive—Relative to what? J Bus Venturing Insights. 2017, 7, 45–49. [Google Scholar] [CrossRef]
- Elert, N.; Henrekson, M. Evasive entrepreneurship. Small Bus Econ. 2016, 47, 95–113. [Google Scholar] [CrossRef]
- Hechavarria, D.M.; Reynolds, P.D. Cultural norms & business start-ups: The impact of national values on opportunity and necessity entrepreneurs. Int Entrep Manag J. 2009, 5, 417–437. [Google Scholar] [CrossRef]
- Ramírez-Urquidy, M. Economic downturns and regional entrepreneurship dynamics in Mexico: Trends and policy implications. Probl Desarro. 2022, 53, 115–157. [Google Scholar] [CrossRef]
- Hindle, K.; Moroz, P. Indigenous entrepreneurship as a research field: Developing a definitional framework from the emerging canon. Int Entrep Manag J. 2010, 6, 357–385. [Google Scholar] [CrossRef]
- Tovar, Y.S.; Ángel, M.; García, M.; Flores, J.E.M. Diferencias en los determinantes del éxito en el emprendimiento en México, una perspectiva de género. Rev Venez Gerenc. 2021, 26, 880–902. [Google Scholar] [CrossRef]
- Sorzano, M.; Flores, Y.; Lugo, C. Capacitación en emprendimiento para el fomento del empoderamiento económico de mujeres privadas de la libertad en la frontera norte de México. In: Santiago CK, Sánchez CI, editors. Desigualdad regional y empobrecimiento: Gestión de los territorios con inclusión social. Vol. 6. UNAM-AMECIDER; 2023. p. 243-256.
- García, C. Emprendimiento caficultor en migrantes de la región huasteca del centro de México. Equidad Desarro. 2018, 1, 119–147. [Google Scholar]
- Paz, I.M.J. Emprendimiento rural como estrategia de desarrollo territorial: Una revisión documental. Econ CUC. 2022, 43, 257–280. [Google Scholar] [CrossRef]
- Greer, M.J.; Greene, P.G. Feminist theory and the study of entrepreneurship. In: Butler JE, editor. New perspectives on women entrepreneurs. Information Age Publishing; 2003. p. 1-24.
- Minniti, M.; Arenius, P. Women in entrepreneurship. In: The entrepreneurial advantage of nations: First annual global entrepreneurship symposium. Vol. 29. United Nations; 2003. p. 1-28.
- Lerner, M.; Brush, C.; Hisrich, R. Israeli women entrepreneurs: An examination of factors affecting performance. J Bus Venturing. 1997, 12, 315–339. [Google Scholar] [CrossRef]
- Alene, E.T. Determinants that influence the performance of women entrepreneurs in micro and small enterprises in Ethiopia. J Innov Entrep. 2020, 9, 1–20. [Google Scholar] [CrossRef]
- Jha, P.; Alam, M.M. Antecedents of women entrepreneurs’ performance: An empirical perspective. Manag Decis. 2022, 60, 86–122. [Google Scholar] [CrossRef]
- Morsy, H. Access to finance–Mind the gender gap. Q Rev Econ Finance. 2020, 78, 12–21. [Google Scholar] [CrossRef]
- Chaudhuri, K.; Sasidharan, S.; Raj, R.S.N. Gender, small firm ownership, and credit access: Some insights from India. Small Bus Econ. 2020, 54, 1165–1181. [Google Scholar] [CrossRef]
- Patrick, C.; Stephens, H.; Weinstein, A. Where are all the self-employed women? Push and pull factors influencing female labor market decisions. Small Bus Econ. 2016, 46, 365–390. [Google Scholar] [CrossRef]
- Goffee, R.; Scase, R. Women in charge: The experiences of female entrepreneurs. Routledge; 2015. [CrossRef]
- Duncan, S. Theorising differences in patriarchy. Environ Plan A. 1994, 26, 1177–1194. [Google Scholar] [CrossRef]
- Liñán, F.; Jaén, I.; Martín, D. Does entrepreneurship fit her? Women entrepreneurs, gender-role orientation, and entrepreneurial culture. Small Bus Econ. 2022, 58, 1051–1071. [Google Scholar] [CrossRef]
- Shahriar, A.Z.M. Gender differences in entrepreneurial propensity: Evidence from matrilineal and patriarchal societies. J Bus Venturing. 2018, 33, 762–779. [Google Scholar] [CrossRef]
- Bui, H.T.; Kuan, A.; Chu, T.T. Female entrepreneurship in patriarchal society: Motivation and challenges. J Small Bus Entrep. 2018, 30, 325–343. [Google Scholar] [CrossRef]
- Baughn, C.C.; Chua, B.L.; Neupert, K.E. The normative context for women’s participation in entrepreneurship: A multicountry study. Entrep Theory Pract. 2006, 30, 687–708. [Google Scholar] [CrossRef]
- Crenshaw, K. Demarginalizing the intersection of race and sex: A black feminist critique of antidiscrimination doctrine, feminist theory, and antiracist politics. Univ Chic Leg Forum. 1989, 1989, 139–167. [Google Scholar]
- Saatcioglu, B.; Corus, C. Poverty and intersectionality: A multidimensional look into the lives of the impoverished. J Macromarketing. 2014, 34, 122–132. [Google Scholar] [CrossRef]
- aylor, Y.; Hines, S.; Casey, M.E., editors. Theorizing intersectionality and sexuality. Palgrave Macmillan; 2010. [CrossRef]
- Shields, S.A. Gender: An intersectionality perspective. Sex Roles. 2008, 59, 301–311. [Google Scholar] [CrossRef]
- Bastia, T. Intersectionality, migration and development. Prog Dev Stud. 2014, 14, 237–248. [Google Scholar] [CrossRef]
- Essers, C.; Benschop, Y.; Doorewaard, H. Female ethnicity: Understanding Muslim immigrant businesswomen in the Netherlands. Gend Work Organ. 2010, 17, 320–339. [Google Scholar] [CrossRef]
- Knight, M. Race-ing, classing and gendering racialized women’s participation in entrepreneurship. Gend Work Organ. 2016, 23, 310–327. [Google Scholar] [CrossRef]
- Forson, C. Contextualising migrant black business women’s work-life balance experiences. Int J Entrep Behav Res. 2013, 19, 460–477. [Google Scholar] [CrossRef]
- Dy, A.M.; MacNeil, H. “Doing inequality, doing intersectionality”: Intersectionality as threshold concept for studying inequalities in entrepreneurial activity. Int J Entrep Behav Res. Forthcoming.
- Arceo-Gómez, E.O.; Campos-Vázquez, R.M. Evolución de la brecha salarial de género en México. Trimest Econ. 2014, 81, 619–653. [Google Scholar] [CrossRef]
- Lumley, T.; Diehr, P.; Emerson, S.; Chen, L. The importance of the normality assumption in large public health data sets. Annu Rev Public Health. 2002, 23, 151–169. [Google Scholar] [CrossRef]
- Bollinger, C.R.; Hirsch, B.T. Match bias from earnings imputation in the Current Population Survey: The case of imperfect matching. J Labor Econ. 2006, 24, 483–519. [Google Scholar] [CrossRef]
| Subject | Year | Mean | Growth (%) | Standard Deviation | n | % |
| All observations | 2016 | 10206 | 41391 | 17969 | ||
| 2018 | 11387 | 11.6% | 20602 | 18984 | ||
| 2020 | 10751 | -5.6% | 18956 | 24666 | ||
| 2022 | 16530 | 53.8% | 29359 | 23847 | ||
| Men | 2016 | 14407 | 54634 | 7688 | 43.8% | |
| 2018 | 16189 | 12.4% | 24868 | 8217 | 43.4% | |
| 2020 | 15240 | -5.9% | 23633 | 10572 | 42.9% | |
| 2022 | 22850 | 49.9% | 35693 | 10386 | 43.6% | |
| Women | 2016 | 7065 | 27192 | 10281 | 57.2% | |
| 2018 | 7723 | 9.3% | 15665 | 10767 | 56.7% | |
| 2020 | 7384 | -4.4% | 13545 | 14094 | 57.1% | |
| 2022 | 11654 | 57.8% | 22126 | 13461 | 56.4% | |
| No indigenous | 2016 | 10281 | 11119 | 10281 | 63.3% | |
| 2018 | 10767 | 13.6% | 12626 | 10767 | 61.8% | |
| 2020 | 14094 | -7.1% | 11720 | 14094 | 62.2% | |
| 2022 | 13461 | 54.4% | 18115 | 13461 | 65% | |
| Indigenous | 2016 | 8628 | 37864 | 6587 | 36.7% | |
| 2018 | 9386 | 8.8% | 18503 | 7260 | 38.2% | |
| 2020 | 9141 | -2.6% | 16201 | 9324 | 37.8% | |
| 2022 | 13588 | 48.6% | 25305 | 8349 | 35% |
| Indigenous-No Indigenous (Americans dollars) | ||||
| Year | Diff. | Lower Limit | Upper Limit | P-Adj |
| 2016 | -121.39 | -182.34 | -60.43 | 0.0000952 |
| 2018 | -161.11 | -190.39 | -131.83 | 0 |
| 2020 | -129.6 | -153.51 | -105.77 | 0 |
| 2022 | -231.05 | -270.1 | -192 | 0 |
| Women-Man (Americans dollars) | ||||
| Year | Diff. | Lower Limit | Upper Limit | P-Adj |
| 2016 | -352.83 | -412.20 | -293.47 | 0 |
| 2018 | -417.06 | -445.78 | -388.34 | 0 |
| 2020 | -388.75 | -412.13 | -365.36 | 0 |
| 2022 | -565.36 | -602.93 | -527.79 | 0 |
| 2016 | 2018 | 2020 | 2022 | |||||
| Diff. | P-Adj | Diff. | P-Adj | Diff. | P-Adj | Diff. | P-Adj | |
| Indigenous:Man-No indigenous: Man | -148.6 | 0.01 | -185.86 | 0 | -165.77 | 0 | -281.90 | 0 |
| Indigenous:Women-Indigenous:Man | -306.9 | 0 | -379.16 | 0 | -334.34 | 0 | -489.4 | 0 |
| No indigenous:Women-Indigenous:Man | -230.98 | 0. | -254.74 | 0 | -256.12 | 0 | -324.34 | 0 |
| Indigenous:Women-No indigenous:Man | -455.59 | 0 | -565.03 | 0 | -500.11 | 0 | -771.36 | 0 |
| No indigenous:Women-No indigenous:Man | -379.64 | 0 | -440.6 | 0 | -421.89 | 0 | -606.24 | 0 |
| No indigenous:Women-Indigenous:Women | 75.95 | 0.243 | 124.42 | 0 | 78.21 | 0 | 165.12 | 0 |
Disclaimer/Publisher’s Note: The statements, opinions and data contained in all publications are solely those of the individual author(s) and contributor(s) and not of MDPI and/or the editor(s). MDPI and/or the editor(s) disclaim responsibility for any injury to people or property resulting from any ideas, methods, instructions or products referred to in the content. |
© 2024 by the authors. Licensee MDPI, Basel, Switzerland. This article is an open access article distributed under the terms and conditions of the Creative Commons Attribution (CC BY) license (http://creativecommons.org/licenses/by/4.0/).
