Preprint
Article

This version is not peer-reviewed.

Breed-associated Differences in Differential Gene Expression Following Immunotherapy-Based Treatment of Canine High-Grade Glioma

A peer-reviewed article of this preprint also exists.

Submitted:

20 November 2024

Posted:

21 November 2024

You are already at the latest version

Abstract

Canine high-grade glioma (HGG) is among the deadliest and most treatment-resistant forms of canine cancer. Successful, widespread treatment is challenged by heterogeneity in tumor cells and the tumor microenvironment and tumor evolution following treatment. Immunotherapy is theoretically a strong novel therapy, since HGG-generated immunosuppression is a substantial malignancy mechanism. Immunotherapy has improved survival times overall, but has been associated with extremely poor outcomes in French bulldogs. Given this breed-specific observation, we hypothesized that within the French bulldog breed, there are key transcriptomic differences when compared to other breeds, and that their tumors change differently in response to immunotherapy. Using bulk RNA sequencing, French bulldog tumors were confirmed to differ substantially from boxer and Boston terrier tumors, with only 15.9% overlap in significant differentially expressed genes (DEGs). In upregulated DEGs, the magnitude of changes in expression post-treatment compared to pre-treatment was markedly greater in French bulldogs. Gene set enrichment analysis confirmed that following treatment, French bulldog tumors showed enrichment of key immune-associated pathways previously correlated with poor prognosis. Overall, this study confirmed that French bulldog HGG transcriptomes differ from boxer and Boston terrier transcriptomes, further refining description of the canine glioma transcriptome and providing important information to guide novel therapy development.

Keywords: 
;  ;  ;  

1. Introduction

High-grade glioma (HGG), which develops spontaneously at similar rates in both people and pet dogs, is one of the most complex, treatment resistant cancers [1]. In dogs, glioma represents up to 70% of primary brain tumors, affecting approximately 10 per 100,000 dogs [2,3]. The median age at diagnosis is eight years, and certain breeds are at a higher risk for developing HGG [3,4,5]. Brachycephalic breeds, specifically those belonging to the bulldog phylogenetic clade, develop glioma at higher frequencies than other dog breeds, accounting for over 50% of all glioma diagnoses, especially oligodendroglioma [5]. Although brachycephalic dogs represent most glioma-bearing patients, much of the research on canine glioma has not included brachycephalic breeds proportionate to the breed-associated glioma frequency [1,6,7]. Given that dog breeds such as boxers, Boston terriers, French bulldogs, and English bulldogs, represent the majority of dogs that develop glioma, clade and breed-specific studies investigating glioma are needed to further our understanding of canine glioma [1,6].
In both people and dogs, there are limited treatment options for glioma. Regardless of treatment, complete remission rates are extremely low. Thus, there is an intense effort to develop novel therapies to improve outcomes. One of glioma’s most potent weapons is its hold over the immune system. Glioma is both locally and systemically immunosuppressive, and this feature substantially impacts treatment effectiveness [8]. Immunotherapy-based treatment is theoretically promising, as it involves augmenting or facilitating the host’s immune system to enable anti-tumor immune responses. Various immunotherapy approaches include immune checkpoint inhibitors (ICI), bi-specific antibodies, oncolytic viruses, cancer vaccines, adoptive cell therapy, and allogeneic cell therapy [9]. Many of these are under current investigation to treat HGG.
As pet dogs with HGG are a strong model for human HGG, particularly the common and deadliest form, glioblastoma (GB, they are ideal candidates for preclinical trials to study various novel therapies. The goal of such trials is to not only provide a possible superior treatment option to pet dogs, for which there is currently no gold standard HGG treatment, but also to provide meaningful clinical outcomes to guide novel therapy development for people with GB. Thus, our group studies novel immunotherapy-based treatments for canine HGG.
The focus of our immunotherapy research has been on combining autologous tumor lysate (ATL) with an ICI for the CD200 immune checkpoint. CD200 is an immune checkpoint glycoprotein that is highly expressed in glioma [10]. By binding to CD200 inhibitory receptors (CD200R) on the cell membranes of immune cells, glioma-secreted CD200 suppresses a normal immune response to the tumor [10]. Thus, an immune checkpoint inhibitor (ICI) to block the immunosuppressive effect of CD200 was developed and used in conjunction with ATL therapy in the dogs presented herein, following surgical tumor resection [11]. The CD200 immune checkpoint interacts with many other signaling pathways, including the PD/PD-L1, PI3K-Akt, and Ras-MEK-ERK pathways, but many interactions are yet to be determined [11,12].
When this therapy protocol was implemented, a clear schism in patient outcomes was observed: while overall, the median survival time was 387 days, in treated French bulldogs, the median survival time was 48 days (Olin et al 2019). Histopathologically, all tumors were confirmed as high-grade glioma, and all dogs were similar in age and had similar distributions of tumor locations. Thus, given the current paucity of breed-specific data on canine HGG, and this marked survival disparity in French bulldogs compared to other breeds, we sought to characterize the differential gene expression of French bulldog tumors versus tumors of dogs from the same phylogenetic clade (boxers and Boston terriers) by examining how differential gene expression changes following immunotherapy in French bulldog HGG compared to boxer/Boston terrier HGG.
Examining how tumors respond to therapy is important, as it can explain clinical response, enable protocol adjustments, and provide insight into the complex tumor microenvironment (TME). Characterizing tumor response is especially important for novel therapy development, such as immunotherapy. There have been transcriptomic studies in human glioma examining differential gene expression following treatment, including in response to ICI [13,14,15,16]. These studies have illuminated how glioma changes over time differently in response to different treatment types, the role of the TME in tumor evolution, and in some cases, have identified specific DEGs that correlate with treatment response [16].
Thus, the purpose of this study was to characterize breed-associated changes in HGG transcriptomes post-treatment compared to pre-treatment. To achieve this goal, we performed bulk RNASeq on HGG samples obtained from French bulldogs, boxers and Boston terriers. In paired analyses, we determined the differential gene expression profiles of French bulldogs post-treatment versus pre-treatment, and boxers and Boston terriers post-treatment versus pre-treatment. We then characterized the difference in log2 fold changes of DEGs between the breed groups and performed GSEA to reveal differences in enriched pathways between the breed groups. We confirmed that the tumors of French bulldogs undergo different transcriptomic changes following immunotherapy when compared to the transcriptomic changes in boxers and Boston terriers. In particular, GSEA demonstrated a higher proportion of immune-related enriched pathways in French bulldogs compared to boxers and Boston terriers.
Characterizing breed-associated differences enables refinement of the canine model and the ability to predict treatment response in each canine patient. The results of this study provide important breed-specific RNASeq data that can inform not only canine brain tumor treatment, but also human GB treatment.

2. Materials and Methods

A. Glioma Samples

High-grade glioma samples were obtained prior to and after immunotherapy as biopsy specimens submitted to the Comparative Pathology Shared Resource (CPSR) at the University of Minnesota. Sample collection ranged from 2005 to 2015. The samples used in this report were obtained as part of enrollment in clinical trials for pet dogs with HGG, approved by the University of Minnesota Institutional Animal Care and Use Committee (IACUC) under protocols 2001-37742A, 2002-37886A, 2111-39571A, and 2111-39569A. Patient breed, sex, age, tumor location, and overall survival (OS) were obtained from medical records.
Biopsy specimens (surgically resected tumor tissue for pre-treatment samples and whole brains for post-treatment samples) were fixed in 10% neutral buffered formalin, then embedded in paraffin wax. A board-certified veterinary pathologist reviewed all submissions and confirmed a diagnosis of high-grade glioma in all cases based on the criteria described by Koehler et al. [17]. To ensure that tumor tissue was present in the post-treatment samples, slides were examined using light microscopy. Sections with confirmed tumor tissue were selected. To prepare the samples for RNA Sequencing, 6-10 uM scrolls were created.

B. RNA Purification and RNA Sequencing

The University of Minnesota Genomics Center (UMGC) performed RNA extraction and RNA sequencing. For extraction, the PureLink TM FFPE Total RNA Isolation kit (Invitrogen, Carlsbad, CA) was used. Following RNA elution, DNAase I digestion was performed to provide DNA-free total RNA. A fluorimetric RiboGreen assay (Life Technologies, Carlsbad, CA) was used to quantify total eukaryotic RNA isolates. Capillary electrophoresis on the Agilent BioAnalyzer 2100 (Agilent, Santa Clara, CA) was used to assess total RNA integrity, generating an RNA integrity number (RIN). RIN scores above 3 were deemed sufficient for further processing. Those samples that passed quality control then underwent library preparation using the SMARTer Stranded Total RNA-Seq Kit v2, Pico Input Mammalian (Takara Bio, Mountain View, CA). This kit removes ribosomal RNA. The NovaSeq 6100 S1 flow cell (Illumina, San Diego, CA) was used to perform RNA sequencing at a targeted depth of ≥40 million reads per sample.
The Minnesota Supercomputing Institute (MSI) processed RNASeq data using PURR, a pipeline of the Collection of Hierarchical UMII/RIS Pipelines (CHURP). CHURP was developed by a group at the Minnesota Supercomputing Institute, and the analysis is provided as part of the RNASeq package run through the UMGC [18]. Two x 50bp FastQ paired end reads for 29 samples (n=61.2 Million average reads per sample) were trimmed using Trimmomatic (v 0.33) enabled with the optional “headcrop -3” option, “-q” option; 3bp sliding-window trimming from 3’ end requiring minimum Q30. Quality control on raw sequence data for each sample were performed with FastQC. Read mapping was performed via Hisat2 (v2.1.0) using the dog genome (Dog10K_Boxer_Tasha/canFam6 NCBI RefSeq assembly GCF_000002285.5) as reference [19]. Gene quantification was done via Feature Counts for raw read counts.

C. Differential Gene Expression, Comparisons Between French Bulldogs and Boxers and Boston Terriers, and Gene Set Enrichment Analysis

Using DESeq2 in R, two differential gene expression analyses were performed. First, DEGs in French bulldogs were evaluated by comparing gene expression post-treatment to pre-treatment. Second, DEGs in boxers and Boston terriers were evaluated by comparing gene expression post-treatment to pre-treatment. Both analyses used paired samples, such that each dog was compared to itself within the analysis.
For each DESeq2 analysis, the data were visually inspected for any outliers. Normalization was performed using a median of ratios method. Principal component analyses were performed to determine the proportion of variance attributable to the sampling times of post-treatment versus pre-treatment. Raw counts for each gene were fitted to the DESeq2 negative binomial model. Dispersion was confirmed to decrease with increasing mean. Shrinkage was then applied to the data. First, MA plots were created to examine the mean of the normalized counts versus log2 fold changes for all genes tested. To improve estimated fold changes, log2 fold change shrinkage was applied. The shrunken data were then used to create subsequent MA plots to confirm improved differential expression accuracy.
Following shrinkage, significant DEGs were then extracted for further evaluation and visualization. The Wald test for differential expression was used to identify significant DEGs, using the Benjamini-Hochberg adjusted p-value for multiple test correction. DEGs were considered significant if they had an adjusted p-value of <0.05. An absolute log2 fold change > 1, corresponding to an absolute fold change >2, was used as a cutoff for identifying investigable DEGs. The numbers of significant DEGs were determined in both groups and were visualized for French bulldog DEGs post-treatment versus pre-treatment and boxer and Boston terrier DEGs post-treatment versus pre-treatment.
To compare the log2 fold changes that occurred, the French bulldog and boxer and Boston terrier data sets were combined into a single data frame. A Wilcoxon rank-sum test was used to determine whether there were significant differences in DEGs between French bulldogs and boxers and Boston terriers. A Jaccard index calculation was performed to quantify how many overall DEGs and significant DEGs were shared between French bulldogs and boxers and Boston terriers. The log2 fold changes of all DEGs were visualized in French bulldogs relative to boxers and Boston terriers.
Four DEGs groupings were created: the top 25 DEGs that increased the most in post-treatment French bulldogs, the top 25 DEGs that decreased the most in post-treatment French bulldogs, the top 25 DEGs that increased the most in post-treatment boxers and Boston terriers, and the top 25 DEGs that decreased the most in post-treatment boxers and Boston terriers. In each of these analyses, included DEGs were those that were significant with an absolute log2 fold change >1 in the breed group of interest.
The differences in log2 fold changes were calculated by subtracting the log2 fold changes of boxers and Boston terriers from the log2 fold changes of French bulldogs. The DEGs included in this analysis were limited to DEGs that were significant in French bulldogs with an absolute log2 fold change >1. Subtraction rather than division was selected as this is the preferred method for comparing log2 fold changes between two groups [20]. Since the data are already log2 transformed, the calculated difference is equivalent to calculating the ratio between original expression levels [20]. An unpaired t-test was performed using the Benjamini-Hochberg adjusted p-value for multiple test correction. Significance was set at adjusted p-value <0.05.
DEGs were sorted by the degree of difference in log2 fold changes between breed groups. The top 50 DEGs with the largest absolute change were extracted for further evaluation. The differences in log2 fold changes between French bulldogs and boxers and Boston terriers were visualized. DEGs whose expression direction differed between French bulldogs and boxers and Boston terriers (for example, DEGs that were overexpressed in French bulldogs post-treatment compared to pre-treatment while being underexpressed in boxers and Boston terriers post-treatment compared to pre-treatment) were examined.
GSEA was performed for each paired comparison (French bulldogs post-treatment vs. pre-treatment and boxers and Boston terriers post-treatment vs. pre-treatment) to investigate enriched pathways. The R package “clusterProfiler” was used. Gene expression data were ranked by their differential expression in log2 fold change values. Positive values indicated upregulation and negative values indicated downregulation. Using predefined gene sets (GO and KEGG), enrichment scores were calculated based on the distribution of genes in the data compared to the predefined gene sets. Adjusted p-values were calculated using the Benjamini-Hochberg procedure to account for multiple testing. Dot plots were created to facilitate visualization of the different enriched pathways in French bulldogs versus boxers and Boston terriers.

3. Results

After searching through patient sample repositories, we identified five French bulldogs, two boxers, and two Boston terriers that had both pre- and post-treatment samples available for paired differential expression analysis. Within the French bulldog group, there were two neutered males and three spayed females. The mean age was six years (range 3 to 9.5 years). Within the boxer and Boston terrier group, there were two neutered male boxers, and two neutered male Boston terriers. The mean age was 6.8 years (range 4 to 9.5 years). Regarding treatment, following surgical resection, all dogs received autologous tumor lysate vaccination with our CD200 immune checkpoint inhibitor as intradermal injections. In addition to this therapy, one French bulldog also received temozolomide and another received temozolomide plus gene therapy initially but was treated with autologous tumor lysate vaccination and CD200 immune checkpoint inhibition following surgical resection of tumor regrowth.
In French bulldogs, there were 488 significantly upregulated DEGs and 269 significantly downregulated DEGs with absolute log2 fold changes >1. In boxers and Boston terriers, there were 1,749 significantly upregulated DEGs and 1,924 significantly downregulated DEGs with absolute log2 fold changes >1 (Figure 1). In both breed groups, samples arranged by timepoint (pre- or post-treatment) and display visible differences in expression patterns by timepoint. When the French bulldog and boxer/Boston terrier DEGs were merged and filtered by significance and absolute log2 fold change >1 in French bulldogs, samples continued to strongly cluster by treatment timepoint, but also moderately clustered by breed, particularly in the post-treatment grouping (Figure 2).
When comparing the changes in differential gene expression post-treatment compared to pre-treatment for French bulldogs versus boxers and Boston terriers, the Wilcoxon rank-sum test showed that there was a significant difference in expression between the two groups (W = 438084303, p < 2.2 x 10^-16). The Jaccard index was calculated as 0.159, indicating that there was only a 15.9% overlap in the significant DEGs between the two groups (Figure 3A). When the log2 fold changes of DEGs were compared between French bulldogs and boxers and Boston terriers, French bulldogs overall had larger log2 fold changes than boxers and Boston terriers in the DEGs that were significant only in their respective groups, especially for upregulated DEGs (Figure 3B).
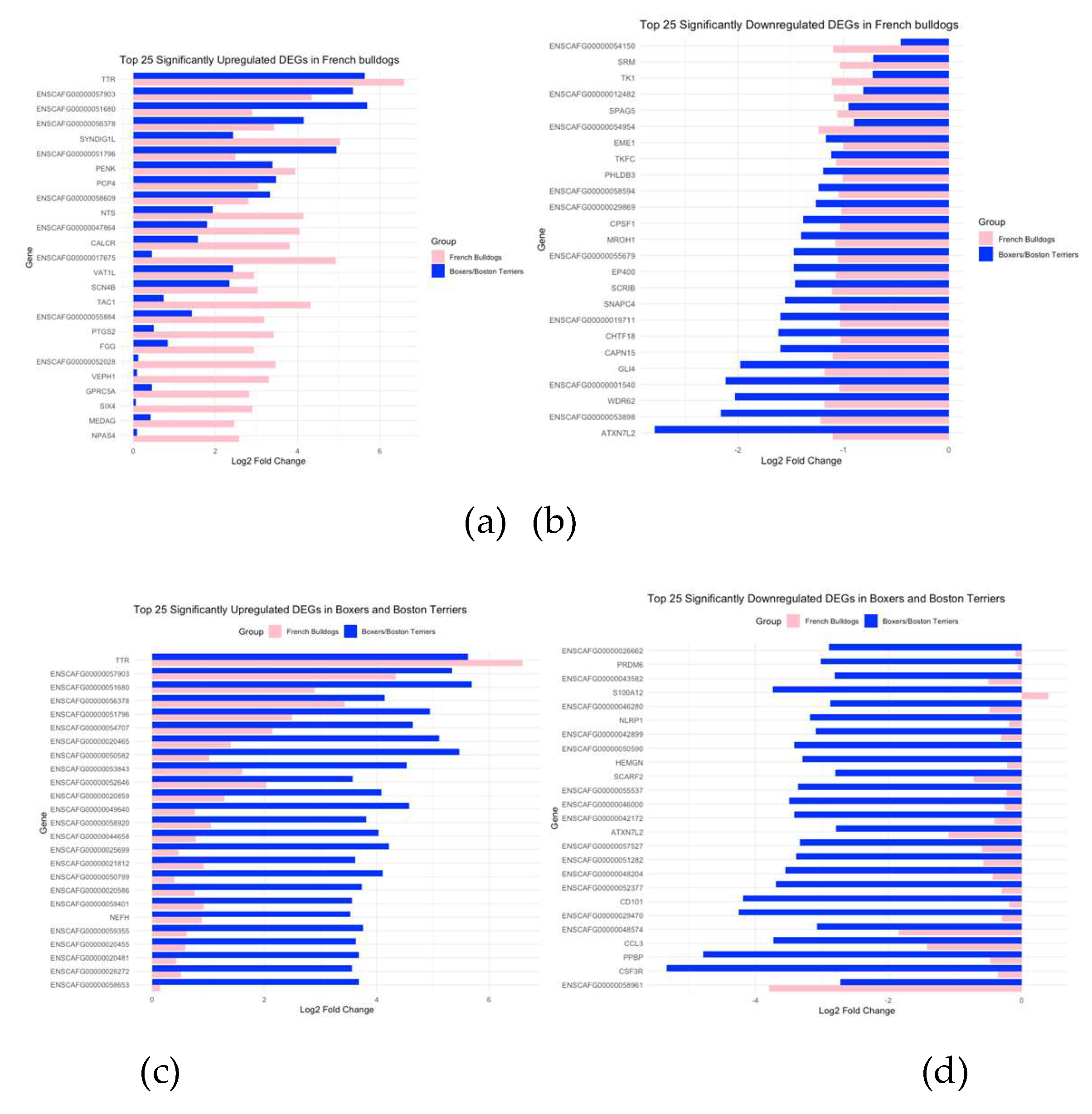
Analysis of the top 25 significantly upregulated DEGs in French bulldogs, top 25 significantly downregulated DEGs in French bulldogs, top 25 significantly upregulated DEGs in boxers and Boston terriers, and top 25 significantly downregulated DEGs in boxers and Boston terriers showed that there was little overlap in the DEGs between the breed group of interest and the comparison breed group. In general, upregulated DEGs in French bulldogs had higher magnitudes of log2 fold changes compared to boxers and Boston terriers, and downregulated DEGs in French bulldogs had lower magnitudes of log2 fold changes compared to boxers and Boston terriers. Conversely, for the top downregulated DEGs in boxers and Boston terriers, corresponding changes in log2 fold expression in French bulldogs had lower magnitudes (Figure 4).
Given the observation that upregulated DEGs that were significant only in French bulldogs had overall larger log2 fold changes post-treatment compared to pre-treatment, we then isolated the top 25 upregulated DEGs that were significant with a log2 fold change >1 in French bulldogs that were not significant in boxers and Boston terriers to correspond to the data visualized in Figure 2B (Figure 5). Like the other data sets, many of these DEGs were non-coding DEGs. Protein-coding upregulated DEGs in French bulldogs that had a high magnitude of log2 fold change following treatment included TAC1, PTGS2, FGG, VEPH1, GPRC5A, SIX4, MEDAG, TEX26, NPAS4, HPCA, DRD2, GJD2, PTX3, WIPF3, SFRP4, DAW1, and BAG3.
To examine the significance of the difference between log2 fold changes in French bulldogs and boxers and Boston terriers, we performed an unpaired t-test that demonstrated that the differences in log2 fold change expression were significant (padj = 7.59 x 10-52). We identified the top 50 genes with the largest differences in absolute log2 fold changes between French bulldogs and boxers and Boston terriers by subtracting the log2 fold changes of boxer/Boston terrier DEGs from those of French bulldogs (Figure 6). In 14 DEGs, the absolute difference in log2 fold changes exceeded 2.5, meaning that expression of these DEGs was 2.5 times higher in French bulldogs than in boxers and Boston terriers. In seven of the significant DEGs in French bulldogs with an absolute log2 fold change >1, the direction of log2 fold change was inverted in boxers and Boston terriers. None of these DEGs were significant in boxers and Boston terriers.
GSEA of French bulldogs showed that post-treatment, 12 pathways were significantly enriched, consisting of seven activated and five suppressed pathways (Figure 7A). GSEA of boxers and Boston terriers showed that post-treatment, 14 pathways were significantly enriched, consisting of six activated and eight suppressed pathways (Figure 7B).
Among the enriched pathways, French bulldogs and boxers and Boston terriers shared enriched activated pathways of myc targets, G2M checkpoint, E2F targets, and allograft rejection and suppressed activated pathways of protein secretion and pancreas beta cells. Activated pathways in French bulldogs that were not observed in boxers and Boston terriers included interferon alpha response, interferon gamma response, and mitotic spindle. Suppressed pathways in French bulldogs that were not observed in boxers and Boston terriers included coagulation, epithelial to mesenchymal transition, and late estrogen response. Activated pathways in boxers and Boston terriers that were not observed in French bulldogs included JAK STAT3 signaling and inflammatory response. Suppressed pathways in boxers and Boston terriers that were not observed in French bulldogs included oxidative phosphorylation, androgen response, MTORC1 signaling, UV response, fatty acid metabolism, and myogenesis.

4. Discussion

This study provides a comprehensive evaluation of differential gene expression in two breed groups of glioma-bearing dogs treated with vaccine and immune checkpoint inhibitor-based immunotherapy. There were several purposes for conducting this study. First, the impetus for this study was to elucidate the reason for a disparity in treatment response in French bulldogs compared to other breeds when treated with ATL and CD200 ICI by determining if there were differences in expression patterns post-treatment compared to pre-treatment. Subsequently, target genes could be identified as drivers of breed-specific tumor phenotypes, which could enable treatment tailoring by breed. Finally, given the robustness of the canine glioma model for human glioblastoma (GB), we sought to add transcriptomic information to the growing database of canine glioma information [1,5,21,22,23]. To date, there are no studies that disclose differences in response to treatment by breed. Such information is not only valuable when providing treatments for these dogs, but also in continuing the refinement of the canine glioma model and in considering trial design and the impacts of breed inclusion on trial results, which could drastically alter whether a given treatment is deemed eligible for exploration in human treatment.
All the dogs in this study were treated with a combination of autologous tumor lysate (ATL) and a peptide ligand that interferes with the CD200 immune checkpoint, yet there was a marked disparity in survival time between French bulldogs and boxers and Boston terriers. To investigate the differences in differential gene expression between these breeds, we started by performing paired differential gene expression analyses on French bulldogs post-treatment versus pre-treatment and did the same for boxers and Boston terriers. We paired the samples such that each pre-treatment sample was matched in the analysis with the post-treatment sample corresponding to the same dog. Although this approach limited our sample size over performing this same analysis with dogs for which either a pre-treatment or post-treatment sample was not available, we chose to perform a paired analysis to eliminate confounding variables, reduce noise, improve power, and potentially contextualize group differences. The individual differential gene expression analyses demonstrated that samples clustered together by treatment timepoint in both French bulldogs and boxers and Boston terriers. This suggests that gene expression changed in association with treatment in both French bulldogs and boxers/Boston terriers.
We then sought to determine if gene expression changed differently in the two breed groups. First, we examined merged, significant DEGs in French bulldogs and boxers and Boston terriers to examine how breed grouping impacted expression patterns. Although the most prominent clustering feature remained treatment timepoint, within each timepoint, most of the samples clustered by breed grouping, especially in the post-treatment cluster. This suggested that gene expression changes following treatment differed between French bulldogs and boxers and Boston terriers.
To determine the extent of difference in gene expression patterns between the breed groupings, we performed a Jaccard index analysis. This is a measure of the similarity between two sets of DEGs. This value ranges from 0 to 1 and is calculated as the intersection of the DEG sets divided by the union of the sets. A value of 0 means there is no overlap between the two sets, and a value of 1 means there is complete overlap. The Jaccard index for French bulldog versus boxer and Boston terrier DEG sets was 0.159, indicating that only 15.9% of the significant DEGs were significant in both breed groupings.
There were 279 significant DEGs that were unique to French bulldogs, compared to 3,822 DEGs that were unique to boxers and Boston terriers. Among the top 25 significant upregulated and downregulated DEGs for each breed grouping, there was little overlap between French bulldogs and Boston terriers. Further, when evaluating the top 25 significantly upregulated DEGs in French bulldogs that were simultaneously not significantly upregulated in boxers and Boston terriers, the protein-coding DEGs (TAC1, PTGS2, FGG, VEPH1, GPRC5A, SIX4, MEDAG, TEX26, NPAS4, HPCA, DRD2, GJD2, PTX3, WIPF3, SFRP4, DAW1, and BAG3), many of these DEGs have known roles in glioma. For example, PTGS2, an enzyme involved in prostaglandin synthesis, has been implicated in radiation resistance in human glioma [24]. GPRC5A, a G-protein-coupled receptor gene, is upregulated in many cancer types, including glioma [25,26,27,28]. SIX4 may promote angiogenesis in glioblastoma multiforme [29]. Overall, these findings demonstrate that concerning DEGs in which expression differed the most between treatment timepoints, the way that tumors evolved over time and potentially in response to treatment differed substantially between French bulldogs and boxers and Boston terriers.
Further visualization of all identified DEGs demonstrated that the magnitude of log2 fold changes was overall larger in French bulldogs compared to boxers and Boston terriers, especially for upregulated DEGs. This suggested that among the 279 DEGs that were significant exclusively in French bulldogs, those with the largest log2 fold changes may be responsible for the disparity in survival time observed in immunotherapy-treated French bulldogs. Whether this is due to French bulldog glioma being more prone to genetic evolution inherently or due to a breed-specific genomic response to immunotherapy is unknown. All dogs included in this study underwent treatment. If it had been possible to include tumor samples from untreated dogs, resampled at later time points to provide “early” and “late” groupings to correspond with our pre- and post-treatment groupings, then this inclusion could help to determine the underlying cause of the larger magnitude of log2 fold changes observed in French bulldogs.
One of glioma’s mechanisms of malignancy is its ability to evolve over time [30]. Glioma cells have high plasticity, which allows them to adapt to stressors [31,32,33,34]. Gliomas evolve in several different ways, including branching and linear evolutionary patterns and therapy-related mesenchymal transitions [35,36,37,38,39,40,41]. Glioma co-evolves with the tumor microenvironment (TME), which is a complex, dynamic population of tumor-associated myeloid cells, dendritic cells, neutrophils, lymphocytes, blood brain barrier constituents, astrocytes, and neurons, among others [42]. In comparison to treatment-naïve tumors, transcriptome analysis of bulk recurrent human glioblastoma samples following standard treatment (resection, radiation therapy, and temozolomide) demonstrated that hallmark glioma genes are not significantly altered. Rather, cell type diversity increases, corresponding with differential gene expression associated with a strong proportional increase in tumor-associated macrophages (TAMs) [43]. TAMs are key players in gliomagenesis and therapeutic resistance and can drive transition to mesenchymal-like states [43,44,45].
As opposed to the upregulated DEGs, in which French bulldog DEGs had overall larger magnitudes of log2 fold changes post-treatment compared to pre-treatment, downregulated DEGs in French bulldogs exhibited relatively smaller changes in log2 fold change expression compared to boxers and Boston terriers. In fact, the magnitude of log2 fold change in downregulated DEGs in boxers and Boston terriers exceeded the magnitude of these changes in French bulldogs. The increased magnitude of downregulation in boxers and Boston terriers, which had superior clinical outcomes compared to French bulldogs, suggests that these downregulated DEGs may correspond to genes directly targeted by ATL and CD200 ICI therapy.
Alternatively, there were some important DEGs that were more downregulated in French bulldogs than in boxers and Boston terriers following treatment. The DEGs that experienced a greater degree of downregulation post-treatment in French bulldogs compared to boxers and Boston terriers include important immune constituents that improve immunotherapy effectiveness. For example, the chemokine CCL3 was more downregulated in French bulldogs post-treatment compared to boxers and Boston terriers (Figure 6). CCL3 is a potent innate and adaptive immune response activator [46]. Pro-inflammatory M1 macrophages secrete CCL3, and higher M1 CCL3 expression has been correlated with better survival in human glioma [47]. Contrastingly, chronic stress leads to reduced CCL3 secretion, which results in reduced M1 macrophage infiltration and the exacerbation of an immunosuppressive TME [48]. Brain microvessel endothelial cells also secrete CCL3, regulating inflammatory responses across the blood-brain barrier. By augmenting T-cell reactivity, it promotes a robust immune response induction in response to immunotherapy [46]. That CCL3 expression decreased more in French bulldogs post-treatment compared to pre-treatment suggests that the immunotherapy treatment had a less robust immune response induction platform and a more immunosuppressive landscape on which to act, which may contribute to the poor treatment response in the breed.
To further characterize the expression profiles of French bulldog tumors compared to boxer and Boston terrier tumors, we performed GSEA. The GSEAs of French bulldogs compared to boxers and Boston terriers showed that although they shared some similarities in enriched activated and suppressed pathways, there were some key differences. First, boxers and Boston terriers had more suppressed pathways than French bulldogs. Among the suppressed pathways in boxers and Boston terriers, MTORC1 signaling was significantly enriched with many genes mapping to the pathway. Mammalian target of rapamycin (mTOR) mediates phosphatidyl-inositol-3-kinase (PI3L) signaling, the constitutive activation of which is a hallmark of glioblastoma [49]. Various mTOR inhibitors have been investigated as anti-glioma therapies [50]. Here, it is possible that the glioma of boxers and Boston terriers responded to ATL and CD200 ICI, potentially mediated by treatment-mediated suppression of the mTOR-PI3K axis. Alternatively, this observation is independent of the provided treatment. The relationship between the mTOR-PI3K axis and the CD200 immune checkpoint has not been elucidated. The GSEA results here suggest that examining this potential relationship could reveal a mechanism by which some canine glioma respond to ATL and CD200 ICI.
Another important difference in the GSEAs of French bulldogs compared to boxers and Boston terriers was that French bulldogs had activation of several immune-associated pathways, including interferon alpha response, allograft rejection, and interferon gamma response. This finding supports our consideration that differences in immune response, either to tumor cells, to immunotherapy, or to both, comprise an important constituent of the differences in gene expression in French bulldogs compared to boxers and Boston terriers.
The allograft rejection (AR) pathway has been studied in correlation with treatment responsiveness in human glioma patients [51,52]. Substantial infiltration of CD8+ T cells, M1 and M2 macrophages was observed in high-AR but not in low-AR samples [51]. Further, the high-AR tumors were observed to have upregulation of many immune checkpoints, which could enable the tumors to evade the immune response more than in low-AR counterparts [51]. Finally, AR has been observed to be highly associated with epithelial growth factor receptor (EGFR) amplification and is considered one of the most important pathways involved in observed immune responses in GBM [52,53]. Overall, the enrichment of the AR pathway in French bulldogs, but not in boxers and Boston terriers, marks a critically important breed-associated distinction that supports our hypothesis that the TME of French bulldog tumors differs from the TME of boxers and Boston terriers, and contributes to the disparity in survival outcomes.

5. Conclusions

In summary, this study confirms several important points. First, given the heterogeneity of canine glioma, and the genetic pools of purebred dog breeds, breed is an important variable in the transcriptomic profile of canine HGG [54]. Second, French bulldog glioma displays marked differences in gene expression following immunotherapy treatment compared to boxers and Boston terriers, especially in pathways attributable to the TME and immune system. Having identified key pathways, future studies to validate the findings are warranted, including quantitative real-time PCR, studying larger cohorts and additional dog breeds, and spatial transcriptomics to geographically contextualize gene expression. The results of this study provide breed-specific descriptions of HGG transcriptomes that augment our understanding of canine HGG and can heighten our understanding of the complex interplay between the tumors, the TME, and novel therapies.

Author Contributions

Conceptualization, S.A. and G.P; methodology, S.A.; software, S.A.; validation, S.A., G.P, and W.L..; formal analysis, S.A..; investigation, S.A.; resources, S.A.; data curation, S.A.; writing—original draft preparation, S.A..; writing—review and editing, G.P. and W.L.; visualization, S.A.; supervision, G.P. and W.L; project administration, G.P.; funding acquisition, S.A. and G.P. All authors have read and agreed to the published version of the manuscript.

Funding

This research was funded by the University of Minnesota Children’s Cancer Research Fund.

Institutional Review Board Statement

The study performed using samples obtained from studies approved by the University of Minnesota Institutional Animal Care and Use Committee (IACUC) under protocols 2001-37742A, 2002-37886A, 2111-39571A, and 2111-39569A.

Informed Consent Statement

Informed consent was obtained from all dog owners of dogs involved in the study.

Data Availability Statement

Data supporting reported results are openly available and can be found in the Data Repository for the University of Minnesota (DRUM): https://hdl.handle.net/11299/267779.

Acknowledgments

The authors would like to thank all the clients who enrolled their pet dogs in the studies that generated the data herein, as well as all the dogs that participated in the studies.

Conflicts of Interest

The authors declare no conflicts of interest. The funders had no role in the design of the study; in the collection, analyses, or interpretation of data; in the writing of the manuscript; or in the decision to publish the results.

References

  1. Amin SB, Anderson KJ, Boudreau CE, et al. Comparative Molecular Life History of Spontaneous Canine and Human Gliomas. Cancer Cell 2020, 37, 243–257.e7. [Google Scholar] [CrossRef] [PubMed]
  2. José-López R, Gutierrez-Quintana R, de la Fuente C, et al. Clinical features, diagnosis, and survival analysis of dogs with glioma. Journal of Veterinary Internal Medicine 2021, 35, 1902–1917. [Google Scholar] [CrossRef] [PubMed]
  3. Song RB, Vite CH, Bradley CW, et al. Postmortem evaluation of 435 cases of intracranial neoplasia in dogs and relationship of neoplasm with breed, age, and body weight. J Vet Intern Med 2013, 27, 1143–1152. [Google Scholar] [CrossRef] [PubMed]
  4. Snyder JM, Shofer FS, Van Winkle TJ, et al. Canine intracranial primary neoplasia: 173 cases (1986-2003). J Vet Intern Med 2006, 20, 669–675. [Google Scholar] [CrossRef]
  5. Koehler JW, Miller AD, Miller CR, et al. A Revised Diagnostic Classification of Canine Glioma: Towards Validation of the Canine Glioma Patient as a Naturally Occurring Preclinical Model for Human Glioma. J Neuropathol Exp Neurol 2018, 77, 1039–1054. [Google Scholar] [CrossRef]
  6. Boudreau CE, York D, Higgins RJ, et al. Molecular signalling pathways in canine gliomas. Veterinary and Comparative Oncology 2017, 15, 133–150. [Google Scholar] [CrossRef]
  7. Mitchell D, Chintala S, Fetcko K, et al. Common Molecular Alterations in Canine Oligodendroglioma and Human Malignant Gliomas and Potential Novel Therapeutic Targets. Front Oncol; 9. Epub ahead of print 14 August 2019. [CrossRef]
  8. Stepanenko AA, Sosnovtseva AO, Valikhov MP, et al. Systemic and local immunosuppression in glioblastoma and its prognostic significance. Front Immunol; 15. Epub ahead of print 28 February 2024. [CrossRef]
  9. Guha P, Heatherton KR, O’Connell KP, et al. Assessing the Future of Solid Tumor Immunotherapy. Biomedicines 2022, 10, 655. [Google Scholar] [CrossRef]
  10. Raphael I, Mujeeb AA, Ampudia-Mesias E, et al. CD200 depletion in glioma enhances antitumor immunity and induces tumor rejection. 2024; 2024.09.08.611922.
  11. Ampudia-Mesias E, Puerta-Martinez F, Bridges M, et al. CD200 Immune-Checkpoint Peptide Elicits an Anti-glioma Response Through the DAP10 Signaling Pathway. Neurotherapeutics 2021, 18, 1980–1994. [Google Scholar] [CrossRef]
  12. Moertel C, Martinez-Puerta F, Elizabeth Pluhar GG, et al. CD200AR-L: mechanism of action and preclinical and clinical insights for treating high-grade brain tumors. Expert Opin Investig Drugs 2022, 31, 875–879. [Google Scholar] [CrossRef]
  13. Haehnel S, Rade M, Kaiser N, et al. RNA sequencing of glioblastoma tissue slice cultures reveals the effects of treatment at the transcriptional level. FEBS Open Bio 2021, 12, 480–493. [Google Scholar]
  14. Wang L, Jung J, Babikir H, et al. A single-cell atlas of glioblastoma evolution under therapy reveals cell-intrinsic and cell-extrinsic therapeutic targets. Nat Cancer 2022, 3, 1534–1552. [Google Scholar] [CrossRef] [PubMed]
  15. Hara T, Chanoch-Myers R, Mathewson ND, et al. Interactions between cancer cells and immune cells drive transitions to mesenchymal-like states in glioblastoma. Cancer Cell 2021, 39, 779–792.e11. [Google Scholar] [CrossRef] [PubMed]
  16. Verploegh ISC, Conidi A, Brouwer RWW, et al. Comparative single-cell RNA-sequencing profiling of BMP4-treated primary glioma cultures reveals therapeutic markers. Neuro-Oncology 2022, 24, 2133–2145. [Google Scholar] [CrossRef] [PubMed]
  17. Louis DN, Ohgaki H, Wiestler OD, et al. The 2007 WHO Classification of Tumours of the Central Nervous System. Acta Neuropathol 2007, 114, 97–109. [Google Scholar] [CrossRef]
  18. Baller J, Kono T, Herman A, et al. CHURP: A Lightweight CLI Framework to Enable Novice Users to Analyze Sequencing Datasets in Parallel. In: Practice and Experience in Advanced Research Computing, A: of the Machines (learning). New York, NY, USA Association for Computing Machinery, pp. 1–5.
  19. Jagannathan V, Hitte C, Kidd JM, et al. Dog10K_Boxer_Tasha_1.0: A Long-Read Assembly of the Dog Reference Genome. Genes (Basel) 2021, 12, 847. [Google Scholar] [CrossRef]
  20. Love MI, Huber W, Anders S. Moderated estimation of fold change and dispersion for RNA-seq data with DESeq2. Genome Biology 2014, 15, 550.
  21. Hubbard ME, Arnold S, Bin Zahid A, et al. Naturally Occurring Canine Glioma as a Model for Novel Therapeutics. Cancer Invest 2018, 36, 415–423. [Google Scholar] [CrossRef]
  22. Canine Glioma as a Model for Human Glioblastoma | IntechOpen, https://www.intechopen.com/chapters/82974 (accessed 13 September 2024).
  23. Hicks WH, Bird CE, Pernik MN, et al. Large Animal Models of Glioma: Current Status and Future Prospects. Anticancer Research 2021, 41, 5343–5353. [Google Scholar] [CrossRef]
  24. Tan C, Liu L, Liu X, et al. Activation of PTGS2/NF-κB signaling pathway enhances radiation resistance of glioma. Cancer Med 2019, 8, 1175–1185. [Google Scholar] [CrossRef]
  25. Wang J, Yang Y, Cao Y, et al. miR-342 inhibits glioma cell proliferation by targeting GPRC5A. Molecular Medicine Reports 2019, 20, 252–260. [Google Scholar]
  26. Jin E, Wang W, Fang M, et al. Clinical significance of reduced GPRC5A expression in surgically resected non-small cell lung cancer. Oncol Lett 2019, 17, 502–507. [Google Scholar]
  27. Gu C, Zhou N, Wang Z, et al. circGprc5a Promoted Bladder Oncogenesis and Metastasis through Gprc5a-Targeting Peptide. Mol Ther Nucleic Acids 2018, 13, 633–641. [Google Scholar] [CrossRef] [PubMed]
  28. Klaschik K, Hauke J, Neidhardt G, et al. The GPRC5A frameshift variant c.183del is not associated with increased breast cancer risk in BRCA1 mutation carriers. Int J Cancer 2019, 144, 1761–1763. [Google Scholar] [CrossRef]
  29. Huang W, Shi Y, Han B, et al. miR-802 inhibits the proliferation, invasion, and epithelial-mesenchymal transition of glioblastoma multiforme cells by directly targeting SIX4. Cell Biochem Funct 2020, 38, 66–76.
  30. Varn FS, Johnson KC, Martinek J, et al. Glioma progression is shaped by genetic evolution and microenvironment interactions. Cell 2022, 185, 2184–2199.e16. [Google Scholar] [CrossRef]
  31. Wang: Tumor evolution of glioma-intrinsic gene expression... - Google Scholar, https://scholar.google.com/scholar_lookup?title=Tumor%20evolution%20of%20Glioma-Intrinsic%20Gene%20Expression%20Subtypes%20Associates%20with%20immunological%20changes%20in%20the%20microenvironment&publication_year=2017&author=Q.%20Wang&author=B.%20Hu&author=X.%20Hu&author=H.%20Kim&author=M.%20Squatrito&author=L.%20Scarpace&author=A.C.%20deCarvalho&author=S.%20Lyu&author=P.%20Li&author=Y.%20Li (accessed 13 September 2024).
  32. Venteicher AS, Tirosh I, Hebert C, et al. Decoupling genetics, lineages, and microenvironment in IDH-mutant gliomas by single-cell RNA-seq. Science 2017, 355, eaai8478.
  33. Neftel C, Laffy J, Filbin MG, et al. An Integrative Model of Cellular States, Plasticity, and Genetics for Glioblastoma. Cell 2019, 178, 835–849.e21. [Google Scholar] [CrossRef]
  34. Johnson KC, Anderson KJ, Courtois ET, et al. Single-cell multimodal glioma analyses identify epigenetic regulators of cellular plasticity and environmental stress response. Nat Genet 2021, 53, 1456–1468. [Google Scholar] [CrossRef]
  35. Varn FS, Johnson KC, Martinek J, et al. Glioma progression is shaped by genetic evolution and microenvironment interactions. Cell 2022, 185, 2184–2199.e16. [Google Scholar] [CrossRef]
  36. Barthel FP, Johnson KC, Varn FS, et al. Longitudinal molecular trajectories of diffuse glioma in adults. Nature 2019, 576, 112–120. [Google Scholar] [CrossRef] [PubMed]
  37. Wang Q, Hu B, Hu X, et al. Tumor Evolution of Glioma-Intrinsic Gene Expression Subtypes Associates with Immunological Changes in the Microenvironment. Cancer Cell 2017, 32, 42–56.e6. [Google Scholar] [CrossRef] [PubMed]
  38. Wang J, Cazzato E, Ladewig E, et al. Clonal evolution of glioblastoma under therapy. Nat Genet 2016, 48, 768–776. [Google Scholar] [CrossRef] [PubMed]
  39. Körber V, Yang J, Barah P, et al. Evolutionary Trajectories of IDHWT Glioblastomas Reveal a Common Path of Early Tumorigenesis Instigated Years ahead of Initial Diagnosis. Cancer Cell 2019, 35, 692–704.e12. [Google Scholar] [CrossRef] [PubMed]
  40. Kim J, Lee I-H, Cho HJ, et al. Spatiotemporal Evolution of the Primary Glioblastoma Genome. Cancer Cell 2015, 28, 318–328. [Google Scholar] [CrossRef] [PubMed]
  41. Kim H, Zheng S, Amini SS, et al. Whole-genome and multisector exome sequencing of primary and post-treatment glioblastoma reveals patterns of tumor evolution. Genome Res 2015, 25, 316–327. [Google Scholar] [CrossRef]
  42. Hu Y, Li Z, Zhang Y, et al. The Evolution of Tumor Microenvironment in Gliomas and Its Implication for Target Therapy. Int J Biol Sci 2023, 19, 4311–4326. [Google Scholar] [CrossRef] [PubMed]
  43. Hoogstrate Y, Draaisma K, Ghisai SA, et al. Transcriptome analysis reveals tumor microenvironment changes in glioblastoma. Cancer Cell 2023, 41, 678–692.e7. [Google Scholar] [CrossRef]
  44. Buonfiglioli A, Hambardzumyan D. Macrophages and microglia: the cerberus of glioblastoma. Acta Neuropathol Commun 2021, 9, 54. [Google Scholar] [CrossRef]
  45. Hara T, Chanoch-Myers R, Mathewson ND, et al. Interactions between cancer cells and immune cells drive transitions to mesenchymal-like states in glioblastoma. Cancer Cell 2021, 39, 779–792.e11. [Google Scholar] [CrossRef]
  46. Schaller TH, Batich KA, Suryadevara CM, et al. Chemokines as adjuvants for immunotherapy: Implications for immune activation with CCL3. Expert review of clinical immunology 2017, 13, 1049. [Google Scholar] [CrossRef]
  47. Vidyarthi A, Agnihotri T, Khan N, et al. Predominance of M2 macrophages in gliomas leads to the suppression of local and systemic immunity. Cancer Immunol Immunother 2019, 68, 1995–2004. [Google Scholar] [CrossRef] [PubMed]
  48. Wang X, Zhang L, Zhou Y, et al. Chronic Stress Exacerbates the Immunosuppressive Microenvironment and Progression of Gliomas by Reducing Secretion of CCL3. Cancer Immunol Res 2024, 12, 516–529. [Google Scholar] [CrossRef] [PubMed]
  49. Akhavan D, Cloughesy TF, Mischel PS. mTOR signaling in glioblastoma: lessons learned from bench to bedside. Neuro Oncol 2010, 12, 882–889. [Google Scholar] [CrossRef] [PubMed]
  50. Colardo M, Segatto M, Di Bartolomeo S. Targeting RTK-PI3K-mTOR Axis in Gliomas: An Update. International Journal of Molecular Sciences 2021, 22, 4899. [Google Scholar] [CrossRef] [PubMed]
  51. Lai G, Zhong X, Liu H, et al. Development of a Hallmark Pathway-Related Gene Signature Associated with Immune Response for Lower Grade Gliomas. Int J Mol Sci 2022, 23, 11971. [Google Scholar] [CrossRef]
  52. Wang L, Wei B, Hu G, et al. Screening of differentially expressed genes associated with human glioblastoma and functional analysis using a DNA microarray. Mol Med Rep 2015, 12, 1991–1996. [Google Scholar] [CrossRef]
  53. Zhou Y, Wang S, Yan H, et al. Identifying Key Somatic Copy Number Alterations Driving Dysregulation of Cancer Hallmarks in Lower-Grade Glioma. Front Genet 2021, 12, 654736. [Google Scholar] [CrossRef]
  54. Mabunda RS, Makgahlela ML, Nephawe KA, et al. Evaluation of Genetic Diversity in Dog Breeds Using Pedigree and Molecular Analysis: A Review. Diversity 2022, 14, 1054. [Google Scholar] [CrossRef]
Figure 1. (a) Heatmap showing significant DEGs with absolute log2 fold changes >1 in French bulldogs; (b) Heatmap showing significant DEGs with absolute log2 fold chagnes >1 in boxers and Boston terriers.
Figure 1. (a) Heatmap showing significant DEGs with absolute log2 fold changes >1 in French bulldogs; (b) Heatmap showing significant DEGs with absolute log2 fold chagnes >1 in boxers and Boston terriers.
Preprints 140355 g001
Figure 2. Heatmap showing merged RNASeq analyses of French bulldogs and boxers/Boston terriers. All included DEGs are significant with log2 fold changes >1.
Figure 2. Heatmap showing merged RNASeq analyses of French bulldogs and boxers/Boston terriers. All included DEGs are significant with log2 fold changes >1.
Preprints 140355 g002
Figure 3. Visualization of DEGs in French bulldogs compared to boxers and Boston terriers(a) Venn Diagram showing DEGs exclusive to either breed group or shared between groups.; (b) Scatterplot of the log2 fold changes in French bulldog DEGs versus boxer/Boston terrier DEGs.
Figure 3. Visualization of DEGs in French bulldogs compared to boxers and Boston terriers(a) Venn Diagram showing DEGs exclusive to either breed group or shared between groups.; (b) Scatterplot of the log2 fold changes in French bulldog DEGs versus boxer/Boston terrier DEGs.
Preprints 140355 g003
Figure 4. The top 25 upregulated and downregulated DEGs by breed group. For each analysis, the displayed DEGs were significant with an absolute log2 fold change >1 in the breed group of interest. The expression of the alternate breed group for each DEG is provided for comparison. (a) Top significantly upregulated DEGs in French bulldogs.; (b) Top significantly downregulated DEGs in French bulldogs; (c) Top significantly upregulated DEGs in boxers and Boston terriers; (d) Top significantly downregulated DEGs in boxers and Boston terriers.
Figure 4. The top 25 upregulated and downregulated DEGs by breed group. For each analysis, the displayed DEGs were significant with an absolute log2 fold change >1 in the breed group of interest. The expression of the alternate breed group for each DEG is provided for comparison. (a) Top significantly upregulated DEGs in French bulldogs.; (b) Top significantly downregulated DEGs in French bulldogs; (c) Top significantly upregulated DEGs in boxers and Boston terriers; (d) Top significantly downregulated DEGs in boxers and Boston terriers.
Preprints 140355 g004
Figure 5. Barplot of the top 25 significantly upregulated DEGs in French bulldogs that were not significant in boxers and Boston terriers.
Figure 5. Barplot of the top 25 significantly upregulated DEGs in French bulldogs that were not significant in boxers and Boston terriers.
Preprints 140355 g005
Figure 6. Barplots displaying the 50 DEGs with the largest difference in expression following treatment between French bulldogs and boxers/Boston terriers. Note that for some DEGs, the direction of log2 fold change post treatment compared to pre-treatment was opposite in French bulldogs versus boxers and Boston terriers.
Figure 6. Barplots displaying the 50 DEGs with the largest difference in expression following treatment between French bulldogs and boxers/Boston terriers. Note that for some DEGs, the direction of log2 fold change post treatment compared to pre-treatment was opposite in French bulldogs versus boxers and Boston terriers.
Preprints 140355 g006
Figure 7. Gene set enrichment analyses. (a) In French bulldogs; (b) In boxers and Boston terriers.
Figure 7. Gene set enrichment analyses. (a) In French bulldogs; (b) In boxers and Boston terriers.
Preprints 140355 g007
Disclaimer/Publisher’s Note: The statements, opinions and data contained in all publications are solely those of the individual author(s) and contributor(s) and not of MDPI and/or the editor(s). MDPI and/or the editor(s) disclaim responsibility for any injury to people or property resulting from any ideas, methods, instructions or products referred to in the content.
Copyright: This open access article is published under a Creative Commons CC BY 4.0 license, which permit the free download, distribution, and reuse, provided that the author and preprint are cited in any reuse.
Prerpints.org logo

Preprints.org is a free preprint server supported by MDPI in Basel, Switzerland.

Subscribe

Disclaimer

Terms of Use

Privacy Policy

Privacy Settings

© 2026 MDPI (Basel, Switzerland) unless otherwise stated