Preprint
Article

This version is not peer-reviewed.

Effectiveness Of A SARS-COV-2 Vaccination Schedule Including A Booster Dose in Patients with Systemic Lupus Erythematosus: Data from A Prospective Multicenter Study

Natalia Sarzi Sartori  *
,
Ketty Lysie Libardi Lira Machado,Samira Tatiyama Miyamoto,Flavia Zon Prettiti,Maria da Penha Gomes Gouvea
,
Yasmin Gurtler Pinheiro Oliveira
,
Venezia Gonçalves da Silva,Filipe Faé,Ana Paula Neves Burian
,
Karina Rosemarie Lallemand Tapia
,
Anna Carolina Simões Moulin,Luiza Lorenzoni Grillo,Paula dos Santos Athayde,Helena da Silva Corona
,
Sabrina de Souza Ramos,Flávia Maria Matos Melo Campos Peixoto,Priscila Dias Cardoso Ribeiro,Vanessa de Oliveira Magalhães
,
Mariana Freitas de Aguiar
,
Erika Biegelmeyer
,
Cristiane Kayser
,
Alexander Wagner Silva De Souza
,
Charlles Heldan Moura Castro,Juliana Bühring,Sandra Lúcia Euzébio Ribeiro,Sérgio Henrique Oliveira dos Santos,Clara Pinheiro Martins
,
Jonathan Wilian da Silva Rodrigues,Marcos Mavignier Souza Dias,Bruna Guimarães Dutra,Camila Maria Paiva França Telles,Samuel Elias Basualto Dias,Andrese Aline Gasparin,Vanessa Hax
,
Rodrigo Poubel Vieira Rezende,Katia Lino Baptista,Rodrigo Cutrim Gaudio,Ana Karla Guedes Melo,Valéria Bezerra da Silva,Vitor Alves Cruz,Joselia Rego,Rejane Maria Rodrigues de Abreu Vieira
,
Adah Sophia Rodrigues Vieira
,
Adriana Maria Kakehasi
,
Anna Carolina Faria Moreira Gomes Tavares,Victória Dornelas Paz Carvalho,Renata Henriques de Azevedo,Valderilio Feijó Azevedo
,
Olindo Assis Martins Filho,Vanessa Peruhype-Magalhães,Valeria Valim,Emilia Inoue Sato
,
Andrea Teixeira-Carvalho,Viviane Angellina de Souza
,
Gilda Aparecida Ferreira,Edgard Torres Reis-Neto
,
Marcelo de Medeiros Pinheiro,Ricardo Machado Xavier
,
Gecilmara Salviato Pileggi
,
Odirlei André Monticielo  *
A peer-reviewed article of this preprint also exists.

Submitted:

21 November 2024

Posted:

22 November 2024

You are already at the latest version

Abstract
Objective: To evaluate the humoral response to and effectiveness of SARS-CoV-2 vaccination in patients with systemic lupus erythematosus in a multicenter cohort design. Methods: Data for this analysis were obtained from the Study of Safety, Effectiveness and Duration of Immunity after Vaccination against SARS-CoV-2 in Patients with Immune-Mediated Inflammatory Diseases (SAFER), a prospective, multicenter, phase IV, real-world study conducted across different regions of Brazil. Patients aged >18 years with systemic lupus erythematosus (SLE) who received any one of the SARS-CoV-2 vaccines approved by the Brazilian health regulatory agency (CoronaVac [Inactivated SARS-CoV-2 Vaccine], ChAdOx-1 [AstraZeneca], or BNT162b2 [Pfizer-BioNTech]) were included. Immunogenicity was assessed in pre- and post-vaccination blood samples, and patients were monitored in person and remotely for incident COVID-19 cases and their severity. Results: Two hundred and thirty-five patients with SLE who had completed their vaccination schedules (2 doses + booster dose) were included in this study. Most patients were female (89.3%) and had low disease activity or were in remission (72.4%); the majority were also on some form of immunosuppressive therapy (58.1%). One hundred and sixteen patients received 2 doses of CoronaVac followed by 1 dose of BNT162b2 (Pfizer-BioNTech) vaccine, 87 received 2 doses of ChAdOx1-S (AstraZeneca) followed by 1 dose of BNT162b2 (Pfizer-BioNTech) vaccine, and 32 received 3 doses of BNT162b2 (Pfizer-BioNTech) vaccine. Twenty-eight incident cases of COVID-19, none meeting severity criteria, were recorded in patients with respiratory symptoms after the second dose of a SARS-CoV-2 vaccine. Regarding immunogenicity, an increase in seroconversion rate was observed, with no difference between vaccination schedules, reaching 97.57% seropositivity after a booster dose. The increases in geometric mean IgG titers differed between the different vaccination schedules, being lowest for the CoronaVac-based schedule, but titers were similar after administration of a booster dose. Conclusion: In patients with SLE, SARS-CoV-2 vaccines are immunogenic and effective in reducing severe disease and hospitalization. Complete vaccination schedules including a booster dose were associated with induction of a greater humoral response, especially in patients initially immunized with an inactivated virus vaccine schedule and those with a suboptimal humoral response.
Keywords: 
;  ;  ;  ;  

1. Introduction

Systemic lupus erythematosus (SLE) is associated with abnormalities in the humoral and cellular immune responses. These changes, associated both with the immunosuppressive therapy needed to control disease manifestations and with active disease itself, are predisposing factors for greater susceptibility to infections and progression to serious outcomes of such infections [1,2]. Several previous studies have shown that infections are the leading cause of both early and late mortality in patients with SLE [3].
Individuals with SLE have an approximately sixfold risk of serious infections compared to the general population [4]. The emergence of COVID-19, the infection caused by the SARS-CoV-2 virus, has been a cause of great concern for this vulnerable population. Among the immune-mediated rheumatic diseases, SLE is associated with some of the most severe manifestations of SARS-CoV-2 infection and some of the highest hospitalization rates for COVID-19 [5,6]. Data from previous studies during pre-vaccination waves suggest hospitalization rates of around 20%, with one reporting a rate of over 50% [7,8].
Immunization is one of the most effective tools for preventing infections as a public health strategy, contributing to a reduced incidence of serious cases of infectious disease and, consequently, reducing interpersonal spread [9]. Patients with immune-mediated rheumatic diseases exhibit different degrees of immunosuppression depending on their therapeutic regimen, their level of disease activity and the manifestations of their disease [10]. Live-attenuated vaccines are generally contraindicated in this patient population due to the risk of the small amount of live virus particles present inducing uncontrolled infection, but they may be considered in selected patients with a lower degree of immunosuppression and a favorable risk-benefit ratio. Conversely, inactivated vaccines are recommended for use in immunosuppressed patients, preferably those whose disease is in remission or before starting immunosuppressive therapy [11,12].
Data on vaccine response in SLE are controversial. The immune response to vaccines and their real-world effectiveness are affected by several host factors. Therefore, immunogenicity is hypothesized to be lower in patients with SLE. A previous meta-analysis which evaluated the efficacy of the influenza vaccine demonstrated lower immunogenicity in individuals with SLE when compared to healthy controls, although the level of immunity achieved was still considered protective [13].
Concerns regarding vaccine efficacy in these patients were amplified for SARS-CoV-2 vaccines, which underwent a fast-tracked emergency marketing authorization process and were developed on a wide range of different platforms. Given these uncertainties, the objective of this study was to evaluate the magnitude of the immune response and the real-world effectiveness of these vaccines in individuals with SLE.

2. Materials and Methods

2.1. Study Design and Population

This study evaluated patients with SLE included in the multicenter Study of Safety, Effectiveness and Duration of Immunity after Vaccination against SARS-CoV-2 in Patients with Immune-Mediated Inflammatory Diseases (SAFER), a Brazilian observational, prospective, phase IV cohort study started in June 2021 and completed in March 2024. Patients over 18 years of age who met the 2019 American College of Rheumatology/European Alliance of Rheumatology Associations (ACR/EULAR) classification criteria for SLE [14] and who had received any SARS-CoV-2 vaccine as recommended in the Brazilian National Immunization Plan were included. The exclusion criteria were history of previous adverse vaccine reaction, pregnancy, and immunosuppression for any other reason (HIV, organ transplantation, malignancy).
The included patients received a complete vaccination schedule (2-dose regimen plus booster) against SARS-CoV-2 with vaccines approved by the Brazilian Health Surveillance Agency, namely CoronaVac (Inactivated SARS-CoV-2 Vaccine), ChAdOx-1 (AstraZeneca), and BNT162b2 (Pfizer-BioNTech). All vaccine doses were administered as indicated by a medical professional under supervision.
Patients were evaluated at different time points before and after vaccine exposure (baseline, T1; before the 2nd and 3rd dose, T2 and T3 respectively; four weeks after the 3rd dose, T4; three months after the 3rd dose, T5; six months after the 3rd dose, T6; and 12 months after the 3rd dose, T7), with in-person and telephone monitoring conducted in the intervals between in-person visits [Figure 1].
Figure 1.
Figure 1.
Preprints 140491 g001

2.2. Variables of Interest

Demographic data (age, sex, and race), comorbidities, and history of COVID-19 infection prior to vaccination were recorded at the baseline visit. Disease activity score (SLEDAI-2K)—categorized into remission (SLEDAI-2K = 0), low activity (SLEDAI-2K 1–5), or moderate to high activity (SLEDAI 2K > 6)—and degree of immunosuppression were recorded at baseline and subsequent assessments. The degree of immunosuppression was assessed following the recommendations of the Brazilian Society of Rheumatology, consistent with the risk of infectious events conferred by each medication [box 1] [15].
Box 1.
Box 1.
Preprints 140491 g002
Biological specimens were collected at all visits to measure the serologic response to vaccination, assessed by chemiluminescence methods. The Elecsys® Anti-Sars-Cov-2 S immunoassay (Roche), validated by the World Health Organization, was used [16].
Surveillance of symptomatic COVID-19 cases was carried out remotely, periodically (every 2 weeks) or reactively. Patients who developed symptoms consistent with COVID-19 infection for up to 12 months after their last vaccine dose were advised to undergo nasal swab collection for PCR testing; the outcomes were monitored by the study team.
The date of vaccine administration and type of vaccine administered were recorded and categorized by the vaccine platform of the first 2 doses. For cases of COVID-19, clinical presentation, date of symptom onset, and duration and severity of infection were assessed.
Data from all participating centers were entered into a unified electronic platform (REDCap—Research Electronic Data Capture, https://redcap.reumatologia.org.br/).

2.3. Statistical Analysis

Analyses were performed using Stata (v.17) and R (v.4.2.0) software. For all tests, statistical significance was accepted at the 5% level and 95% confidence intervals were calculated.
We performed a descriptive analysis of demographic data, comorbidities, disease activity score, and degree of immunosuppression (using the definition recommended by the Brazilian Society of Rheumatology), stratified by vaccine platform. For categorical variables, proportions between groups were compared using the chi-square and Fisher’s exact tests. For continuous variables, proportions between groups were expressed as means and standard deviations or medians and interquartile ranges as appropriate. We analyzed these variables using ANOVA and the Wilcoxon test (2 groups) or Kruskal–Wallis test (>2 groups), respectively.
Humoral immunogenicity data were evaluated as the seroconversion rate by vaccine group, according to collection time and treatment type. Within each group, we compared the proportions of seroconversion as well as the geometric means of antibody titers. For analysis of IgG titers, data were normalized by log10-transformation. Analysis of normalized IgG titers over time was then performed using the nonparametric Wilcoxon/Mann-Whitney test with Bonferroni correction. A multivariate (linear) regression model for IgG titers was adjusted for disease activity and degree of immunosuppression.

2.4. Ethical Aspects

The study was submitted to the National Research Ethics Commission for approval (CAAE 43479221.0.1001.5505) and to the Research Ethics Committees of all participating centers and was conducted in accordance with the applicable guidelines and standards that regulate research on human subjects. All participants signed an Informed Consent Form (ICF) after being informed of the objective and protocol of the study.
All biosafety guidelines and Good Clinical Laboratory Practices were followed.

3. Results

The present study included a total of 445 patients with SLE, of whom 235 patients over 18 years of age completed a 3-dose COVID-19 vaccination schedule [Figure 2].
Figure 2.
Figure 2.
Preprints 140491 g003
Of these, 210 (89.3%) were women and 25 (10.6%) were men, with an average age of 38 years. Regarding ethnicity/skin color, 109 (46.3%) self-identified as brown and 87 (37%) as white. The median duration of SLE follow-up was 10 years (interquartile range 5-16 years). Approximately 39.1% of individuals had no other comorbidities. Among reported comorbidities, 27.2% had hypertension and 11.4% had obesity; others included hypothyroidism, osteonecrosis, and dyslipidemia. According to the SLEDAI-2K score, most patients (72.4%) were in remission or had low disease activity. Regarding the severity of immunosuppression, 135 (58.1%) had a high degree of immunosuppression and 70 (30.1%) were not immunosuppressed [Table 1]. Concerning pharmacotherapy, 82.5% of patients were on hydroxychloroquine; among immunosuppressants, azathioprine and mycophenolate were equally common (22.98%). Approximately 50% of patients were on oral glucocorticoids, most (48.2%) at doses of up to 5 mg per day [Table 2].
Table 1. Demographic and clinical characteristics at inclusion.
Table 1. Demographic and clinical characteristics at inclusion.
Total N = 235 CoronaVac + BNT162b2
N=116
ChadOx-1+ BNT162b2
N=87
BNT162b2 + BNT162b2
N=32
P
Sex, % 0.54
Female 210 (89.36) 101 (87.07) 79 (90.80) 30 (93.75)
Age, mean (SD) 38.0 (29.0-46.0) 35.5 (28.0-45.0) 40.0 (31.0-47.0) 37.5 (32.0-46.0) 0.095
Skin color (%) 0.30
White 87 (37.02) 51 (43.97) 27 (31.03) 9 (28.13)
Black 33 (14.04) 15 (12.93) 14 (16.09) 4 (12.50)
Brown 109 (46.38) 46 (39.66) 45 (51.72) 18 (56.25)
Disease in years, median (IQR) 10 (5-16) 8 (4-15) 12 (7-18) 7.7 (4-14) 0.006
Smoking, % 15 (6.38) 11 (9.48) 4 (4.60) 0 (0.00) 0.13
No comorbidities, % 92 (39.15) 59 (50.86) 23 (26.44) 10 (31.25) 0.001
Heart disease, % 10 (4.26) 5 (4.31) 2 (2.30) 3 (9.38) 0.22
Diabetes, % 11 (4.68) 6 (5.17) 4 (4.60) 1 (3.13) 1.00
Lung disease, % 7 (2.98) 1 (0.86) 2 (2.30) 4 (12.50) 0.007
Kidney disease, % 4 (1.70) 2 (1.72) 2 (2.30) 0 (0.00) 1.00
Hypertension, % 64 (27.23) 26 (22.41) 29 (33.33) 9 (28.13) 0.22
Obesity, % 27 (11.49) 12 (10.34) 10 (11.49) 5 (15.63) 0.71
Other comorbidities*, % 95 (40.43) 37 (31.90) 44 (50.57) 14 (43.75) 0.025
APS, % 19 (8.09) 11 (9.48) 6 (6.90) 2 (6.25) 0.80
Previous thrombosis, % 32 (13.62) 14 (12.07) 11 (12.64) 7 (21.88) 0.34
Disease activity, % 0.056
Remission 90/225 (40) 45/109 (41.28) 30/84 (35.71) 15/32 (46.88)
Low activity 73/225 (32.44) 28/109 (25.69) 37/84 (44.05) 8/32 (25.00)
Moderate to high activity 62/225 (27.56) 36/109 (33.03) 17/84 (20.24) 9/32 (28.13)
Degree of Immunosuppression, % 0.16
No immunosuppression 70/232 (30.17) 40/115 (34.78) 25/86 (29.07) 5/31 (16.13)
Low grade 27/232 (11.64) 9/115 (7.83) 12/86 (13.95) 6/31 (19.35)
High grade 135/232 (58.19) 66/115 (57.39) 49/86 (56.98) 20/31 (64.52)
Values are expressed as % (N) for categorical variables and mean ± standard deviation (SD) or median (interquartile range [IQR]) for continuous variables; APS, antiphospholipid syndrome; * hypothyroidism, osteonecrosis, dyslipidemia, osteoporosis, fibromyalgia.
Table 2. Medications on inclusion.
Table 2. Medications on inclusion.
Total
N=235
CoronaVac + BNT162b2
N=116
ChadOx-1
+ BNT162b2
N=87
BNT162b2
+ BNT162b2
N=32
P
Azathioprine, % 54/235 (22.98) 27/116 (23.28) 17/87 (19.54) 10/32 (31.25) 0.40
Oral corticosteroid, % 112/235 (47.66) 60/116 (51.72) 38/87 (43.68) 14/32 (43.75) 0.47
Oral corticosteroid dose, % 0.007
Up to 5 mg/day 54/112 (48.21) 24/60 (40.00) 25/38 (65.79) 5/14 (35.71)
≥6 a 10 mg/day 27/112 (24.11) 14/60 (23.33) 7/38 (18.42) 6/14 (42.86)
≥11 a 20 mg/day 19/112 (16.96) 10/60 (16.67) 6/38 (15.79) 3/14 (21.43)
>20 mg/day 12/112 (10.71) 12/60 (20.00) 0/38 (0.00) 0/14 (0.00)
Hydroxychloroquine, % 194/235 (82.55) 98/116 (84.48) 68/87 (78.16) 28/32 (87.50) 0.37
Mycophenolate, % 54/235 (22.98) 22/116 (18.97) 25/87 (28.74) 7/32 (21.88) 0.26
Methotrexate, % 32/235 (13.62) 12/116 (10.34) 14/87 (16.09) 6/32 (18.75) 0.33
Methotrexate dose, % 0.88
≤20 mg/week 23/32 (71.88) 8/12 (66.67) 10/14 (71.43) 5/6 (83.33)
>20 mg/week 9/32 (28.13) 4/12 (33.33) 4/14 (28.57) 1/6 (16.67)
Rituximab (regular use), % 7/235 (2.98) 2/116 (1.72) 5/87 (5.75) 0/32 (0.00) 0.17
Medications in use at inclusion according to the vaccination schedule.
Regarding vaccine platforms and immunization schedules, 116 patients received 2 doses of CoronaVac followed by 1 dose of BNT162b2 (Pfizer-BioNTech) vaccine, 87 received 2 doses of ChAdOx1-S (AstraZeneca) followed by 1 dose of BNT162b2 (Pfizer-BioNTech) vaccine, and 32 received 3 doses of BNT162b2 (Pfizer-BioNTech) vaccine.
Considering effectiveness data, within the 120-day follow-up period after the booster dose of vaccine, there were 28 incident cases of COVID-19 in patients with respiratory symptoms diagnosed more than 15 days after their 2nd dose of SARS-CoV-2 vaccine. Four cases of COVID-19 were diagnosed 15 days after the first dose of vaccine. No difference in the rate of incident cases was found between the different vaccination schedules [Table 3].
Among patients diagnosed with COVID-19, the majority presented with mild symptoms of fatigue, weakness, changes in smell and taste, cough, and shortness of breath not meeting criteria for severity. Of the 28 infected patients, only 4 sought medical attention; all were seen at urgent care facilities and did not require hospitalization.
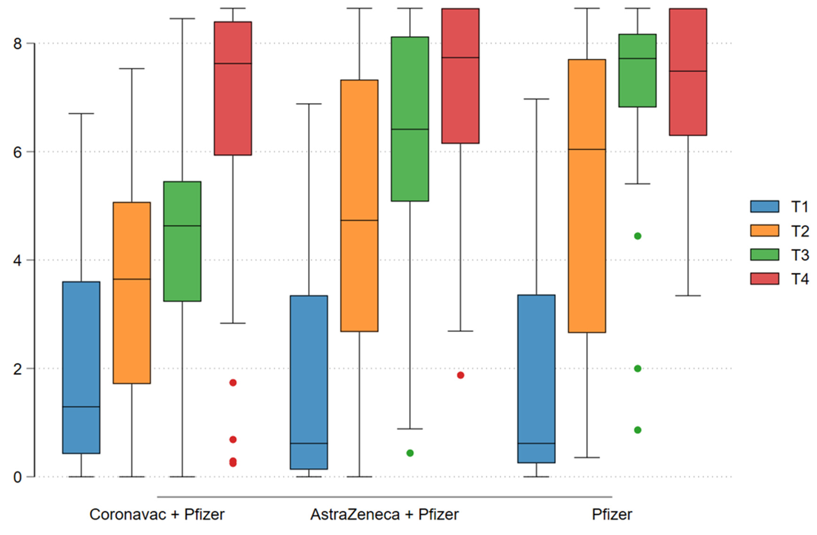
Analysis of the immunogenicity data showed an increase in seroconversion rate after the vaccine doses were administered, with no difference between vaccination schedules. Seropositivity was 39.47% at enrollment and 97.57% after the booster dose. Regarding IgG antibody titers (log-transformed), increases in geometric mean IgG titers were seen after each dose in the different vaccination schedules (log 1.86 at enrollment to log 7.06 after the third dose). Antibody titers after the second dose varied between the different vaccine platforms: log 4.37 for CoronaVac, log 6.30 for ChAdOx-1, and log 7.09 for BNT162b2 (p < 0.001), with a statistically significant difference demonstrating superiority of schedules containing ChAdOx-1 (AstraZeneca) and BNT162b2 (Pfizer-BioNTech) over CoronaVac (p < 0.001). However, after the third dose, IgG titers was similar across all vaccination schedules (p = 0.68) [Table 4]. [Graph 1].
Graph 1: T1: Enrollment; T2: After 1st dose; T3: After 2nd dose; T4: After 3rd dose. Assessment of immunogenicity throughout the vaccination period based on IgG antibody titers with each vaccination schedule.
Graph 1. T1: Enrollment; T2: After 1st dose; T3: After 2nd dose; T4: After 3rd dose. Assessment of immunogenicity throughout the vaccination period based on IgG antibody titers with each vaccination schedule
Graph 1. T1: Enrollment; T2: After 1st dose; T3: After 2nd dose; T4: After 3rd dose. Assessment of immunogenicity throughout the vaccination period based on IgG antibody titers with each vaccination schedule
Preprints 140491 g004
In the multivariate linear regression model, considering immunogenicity (IgG titer after the 3rd dose of the vaccine) as the outcome variable, there was no association between disease activity or degree of immunosuppression with anti-SARS-CoV-2 IgG titers after the 3rd (booster) dose of vaccine in patients with SLE (p > 0.05%) [Table 5].

4. Discussion

The present study demonstrated high immunogenicity against SARS-CoV-2 in patients with SLE after a complete vaccination schedule (2 doses + 1 booster dose), regardless of the vaccine platform administered. This is one of the first studies to evaluate the response to different immunization schemes—CoronaVac (Inactivated SARS-CoV-2 Vaccine), ChAdOx-1 (AstraZeneca), and BNT162b2 (Pfizer-BioNTech)—with an added booster dose in this patient population. Among the 235 patients with SLE included, an increase in antibody titers was observed after vaccination, with a seropositivity rate of 97.57% following a complete vaccination schedule, demonstrating greater induction of humoral immunity when compared to a one- or two-dose homologous vaccination schedule. Furthermore, this prospective longitudinal study was also able to demonstrate the medium-term real-life effectiveness of COVID-19 vaccines in patients with an immune-mediated rheumatic disease.
Vaccination is a public health strategy to reduce mortality from infectious diseases at the population level. Before a vaccine can be recommended, its efficacy and effectiveness must be assessed; however, measurement of these parameters in many population subgroups, including patients with immune-mediated rheumatic diseases, is severely limited by their exclusion from phase III trials [17]. Studies evaluating the incidence of hospitalization due to COVID-19 in patients with SLE demonstrated a risk approximately three times higher compared to the general population [18]. Our prospective cohort found 28 incident cases of SARS-CoV-2 infection; however, all were mild respiratory tract infections, with no hospitalizations or deaths, demonstrating a change from the pre-vaccination scenario in which a higher risk of unfavorable outcomes and mortality was observed in patients with SLE [19]. This was also reported in cohort studies comparing the outcomes of vaccinated and unvaccinated SLE patients relative to the general population [20]. Therefore, our findings corroborate the existing data on the effectiveness of SARS-CoV-2 vaccines and provide further evidence of the importance of vaccination in patients with SLE.
The immunogenicity of SARS-CoV-2 vaccines in patients with immune-mediated diseases has been the object of several studies since the first stages of development of the different COVID-19 vaccine platforms. However, the recommendation for vaccination of patients with SLE was initially empirical [21]. A recent meta-analysis demonstrated a seropositivity rate of 81.1% in SLE patients who were vaccinated against COVID-19, a lower rate than that found in our study, in which seropositivity rose from 39.47% at enrollment to 97.57% after completion of any vaccination schedule. This apparent superiority is mainly attributable to the studies included in the meta-analysis, which mostly evaluated outcomes after 2 doses of a SARS-CoV-2 vaccine; only two studies involving a booster-dose schedule were included [22].
On comparing the different vaccine platforms, we observed a smaller increase in IgG titers in patients who received the CoronaVac vaccine after the first and second doses. This finding is in line with previous studies of live inactivated SARS-CoV-2 vaccine platforms, in which a seroconversion rate of 70.4% was found in patients with immune-mediated diseases (versus 95.5% in the control group), as well as a lower increase in IgG titers [23].
The degree of immunosuppression in patients with SLE and their degree of disease activity are factors that may be related to blunting of the vaccine response in these individuals. However, we found no such association after multivariate analysis. This is in contrast with data from previous studies in which immunosuppression was found to have an impact on on the vaccine response, especially in patients receiving mycophenolic acid, glucocorticoids, and rituximab [24,25]. On analysis of these findings, we believe that the lack of difference in vaccine response in relation to the degree of immunosuppression is attributable to the fact that our study analyzed patients after they had received a booster dose, unlike previous studies which conducted outcome assessment after a two-dose schedule. The significant increase in humoral immunity in patients with an otherwise suboptimal response due to their degree of immunosuppression was also observed in another cohort that evaluated the effect of a booster dose in patients with immune-mediated disease who had received a homologous vaccination schedule with an inactivated-virus or adenovirus-vector vaccine [26].
Our study has some limitations inherent to observational cohort designs. Although cases of COVID-19 infection were recorded before the vaccination period, some asymptomatic cases may have occurred during the intervals between vaccine doses, thus contributing to an increase in seropositivity in these patients. In an attempt to mitigate this effect, participants were contacted periodically by telephone so they would not underestimate mild symptoms and thus fail to undergo confirmatory diagnostic testing.
The strengths of this study are several, and include the number of participants enrolled, the length of follow-up and the real-world setting; as it was conducted following the recommendations of health agencies during the pandemic, it provided an accurate picture of the response to a boosted vaccination schedule as was recommended at the time for high-risk subgroups.
In conclusion, this study demonstrated the effectiveness of SARS-CoV-2 vaccines in patients with systemic lupus erythematosus receiving immunosuppressive therapy, confirming the importance of a complete (2-dose) vaccination schedule followed by a booster dose, which was associated with a significant increase in humoral immunity—especially for patients who received initial vaccination with a live inactivated vaccine.

Funding

This research was sponsored by the Brazilian Ministry of Health Department of Science and Technology (DECIT/MS).

Acknowledgments

The authors thank the Network of Observational Studies for monitoring the effectiveness and safety of vaccination against COVID-19 in Brazil and the natural history of the disease in children and teenagers, affiliated with the Oswaldo Cruz Foundation (Fiocruz), and the Department of Medical Affairs, Clinical Trials, and Postmarketing Surveillance at Bio-Manguinhos/Fiocruz for their technical and operational support. This research was sponsored by the Brazilian Ministry of Health Department of Science and Technology (DECIT/MS).

References

  1. Danza A, Ruiz-Irastorza G. Infection risk in systemic lupus erythematosus patients: susceptibility factors and preventive strategies. Lupus. 2013;22(12): 1286-94. Review.
  2. Rao M, Mikdashi J. A Framework to Overcome Challenges in the Management of Infections in Patients with Systemic Lupus Erythematosus. Open Access Rheumatol. 2023 Jul 27;15:125-137. [CrossRef] [PubMed]
  3. Urowitz MB, Bookman AA, Koehler BE, Gordon DA, Smythe HA, Ogryzlo MA. The bimodal mortality pattern of systemic lupus erythematosus. Am J Med. 1976;60(2):221-5.
  4. Herrinton LJ, Liu L, Goldfien R, Michaels MA, Tran TN. Risk of Serious Infection for Patients with Systemic Lupus Erythematosus Starting Glucocorticoids with or without Antimalarials. J Rheumatol. 2016 Aug;43(8):1503-9. [CrossRef] [PubMed]
  5. Fu XL, Qian Y, Jin XH, Yu HR, Du L, Wu H, Chen HL, Shi YQ. COVID-19 in patients with systemic lupus erythematosus: A systematic review. Lupus. 2022 May;31(6):684-696. [CrossRef] [PubMed]
  6. Gianfrancesco M, Hyrich KL, Al- Adely S, et al. Characteristics associated with hospitalisation for COVID-19 in people with rheumatic disease: data from the COVID-19 global rheumatology alliance physician- reported registry. Ann Rheum Dis 2020;79:859–66. —-> Fernandez-Ruiz R, Masson M, Kim MY, Myers B, Haberman RH, Castillo R, Scher JU, Guttmann A, Carlucci PM, Deonaraine KK, Golpanian M, Robins K, Chang M, Belmont HM, Buyon JP, Blazer AD, Saxena A, Izmirly PM; NYU WARCOV Investigators.
  7. Marques CDL, Kakehasi AM, Pinheiro MM, Mota LMH, Albuquerque CP, Silva CR, Santos GPJ, Reis-Neto ET, Matos P, Devide G, Dantas A, Giorgi RD, Marinho AO, Valadares LDA, Melo AKG, Ribeiro FM, Ferreira GA, Santos FPS, Ribeiro SLE, Andrade NPB, Yazbek MA, Souza VA, Paiva ES, Azevedo VF, Freitas ABSB, Provenza JR, Toledo RA, Fontenelle S, Carneiro S, Xavier R, Pileggi GCS, Reis APMG. High levels of immunosuppression are related to unfavourable outcomes in hospitalised patients with rheumatic diseases and COVID-19: first results of ReumaCoV Brasil registry. RMD Open. 2021 Jan;7(1):e001461. [CrossRef] [PubMed]
  8. Leveraging the United States Epicenter to Provide Insights on COVID-19 in Patients With Systemic Lupus Erythematosus. Arthritis Rheumatol. 2020 Dec;72(12):1971-1980. [CrossRef] [PubMed]
  9. Luz KR da, Souza DCC de, Ciconelli RM. Vacinação em pacientes imunossuprimidos e com doenças reumatológicas auto-imunes. Rev Bras Reumatol [Internet]. 2007 Mar;47(2):106–13. Available from. [CrossRef]
  10. Avery, RK. Vaccination of the immunosuppressed adult patient with rheumatologic disease. Rheum Dis Clin North Am. 1999 Aug;25(3):567-84, viii. [CrossRef] [PubMed]
  11. Furer V, Rondaan C, Heijstek MW, et al.2019 update of EULAR recommendations for vaccination in adult patients with autoimmune inflammatory rheumatic diseases Annals of the Rheumatic Diseases 2020;79:39-52.
  12. Garg M, Mufti N, Palmore TN, Hasni SA. Recommendations and barriers to vaccination in systemic lupus erythematosus. Autoimmun Rev. 2018 Oct;17(10):990-1001. [CrossRef] [PubMed]
  13. Liao Z, Tang H, Xu X, Liang Y, Xiong Y, et al. (2016) Immunogenicity and Safety of Influenza Vaccination in Systemic Lupus Erythematosus Patients Compared with Healthy Controls: A Meta-Analysis. PLOS ONE 11(2): e0147856. [CrossRef]
  14. Aringer M, Costenbader K, Daikh D, Brinks R, Mosca M, Ramsey-Goldman R, Smolen JS, Wofsy D, Boumpas DT, Kamen DL, Jayne D, Cervera R, Costedoat-Chalumeau N, Diamond B, Gladman DD, Hahn B, Hiepe F, Jacobsen S, Khanna D, Lerstrøm K, Massarotti E, McCune J, Ruiz-Irastorza G, Sanchez-Guerrero J, Schneider M, Urowitz M, Bertsias G, Hoyer BF, Leuchten N, Tani C, Tedeschi SK, Touma Z, Schmajuk G, Anic B, Assan F, Chan TM, Clarke AE, Crow MK, Czirják L, Doria A, Graninger W, Halda-Kiss B, Hasni S, Izmirly PM, Jung M, Kumánovics G, Mariette X, Padjen I, Pego-Reigosa JM, Romero-Diaz J, Rúa-Figueroa Fernández Í, Seror R, Stummvoll GH, Tanaka Y, Tektonidou MG, Vasconcelos C, Vital EM, Wallace DJ, Yavuz S, Meroni PL, Fritzler MJ, Naden R, Dörner T, Johnson SR. 2019 European League Against Rheumatism/American College of Rheumatology Classification Criteria for Systemic Lupus Erythematosus. Arthritis Rheumatol. 2019 Sep;71(9):1400-1412. [CrossRef] [PubMed]
  15. Pileggi, G.S. , et al., Brazilian recommendations on the safety and effectiveness of the yellow fever vaccination in patients with chronic immune-mediated inflammatory diseases. AdvRheumatol, 2019.59(1): p.17.
  16. Jochum S, Kirste I, Hortsch S, Grunert VP, Legault H, Eichenlaub U, Kashlan B, Pajon R. Clinical utility of Elecsys Anti-SARS-CoV-2 S assay in COVID-19 vaccination: An exploratory analysis of the mRNA-1273 phase 1 trial. medRxiv [Preprint]. 2021 Oct 19:2021.10.04.21264521. [CrossRef] [PubMed]
  17. Gianfrancesco M, Hyrich KL, Al-Adely S, Carmona L, Danila MI, Gossec L, Izadi Z, Jacobsohn L, Katz P, Lawson-Tovey S, Mateus EF, Rush S, Schmajuk G, Simard J, Strangfeld A, Trupin L, Wysham KD, Bhana S, Costello W, Grainger R, Hausmann JS, Liew JW, Sirotich E, Sufka P, Wallace ZS, Yazdany J, Machado PM, Robinson PC; COVID-19 Global Rheumatology Alliance. Characteristics associated with hospitalisation for COVID-19 in people with rheumatic disease: data from the COVID-19 Global Rheumatology Alliance physician-reported registry. Ann Rheum Dis. 2020 Jul;79(7):859-866. [CrossRef] [PubMed]
  18. Westra J, Rondaan C, van Assen S, Bijl M. Vaccination of patients with autoimmune inflammatory rheumatic diseases. Nat Rev Rheumatol. 2015 Mar;11(3):135-45. [CrossRef] [PubMed]
  19. Cordtz R, Kristensen S, Dalgaard LPH, Westermann R, Duch K, Lindhardsen J, Torp-Pedersen C, Dreyer L. Incidence of COVID-19 Hospitalisation in Patients with Systemic Lupus Erythematosus: A Nationwide Cohort Study from Denmark. J Clin Med. 2021 Aug 27;10(17):3842. [CrossRef] [PubMed]
  20. Jiang X, Sparks J, Wallace Z, Deng X, Li H, Lu N, Xie D, Wang Y, Zeng C, Lei G, Wei J, Zhang Y. Risk of COVID-19 among unvaccinated and vaccinated patients with systemic lupus erythematosus: a general population study. RMD Open. 2023 Mar;9(1):e002839. [CrossRef] [PubMed]
  21. Bijlsma, JW. EULAR 20 view points on SARS-CoV-2 vaccination in patients with RMDs. Ann Rheum Dis 2021;80:411–2. 20 December.
  22. Tan SYS, Yee AM, Sim JJL, Lim CC. COVID-19 vaccination in systemic lupus erythematosus: a systematic review of its effectiveness, immunogenicity, flares and acceptance. Rheumatology (Oxford). 2023 ;62(5):1757-1772. 2 May. [CrossRef] [PubMed]
  23. Medeiros-Ribeiro, A.C. , Aikawa, N.E., Saad, C.G.S. et al. Immunogenicity and safety of the CoronaVac inactivated vaccine in patients with autoimmune rheumatic diseases: a phase 4 trial. Nat Med 27, 1744–1751 (2021). [CrossRef]
  24. Yuki EFN, Borba EF, Pasoto SG, Seguro LP, Lopes M, Saad CGS, Medeiros-Ribeiro AC, Silva CA, de Andrade DCO, Kupa LVK, Betancourt L, Bertoglio I, Valim J, Hoff C, Formiga FFC, Pedrosa T, Kallas EG, Aikawa NE, Bonfa E. Impact of Distinct Therapies on Antibody Response to SARS-CoV-2 Vaccine in Systemic Lupus Erythematosus. Arthritis Care Res (Hoboken). 2022 Apr;74(4):562-571. [CrossRef] [PubMed]
  25. Izmirly PM, Kim MY, Samanovic M, Fernandez-Ruiz R, Ohana S, Deonaraine KK, Engel AJ, Masson M, Xie X, Cornelius AR, Herati RS, Haberman RH, Scher JU, Guttmann A, Blank RB, Plotz B, Haj-Ali M, Banbury B, Stream S, Hasan G, Ho G, Rackoff P, Blazer AD, Tseng CE, Belmont HM, Saxena A, Mulligan MJ, Clancy RM, Buyon JP. Evaluation of Immune Response and Disease Status in Systemic Lupus Erythematosus Patients Following SARS-CoV-2 Vaccination. Arthritis Rheumatol. 2022 Feb;74(2):284-294. [CrossRef] [PubMed]
  26. Assawasaksakul T, Sathitratanacheewin S, Vichaiwattana P, Wanlapakorn N, Poovorawan Y, Avihingsanon Y, Assawasaksakul N, Kittanamongkolchai W. Immunogenicity of the third and fourth BNT162b2 mRNA COVID-19 boosters and factors associated with immune response in patients with SLE and rheumatoid arthritis. Lupus Sci Med. 2022 Jul;9(1):e000726. [CrossRef] [PubMed]
Table 3. Vaccine effectiveness.
Table 3. Vaccine effectiveness.

COVID-19 infection cases
Total
N=235
CoronaVac + BNT162b2
N=116
ChadOx-1
+ BNT162b2
N=87
BNT162b2
+ BNT162b2
N=32
P
Positive cases of SARS-CoV-2 more than 15 days after the 1st dose, % 4/235 (1.70) 3/116 (2.59) 1/87 (1.15) 0/32 (0.00) 0.80
Positive cases of SARS-CoV-2 more than 15 days after the 2nd dose, % 6/235 (2.55) 5/116 (4.31) 1/87 (1.15) 0/32 (0.00) 0.36
Positive cases of SARS-CoV-2 more than 15 days after the 3rd dose, % 22/235 (9.36) 12/116 (10.34) 8/87 (9.20) 2/32 (6.25) 0.86
Effectiveness: number of cases of SARS-CoV-2 infection after vaccination throughout follow-up.
Table 4. Immunogenicity.
Table 4. Immunogenicity.
Total
N=235
CoronaVac + BNT162b2
N=116
ChadOx-1
+ BNT162b2
N=87
BNT162b2
+ BNT162b2
N=32
P
Serology
Inclusion, % 90/228 (39.47) 47/114 (41.23) 30/84 (35.71) 13/30 (43.33) 0.66
28 days after the 1st dose, % 162/219 (73.97) 79/114 (69.30) 62/78 (79.49) 21/27 (77.78) 0.26
28 days after 2nd dose, % 200/219 (91.32) 98/110 (89.09) 74/79 (93.67) 28/30 (93.33) 0.50
after 3rd dose, % 201/206 (97.57) 99/103 (96.12) 73/74 (98.65) 29/29 (100.00) 0.37
IgG titer (Log10)
Inclusion, Mean (SD) 1.86 (1.89) 2.00 (1.88) 1.70 (1.90) 1.81 (1.94) 0.54
after 1st dose, Mean (SD) 4.10 (2.49) 3.45 (2.04) 4.72 (2.71) 5.11 (2.82) <0.001
after 2nd dose, Mean (SD) 5.44 (2.17) 4.37 (1.80) 6.30 (1.98) 7.09 (1.86) <0.001
after 3rd dose, Mean (SD) 7.06 (1.80) 6.95 (1.95) 7.17 (1.65) 7.17 (1.59) 0.68
Assessment of immunogenicity throughout the vaccination period based on IgG antibody titers and serology in each vaccination schedule. Standard deviation (SD).
Table 5. Multivariate model.
Table 5. Multivariate model.
Multivariate linear regression
Log IgG after 3rd dose Coefficient IC [95%] P
Disease activity
Remission - - - -
Low activity -0.503 -1.624 0.617 0.373
Moderate to high activity -1.060 -2.134 0.013 0.053
Immunosuppression
Without immunosuppression - - - -
Low degree of immunosuppression -1.596 -3.744 0.551 0.143
High degree of immunosuppression -0.692 -1.650 0.266 0.154
Disclaimer/Publisher’s Note: The statements, opinions and data contained in all publications are solely those of the individual author(s) and contributor(s) and not of MDPI and/or the editor(s). MDPI and/or the editor(s) disclaim responsibility for any injury to people or property resulting from any ideas, methods, instructions or products referred to in the content.
Copyright: This open access article is published under a Creative Commons CC BY 4.0 license, which permit the free download, distribution, and reuse, provided that the author and preprint are cited in any reuse.
Prerpints.org logo

Preprints.org is a free preprint server supported by MDPI in Basel, Switzerland.

Subscribe

Disclaimer

Terms of Use

Privacy Policy

Privacy Settings

© 2026 MDPI (Basel, Switzerland) unless otherwise stated