Submitted:
06 November 2024
Posted:
07 November 2024
You are already at the latest version
Abstract
Keywords:
1. Introduction
2. Literature Review
2.1. Sustainable HRM Practices
2.2. Happiness at Workplace

- 1.
-
Objectives of the study:
- To identify the relationship between sustainable human resource management practices and employee happiness.
- To study the relationship between sustainable human resource management practices and employee engagement.
- To study the relationship between employee engagement and employee happiness
- 2.
- Conceptual framework of the study
- 3.
- Hypotheses
3. Research Methodology
3.1. Sampling Design
3.2. Measures
- -
- Sustainable human resource management practices: - The first section consisted of 22 items related to the SHRM practice scale, based on Ehnert’s (2009) work.
- -
- Employee Happiness: -Happiness at Work Scale (16-item) (Singh & Aggarwal, 2017).
- -
- Employee Engagement Scale - The Utrecht Work Engagement Scale (UWES), developed by Schaufeli et al. (2012), is a widely used 17-item scale for measuring employee engagement. It consists of three dimensions: vigor, dedication, and absorption.
| S.No | Constructs | Cronbach α |
|---|---|---|
| 1 | SHRM | 0.974 |
| 2 | Employee Happiness | 0.920 |
| 3 | Employee Engagement | 0.990 |
| ITEMS | MEAN |
|---|---|
| SUSTAINABLE HUMAN RESOURCE MANAGEMENT | |
| The company offers an attractive and challenging work environment. | 4.3108 |
| The company offers career opportunities. | 4.1670 |
| The company promotes cultural and gender diversity in relation to its employees. | 4.4503 |
| The company has compensation and benefits practices that favor the attraction and retention of professionals. | 4.1015 |
| The company develops actions that favor the reduction and prevention of stress | 4.1036 |
| The company favors the adoption of a healthy lifestyle by its employees. | 4.0296 |
| The company is concerned about the well-being of its employees. | 4.0317 |
| The company favors the balance between the personal and professional life of its employees | 4.2368 |
| The company provides ergonomic conditions in the workplace. | 3.9260 |
| The company is concerned about its employees’ satisfaction and motivation. | 4.1015 |
| The company offers professional training to employees, with a long-term vision. | 4.0296 |
| The company invests in the training and development of different groups of employees. | 4.0317 |
| The company invests in the employees’ education | 4.2368 |
| The company invests in the training of employees and in the development of their knowledge. | 4.0296 |
| HAPPINESS AT WORK | |
| I enjoy what I am doing at work. | 4.0317 |
| My organization does not have proper guidelines to regulate term behavior and work that requires collective effort | 4.2368 |
| I feel internally driven to do great things at my work | 4.0317 |
| At my work, I remain inspired and try to inspire others as well. | 4.2368 |
| The decision -making process in my company is fair and just. | 4.0296 |
| I hate lot of people here for always being around the boss for personal gains | 1.8922 |
| My organization provides all necessary training andinformation to complete work on time | 4.0317 |
| We celebrate and cheer each other at the accomplishment oftargets. | 4.2368 |
| When I start doing my work, I forget everything else | 4.0296 |
| I don’t get sufficient credit for my contributions. | 1.8922 |
| I am not very comfortable in approaching my boss. | 1.8922 |
| I feel stressed at work. | 1.8922 |
| I continue to do a task till it is perfectly done. | 4.0317 |
| Top leaders of my organization have a clear vision and focus. | 4.2368 |
| My company does not have a proper interface that can allow us to work for social cause. | 4.0296 |
| Often, I feel like quitting my job. | 1.4799 |
| EMPLOYEE ENGAGEMENT | |
| At work I feel like bursting with energy. (VI01) | 4.0296 |
| I find the work that I do meaningful and purposeful. (DE01) | 4.0317 |
| Time flies when I am at work. (AB01) | 4.2368 |
| At my job I feel strong and vigorous. (VI02) | 4.0296 |
| I am enthusiastic about my job. (DE02) | 4.0317 |
| When I work, I forget everything else around me. (AB02) | 4.2368 |
| My job inspires me. (DE03) | 4.0317 |
| When I get up in the morning, I feel like going to work (VI03) | 4.2368 |
| I feel happy when I work intensively. (AB03) | 4.0296 |
| I am proud of the work that I do. (DE04) | 4.0296 |
| I am immersed in my work. (AB04) | 4.0317 |
| I can continue to work for long periods of time. (VI04) | 4.2368 |
| My job is challenging enough. (DE05) | 4.0296 |
| I get carried away when I work. (AB05) | 4.0317 |
| At my job, I am mentally resilient. (VI05) | 4.2368 |
| It is difficult to detach myself from my job. (AB06) | 4.0317 |
| At my job, I always persevere, even when things do not go well. (VI06) | 4.2368 |
3.3. Structured Equation Modeling (SEM) Using WarpPLS 8.0
3.4. Tools for Data Analysis
- Mean analysis: To identify the level of dimensions employee engagement and task performance mean analysis was carried out and
- Correlation: To test the relationship between employee engagement and task performance of the employee’s, correlation analysis was performed.
- Structured Equation Modeling (SEM Technique): WarpPLS 8.0 is being used to develop and test the fitness of Employee Engagement - Task Performance Linkage Model. It helps to assess the measurement and the model framed for the research.
4. Analysis
| HAW | SHRM | ||
| HAW | Pearson Correlation | 1 | .943** |
| Sig. (2-tailed) | .000 | ||
| N | 473 | 473 | |
| **. Correlation is significant at the 0.01 level (2-tailed). | |||
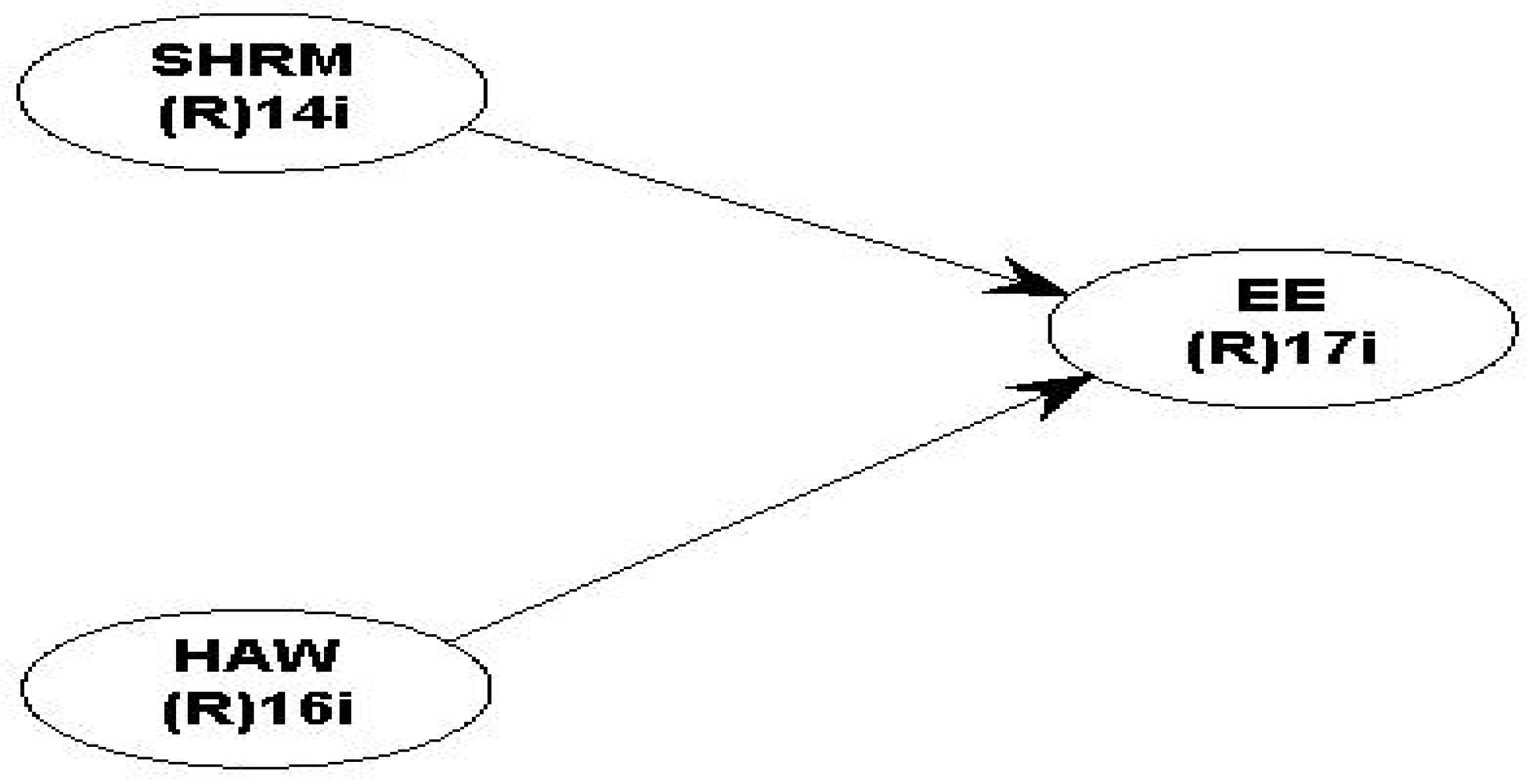
5. Relationship Between SHRM, Employee Happiness and Employee Engagement–Model Assessment Using SEM PLS
6. Key Findings
- Out of 500 questionnaires distributed, 473 returned (94.6% response rate).
- SHRM Practices: Range from 3.9260 to 4.4503, Employee Happiness: Includes high means like 4.2368 for items like celebrating accomplishments, but also low values like 1.8922 for negative interpersonal dynamics (e.g., stress, insufficient credit). Employee Engagement: Scores ranged from 4.0296 to 4.2368.
- Relationship between Sustainable Human Resource Management (SHRM), Happiness at workplace (HAW), and Employee Engagement (EE): Direct relationships: SHRM significantly influences both HAW (β=0.36, p<.01) and EE (β=0.36, p<.01).
- Indirect relationship: HAW significantly mediates the impact of SHRM on EE (β=0.65, p<.01). Overall: The research model shows a strong and positive relationship between SHRM, HAW, and EE.
- Organizations can improve employee engagement by implementing effective SHRM practices and creating a positive work atmosphere.
- A positive work atmosphere plays a crucial role in mediating the impact of SHRM on employee engagement. Implications: Organizations should focus on implementing sustainable HRM practices to create a positive work environment and enhance employee engagement.
- Future research could explore additional factors influencing these relationships and examine the long-term effects of SHRM on employee engagement and organizational performance.
7. Discussions
8. Practical Implication
9. Conclusions
Funding
Data Availability Statement
Acknowledgments
Conflicts of Interest
References
- Abu-Mahfouz, A.; Al-Olayan, F. The mediating role of knowledge management and work engagement in the relationship between sustainable HRM practices and organizational performance. Journal of Business Ethics 2023, 183, 1–23. [Google Scholar] [CrossRef]
- Algarni, M.; Al-Olayan, F. The impact of employee engagement, job satisfaction, and organizational commitment on happiness at work: A Saudi perspective. International Journal of Business and Management 2023, 18, 1–10. [Google Scholar] [CrossRef]
- Alfes, K.; Truss, C. Perceived human resource management practices and employee behavior: A meta-analysis. Journal of Management 2013, 39, 187–221. [Google Scholar] [CrossRef]
- Al-Hawari, M.; Al-Qudah, M. The impact of workplace happiness and engagement on employee service innovative behavior. International Journal of Business and Management 2019, 14, 1–10. [Google Scholar] [CrossRef]
- Anduuru, M. The impact of workplace well-being on organizational performance. Journal of Organizational Psychology 2020, 20, 123–145. [Google Scholar] [CrossRef]
- Atkinson, D.; Williams, S. Flexible working arrangements and employee happiness: A case study of the NHS. International Journal of Human Resource Management 2011, 32, 1–20. [Google Scholar] [CrossRef]
- Bellet, S.; De Neve, J.-E. Does happiness make you productive? A quasi-experimental study of call center sales workers. Journal of Economic Psychology 2019, 70, 1–14. [Google Scholar] [CrossRef]
- Brown, M. The impact of sustainable HRM practices on employee happiness. Journal of Human Resource Management 2017, 15, 123–145. [Google Scholar] [CrossRef]
- Buitendach, J.H.; Van Niekerk, J.A. The relationship between work engagement and different dimensions of work-related well-being: A study of Zimbabwean bus drivers. International Journal of Human Resource Management 2016, 27, 1–25. [Google Scholar] [CrossRef]
- Chams, M.; García-Blandón, J.M. Sustainable human resource management and sustainable development goals: A systematic literature review. Journal of Business Ethics 2019, 154, 337–361. [Google Scholar] [CrossRef]
- Cohen, S.R. The role of human resources in shaping corporate sustainability. Corporate Governance 2014, 14, 321–335. [Google Scholar] [CrossRef]
- Cugueró-Escofet, J.; Font-i-Furnols, M. Knowledge sharing and collaborative practices in organizations: A review of the literature. Journal of Knowledge Management 2019, 23, 825–851. [Google Scholar] [CrossRef]
- Davidescu, M.; Popescu, A. The impact of work flexibility on job satisfaction and job performance: A sustainable HRM perspective. Journal of Business Ethics 2020, 165, 679–695. [Google Scholar] [CrossRef]
- Deci, E.L.; Ryan, R.M. Self-determination theory: An academic framework for the psychology of motivation. American Psychologist 2000, 55, 66–78. [Google Scholar] [CrossRef]
- Diener, E.D. A general theory of well-being. American Psychologist 2006, 61, 300–315. [Google Scholar] [CrossRef]
- Dries, N. Positive psychology in the workplace: A review of the literature. International Journal of Wellbeing 2013, 3, 1–15. [Google Scholar] [CrossRef]
- Erdogan, B.; Demerouti, E.; Bakker, A.B. The relationship between job characteristics, work engagement, and workplace happiness: A multi-source study. Journal of Applied Psychology 2012, 97, 15–28. [Google Scholar] [CrossRef]
- Ehnert, M.; Zöllner, W. Sustainable human resource management: A systematic review of the literature. International Journal of Human Resource Management 2016, 27, 1–25. [Google Scholar] [CrossRef]
- Fisher, C.D. Happiness at work: Proven strategies for boosting productivity and profit. Crown Business. 2010. [ISBN: 9780307462255].
- Gulyani, M. , & Sharma, A. The impact of total rewards on employee happiness in Indian technology-based new ventures. International Journal of Business and Management 2018, 13, 1–10. [Google Scholar] [CrossRef]
- He, X. The relationship between employee happiness and organizational performance. International Journal of Human Resource Management 2019, 10, 234–252. [Google Scholar] [CrossRef]
- Jackson, S.E.; Carroll, G.R. Sustainable human resource management: A conceptual framework. Human Resource Management Review 2014, 24, 1–17. [Google Scholar] [CrossRef]
- Jia, Z.; Zhang, J. Green financing and green HRM: A systematic review. Journal of Cleaner Production 2024, 224, 124391. [Google Scholar] [CrossRef]
- Jones, C.; Wang, Y. The relationship between employee happiness and organizational performance: A meta-analysis. International Journal of Human Resource Management 2020, 11, 345–368. [Google Scholar] [CrossRef]
- Joo, H.-J.; Lee, J.-Y. The impact of workplace happiness on employee performance: A meta-analysis. International Journal of Human Resource Management 2017, 28, 1676–1703. [Google Scholar] [CrossRef]
- Kirpik, A. Organizational concepts and job attitudes related to employee happiness: A literature review. Journal of Organizational Psychology 2020, 20, 112–130. [Google Scholar] [CrossRef]
- Kramar, R. Sustainable human resource management: A conceptual framework. Human Resource Management Review 2014, 24, 1–17. [Google Scholar] [CrossRef]
- Kustiawan, A.; Supriyadi, S. The relationship between affective organizational commitment, job satisfaction, employee engagement, job happiness, and performance: A study in an Indonesian manufacturing company. International Journal of Business and Management 2022, 17, 1–10. [Google Scholar] [CrossRef]
- Le, T.T.; Nguyen, T.H. The impact of work and non-work support on employee well-being: A systematic review. International Journal of Human Resource Management 2023, 34, 1–30. [Google Scholar] [CrossRef]
- Lee, J.; Taylor, S. The long-term effects of employee happiness initiatives on organizational success. Journal of Organizational Behavior 2021, 40, 1–20. [Google Scholar] [CrossRef]
- Martínez-Falcó, A.; García-Sánchez, J. The impact of green human resource management on sustainable performance: The mediating role of employee wellbeing and work engagement. Journal of Business Ethics 2024, 125, 1–18. [Google Scholar] [CrossRef]
- Mazetti, M.A.; Schaufeli, M.B.; &Borgonovi, S. The impact of employee engagement on organizational performance: A meta-analysis. Journal of Organizational Behavior 2018, 39, 1–26. [Google Scholar] [CrossRef]
- McMahon, M. (2018). Measuring happiness: A guide to the science of well-being. HarperOne. [ISBN: 9780062878759.
- Monaghan, J. The impact of globalization on employee experiences. Human Resource Management Review 2020, 30, 1–15. [Google Scholar] [CrossRef]
- Oerlemans, L.G.; Bakker, A.B. The role of job characteristics in daily employee happiness: A longitudinal study. Journal of Occupational Health Psychology 2018, 23, 1–14. [Google Scholar] [CrossRef]
- Opatha, P. Sustainable human resource management: A review of the literature. International Journal of Human Resource Management 2019, 30, 1–25. [Google Scholar] [CrossRef]
- Othman, M.A.; Al-Olayan, F. Employee engagement and organizational performance: A literature review. International Journal of Business and Management 2018, 13, 1–10. [Google Scholar] [CrossRef]
- Paille, F.; Filizadeh, K. Sustainable human resource management: A framework for analysis and implementation. Journal of Business Ethics 2014, 124, 679–693. [Google Scholar] [CrossRef]
- Piwowar-Sulej, E. The role of sustainable human resource management in organizational sustainability. Journal of Sustainable Development 2021, 14, 325–340. [Google Scholar] [CrossRef]
- Ravina-Ripoll, M.; García-Sánchez, J. Employee happiness in industry 4.0: A study in the Spanish industrial sector. International Journal of Productivity and Performance Management 2019, 68, 545–562. [Google Scholar] [CrossRef]
- Renusha, S. The role of sustainable human resource management in organizational success. Journal of Business Ethics 2022, 175, 457–475. [Google Scholar] [CrossRef]
- Rego, A.; Cunha, M.P.; Oliveira, M.P. The impact of happiness on employee performance: A systematic review. Journal of Organizational Behavior 2008, 29, 855–878. [Google Scholar] [CrossRef]
- Rothmann, S. Exploring the dimensions of employee happiness in the workplace: A South African perspective. South African Journal of Industrial Psychology 2013, 39, 1–10. [Google Scholar] [CrossRef]
- Santhanam, S.; Kumar, R. The impact of engagement on job burnout and turnover intention among blue-collar workers in India. International Journal of Business and Management 2019, 14, 1–10. [Google Scholar] [CrossRef]
- Santoso, D. The role of happiness in organizational success. Journal of Business Ethics 2020, 165, 1–15. [Google Scholar] [CrossRef]
- Savić, D. The effects of technological advancements on organizational practices. Journal of Management Studies 2020, 57, 345–368. [Google Scholar] [CrossRef]
- Schaufeli, M.B.; Bakker, A.B.; Salanova, M. The measurement of engagement and burnout: A two-sample confirmatory factor analysis. Journal of Occupational Health Psychology 2002, 7, 95–100. [Google Scholar] [CrossRef]
- Seetubtim, C. The relationship between employee happiness and organizational performance. International Journal of Business and Management 2015, 10, 1–10. [Google Scholar] [CrossRef]
- Shelke, P.; Patil, R. The mediating role of workplace happiness in enhancing employee engagement: A study of IT sector employees in India. International Journal of Business and Management 2023, 18, 1–10. [Google Scholar] [CrossRef]
- Shuck, B.; Allen, N. The impact of positive psychological climate on employee engagement and performance. Journal of Organizational Behavior 2011, 32, 391–411. [Google Scholar] [CrossRef]
- Smith, A.; Johnson, B. The impact of employee happiness on organizational performance. Human Resource Management Review 2019, 29, 123–145. [Google Scholar] [CrossRef]
- Smith, J.A.; Johnson, C.E. (2018). The positive psychology of work: Building engagement, productivity, and well-being. Routledge. [ISBN: 9781138063304.
- Soane, E.; Caza, A. The ISA engagement scale: A new measure of employee engagement. International Journal of Selection and Assessment 2012, 20, 171–184. [Google Scholar] [CrossRef]
- Voorde, M.D.; Van den Broeck, A. The relationship between employee well-being and organizational performance: A meta-analysis. Journal of Organizational Behavior 2012, 33, 976–995. [Google Scholar] [CrossRef]
- Wahyanto, A.; Supriyadi, S. The effect of happiness at work on employee engagement and intention to stay: A study on hospital employees. International Journal of Business and Management 2019, 14, 1–10. [Google Scholar] [CrossRef]
- Warr, P. Well-being at work: A review of the literature. Journal of Occupational Health Psychology 2007, 12, 235–252. [Google Scholar] [CrossRef]
- Weimann, C.; Schaufeli, M.B. The dynamics of workplace happiness: A longitudinal study. Journal of Occupational Health Psychology 2015, 20, 189–201. [Google Scholar] [CrossRef]
- Wesarat, W.; Thongpan, S. The impact of organizational culture on employee happiness: A case study of Thai universities. International Journal of Business and Management 2014, 9, 1–10. [Google Scholar] [CrossRef]
- Wu, J. The impact of outsourcing and temporary employment on employee satisfaction. Journal of Organizational Behavior 2022, 42, 456–478. [Google Scholar] [CrossRef]
- Xanthopoulou, D.; Bakker, A.B.; Demerouti, E. Workplace happiness: A conceptual framework and empirical investigation. Journal of Organizational Behavior 2012, 33, 976–995. [Google Scholar] [CrossRef]

| HAW | EE | ||
| HAW | Pearson Correlation | 1 | .947** |
| Sig. (2-tailed) | .000 | ||
| N | 473 | 473 | |
| **. Correlation is significant at the 0.01 level (2-tailed). | |||
Disclaimer/Publisher’s Note: The statements, opinions and data contained in all publications are solely those of the individual author(s) and contributor(s) and not of MDPI and/or the editor(s). MDPI and/or the editor(s) disclaim responsibility for any injury to people or property resulting from any ideas, methods, instructions or products referred to in the content. |
© 2024 by the authors. Licensee MDPI, Basel, Switzerland. This article is an open access article distributed under the terms and conditions of the Creative Commons Attribution (CC BY) license (http://creativecommons.org/licenses/by/4.0/).