Submitted:
28 October 2024
Posted:
30 October 2024
You are already at the latest version
Abstract
Keywords:
1. Introduction
- We proposed and study the RIS-aided wireless communication system with the path loss model working in lower frequency band and mmWave band, which considers projected aperture, power radiation pattern, the number and the length of RIS elements, as well as elevation and azimuth angles of BS and user. Furthermore, the upper bound expressions of achievable capacity are derived, respectively.
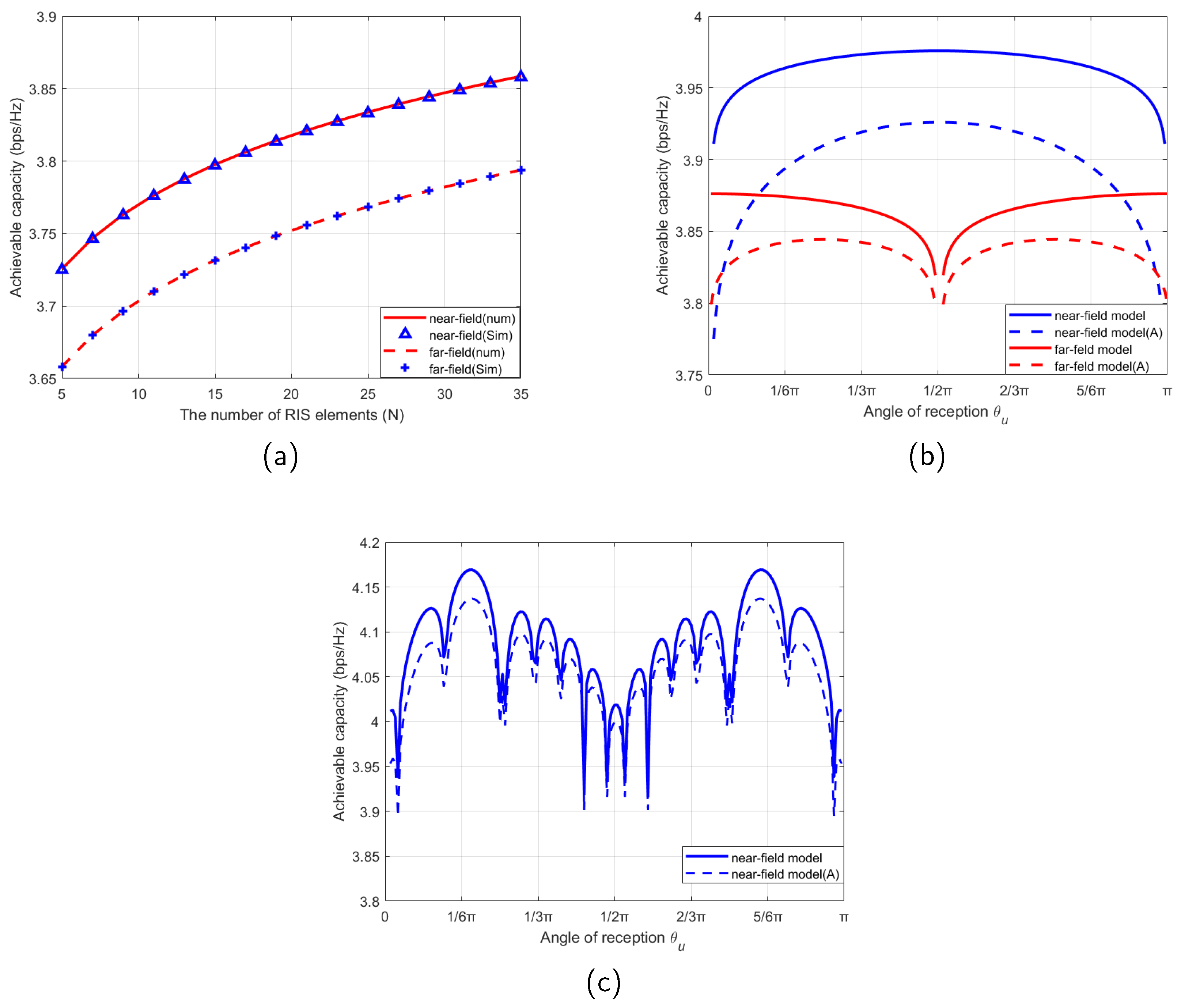
- The impacts of RIS element number and RIS element length on the achievable capacity are studied by utilizing the upper bound expressions. Simulation results indicate that the achievable capacity is significantly improved by increasing the element number or the element dimension of RIS in both lower frequency band and mmWave band. In addition, we illustrate the results of the achievable capacity as a function of the elevation angle from center of the RIS to the user.
2. System Model

3. Performance Analysis
3.1. Performance for in Far Field
3.2. Performance for in Near Field
4. Numerical Results



5. Conclusion
References
- Mu, X.; Xu, J.; Liu, Y.; Hanzo, L. Reconfigurable Intelligent Surface-Aided Near-Field Communications for 6G: Opportunities and Challenges. IEEE Veh. Technol. Mag. 2024, 19, 65–74. [CrossRef]
- Ha, D.-H.; Duy, T.T.; Son, P.N.; Le-Tien, T.; Voznak, M. Security-reliability trade-off analysis for rateless codes-based relaying protocols using NOMA, cooperative jamming and partial relay selection. IEEE Access 2021, 9, 131087–131108. [CrossRef]
- Huang, J; et al. Reconfigurable Intelligent Surfaces: Channel Characterization and Modeling. Proceedings of the IEEE 2022, 110, 1290–1311. [CrossRef]
- Cheng, Y.; Huang, C.; Peng, W.; Debbah, M.; Hanzo, L.; Yuen, C. Achievable Rate Optimization of the RIS-Aided Near-Field Wideband Uplink. IEEE Trans. Wireless Commun. 2024, 23, 2296–2311. [CrossRef]
- Tian, J.; Han, Y.; Jin, S.; Li, X.; Zhang, J.; Matthaiou, M. Near-Field Channel Reconstruction in Sensing RIS-Assisted Wireless Communication Systems. IEEE Trans. Wireless Commun. 2024, to appera.
- Bian, M.; Shi, Y.; Huang, Y.; Tang, X.-W. QoS-aware energy storage maximization in the RIS-aided joint-SWIPT-MEC System. IEEE Commun. Lett. 2023, 27, 3434–3438. [CrossRef]
- Ghadi, F.R.; López-Martínez, F.J. RIS-Aided Communications Over Dirty MAC: Capacity Region and Outage Probability. IEEE Commun. Lett. 2023, 27, 2009–2013. [CrossRef]
- Wang, Y.; Zhang, Y.; Ren, Y.; Pang, L.; Chen, Y.; Li, J.; Joint BS-RIS-User Association and Deployment Design for Multi-RIS-Aided Wireless Networks. IEEE Commun. Lett. 2024, 28, 2181–2185. [CrossRef]
- Demir, Ö. T.; Björnson, E. Wideband Channel Capacity Maximization With Beyond Diagonal RIS Reflection Matrices. IEEE Wireless Commun. Lett. 2024, to appera.
- Liu, Y.; Wang, Z.; Xu,J.; Ouyang, C.; Mu, X.; Schober, R. Near-Field Communications: A Tutorial Review. IEEE Open Journal of the Communications Society 2023, 4, 1999–2049. [CrossRef]
- Jin, Y.; Qi, H. Near-Field Channel Estimation for RIS Assisted 6G Wireless Communication. 2023 IEEE International Conference on Signal Processing, Communications and Computing (ICSPCC) 2023, 1–6.
- Zhang, X.;Zhang, H. Hybrid Reconfigurable Intelligent Surfaces-Assisted Near-Field Localization. IEEE Commun. Lett. 2023, 27, 135–139. [CrossRef]
- Lv, S.; Liu, Y.; Xu, X.; Nallanathan, A.; Swindlehurst, A.L. RIS-Aided Near-Field MIMO Communications: Codebook and Beam Training Design. IEEE Trans. Wireless Commun. 2024, 23, 12531–12546. [CrossRef]
- Xu, J.; Mu, X.; Liu, Y. Exploiting STAR-RISs in Near-Field Communications. IEEE Trans. Wireless Commun. 2024, 23, 2181–2181. [CrossRef]
- Emenonye, D.-R.; Dhillon, H.S.; Buehrer, R.M. RIS-Aided Localization Under Position and Orientation Offsets in the Near and Far Field. IEEE Trans. Wireless Commun. 2023, 22, 9327–9345. [CrossRef]
- Yang, S.; Lyu, W.; Hu, Z.; Zhang, Z.; Yuen, C. Channel Estimation for Near-Field XL-RIS-Aided mmWave Hybrid Beamforming Architectures. IEEE Trans. Veh. Technol. 2023, 72, 11029–11034. [CrossRef]
- Zhang, X.; Wang, Z.; Zhang, H.; Yang, L. Near-Field Channel Estimation for Extremely Large-Scale Array Communications: A Model-Based Deep Learning Approach. IEEE Commun. Lett. 2023, 27, 1155–1159. [CrossRef]
- Gan, X.; Huang, C.; Yang, Z.; Zhong, C.; Zhang, Z.; Near-Field Localization for Holographic RIS Assisted mmWave Systems. IEEE Commun. Lett. 2023, 27, 140–144. [CrossRef]
- Tang, W.; et al. Wireless Communications with Reconfigurable Intelligent Surface: Path Loss Modeling and Experimental Measurement. IEEE Trans. Wireless Commun. 2021, 20, 421–439. [CrossRef]
- Gradshteyn, I.S.; Ryzhik, I.M. Table of Integrals, Series, and Products. New York, NY, USA: Academic 2007, 7.
Disclaimer/Publisher’s Note: The statements, opinions and data contained in all publications are solely those of the individual author(s) and contributor(s) and not of MDPI and/or the editor(s). MDPI and/or the editor(s) disclaim responsibility for any injury to people or property resulting from any ideas, methods, instructions or products referred to in the content. |
© 2024 by the authors. Licensee MDPI, Basel, Switzerland. This article is an open access article distributed under the terms and conditions of the Creative Commons Attribution (CC BY) license (http://creativecommons.org/licenses/by/4.0/).
