Submitted:
21 October 2024
Posted:
21 October 2024
You are already at the latest version
Abstract
Keywords:
1. Introduction
2. Materials and Methods
2.1. Dataset
2.2. Data Analysis
2.3. LLM labeling
3. Results
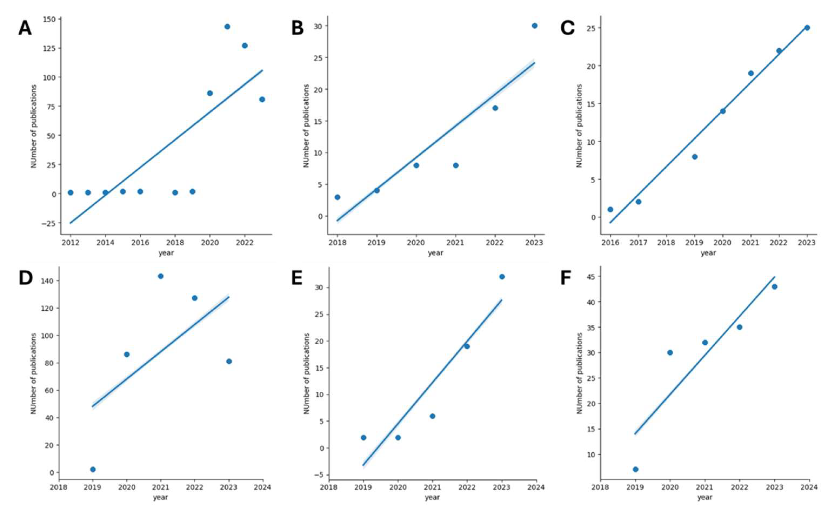
3.2. Low magnification overview of the research landscape
4. Discussion
5. Conclusions
Supplementary Materials
Author Contributions
Funding
Institutional Review Board Statement
Informed Consent Statement
Data Availability Statement
Conflicts of Interest
References
- Dentino, A.; Lee, S.; Mailhot, J.; Hefti, A.F. Principles of Periodontology. Periodontol 2000 2013, 61, 16–53. [Google Scholar] [CrossRef] [PubMed]
- Raj, S.C.; Tabassum, S.; Mahapatra, A.; Patnaik, K. Interdisciplinary Periodontics. In Periodontology-Fundamentals and Clinical Features; IntechOpen, 2021 ISBN 1838806792.
- Lyons, K.M.; Darby, I. Interdisciplinary Periodontics: The Multidisciplinary Approach to the Planning and Treatment of Complex Cases. Periodontol 2000 2017, 74, 7–10. [Google Scholar] [CrossRef] [PubMed]
- Landhuis, E. Scientific Literature: Information Overload. Nature 2016, 535, 457–458. [Google Scholar] [CrossRef] [PubMed]
- Stephens, K.S.; White, B.P. Keeping Up With the Literature: New Solutions for an Old Problem. J Pharm Pract 2022, 08971900221131907. [Google Scholar] [CrossRef]
- Larsen, P.; Von Ins, M. The Rate of Growth in Scientific Publication and the Decline in Coverage Provided by Science Citation Index. Scientometrics 2010, 84, 575–603. [Google Scholar] [CrossRef]
- Clapham, P. Publish or Perish. Bioscience 2005, 55, 390–391. [Google Scholar] [CrossRef]
- Bramer, W.M.; Rethlefsen, M.L.; Kleijnen, J.; Franco, O.H. Optimal Database Combinations for Literature Searches in Systematic Reviews: A Prospective Exploratory Study. Syst Rev 2017, 6, 1–12. [Google Scholar] [CrossRef]
- Appadurai, A. Modernity at Large: Cultural Dimensions of Globalization; U of Minnesota Press, 1996; Vol. 1; ISBN 145290006X.
- Delen, D.; Crossland, M.D. Seeding the Survey and Analysis of Research Literature with Text Mining. Expert Syst Appl 2008, 34, 1707–1720. [Google Scholar] [CrossRef]
- Vayansky, I.; Kumar, S.A.P. A Review of Topic Modeling Methods. Inf Syst 2020, 94, 101582. [Google Scholar] [CrossRef]
- Kavvadias, S.; Drosatos, G.; Kaldoudi, E. Supporting Topic Modeling and Trends Analysis in Biomedical Literature. J Biomed Inform 2020, 110, 103574. [Google Scholar] [CrossRef]
- Cao, Q.; Cheng, X.; Liao, S. A Comparison Study of Topic Modeling Based Literature Analysis by Using Full Texts and Abstracts of Scientific Articles: A Case of COVID-19 Research. Library Hi Tech 2023, 41, 543–569. [Google Scholar] [CrossRef]
- Abdelrazek, A.; Eid, Y.; Gawish, E.; Medhat, W.; Hassan, A. Topic Modeling Algorithms and Applications: A Survey. Inf Syst 2023, 112, 102131. [Google Scholar] [CrossRef]
- Kherwa, P.; Bansal, P. Topic Modeling: A Comprehensive Review. ICST Transactions on Scalable Information Systems 2018, 0, 159623. [Google Scholar] [CrossRef]
- Basmatkar, P.; Maurya, M. An Overview of Contextual Topic Modeling Using Bidirectional Encoder Representations from Transformers. In; 2022; pp. 489–504.
- Grootendorst, M. BERTopic: Neural Topic Modeling with a Class-Based TF-IDF Procedure. arXiv preprint arXiv:2203.05794, arXiv:2203.05794 2022.
- Devlin, J.; Chang, M.-W.; Lee, K.; Toutanova, K. BERT: Pre-Training of Deep Bidirectional Transformers for Language Understanding. In Proceedings of the Proceedings of the 2019 Conference of the North; Association for Computational Linguistics: Stroudsburg, PA, USA, 2019; pp. 4171–4186. [Google Scholar]
- Mikolov, T.; Chen, K.; Corrado, G.; Dean, J. Efficient Estimation of Word Representations in Vector Space. arXiv preprint arXiv:1301.3781, arXiv:1301.3781 2013.
- Pennington, J.; Socher, R.; Manning, C.D. GloVe: Global Vectors for Word Representation. Proceedings of the 2014 Conference on Empirical Methods in Natural Language Processing 2014, 1532–1543. [Google Scholar]
- Yuan, W.; Lei, Y.; Guo, X. Research on Text Similarity Calculation Based on BERT and Word2Vec. In Proceedings of the ICETIS 2022; 2022, 7th International Conference on Electronic Technology and Information Science; VDE; pp. 1–4.
- Shen, Y.; Liu, J. Comparison of Text Sentiment Analysis Based on Bert and Word2vec. In Proceedings of the 2021 IEEE 3rd International Conference on Frontiers Technology of Information and Computer (ICFTIC); IEEE; 2021; pp. 144–147. [Google Scholar]
- Thirunavukarasu, A.J.; Ting, D.S.J.; Elangovan, K.; Gutierrez, L.; Tan, T.F.; Ting, D.S.W. Large Language Models in Medicine. Nat Med 2023, 29, 1930–1940. [Google Scholar] [CrossRef]
- Chang, Y.; Wang, X.; Wang, J.; Wu, Y.; Yang, L.; Zhu, K.; Chen, H.; Yi, X.; Wang, C.; Wang, Y. A Survey on Evaluation of Large Language Models. ACM Trans Intell Syst Technol 2023. [Google Scholar] [CrossRef]
- Wei, J.; Tay, Y.; Bommasani, R.; Raffel, C.; Zoph, B.; Borgeaud, S.; Yogatama, D.; Bosma, M.; Zhou, D.; Metzler, D. Emergent Abilities of Large Language Models. arXiv preprint arXiv:2206.07682, arXiv:2206.07682 2022.
- Bassi, S. A Primer on Python for Life Science Researchers. PLoS Comput Biol 2007, 3, e199. [Google Scholar] [CrossRef]
- Jia, Z.; Maggioni, M.; Smith, J.; Scarpazza, D.P. Dissecting the NVidia Turing T4 GPU via Microbenchmarking. arXiv preprint arXiv:1903.07486, arXiv:1903.07486 2019.
- Cock, P.J.A.; Antao, T.; Chang, J.T.; Chapman, B.A.; Cox, C.J.; Dalke, A.; Friedberg, I.; Hamelryck, T.; Kauff, F.; Wilczynski, B. Biopython: Freely Available Python Tools for Computational Molecular Biology and Bioinformatics. Bioinformatics 2009, 25, 1422–1423. [Google Scholar] [CrossRef]
- Mckinney, W. Data Structures for Statistical Computing in Python. In Proceedings of the Proceedings of the 9th Python in Science Conference; pp. 201051–56.
- Cook, D.A.; Beckman, T.J.; Bordage, G. A Systematic Review of Titles and Abstracts of Experimental Studies in Medical Education: Many Informative Elements Missing. Med Educ 2007, 41, 1074–1081. [Google Scholar] [CrossRef]
- Hartley, J. Planning That Title: Practices and Preferences for Titles with Colons in Academic Articles. Libr Inf Sci Res 2007, 29, 553–568. [Google Scholar] [CrossRef]
- Guizzardi, S.; Colangelo, M.T.; Mirandola, P.; Galli, C. Modeling New Trends in Bone Regeneration, Using the BERTopic Approach. Regenerative Med 2023, 18, 719–734. [Google Scholar] [CrossRef] [PubMed]
- Saif, H.; Fernandez, M.; He, Y.; Alani, H. On Stopwords, Filtering and Data Sparsity for Sentiment Analysis of Twitter. 2014.
- Gutiérrez, L.; Keith, B. A Systematic Literature Review on Word Embeddings. In Proceedings of the Trends and Applications in Software Engineering: Proceedings of the 7th International Conference on Software Process Improvement (CIMPS 2018) 7; pp. 2019132–141.
- Wang, S.; Zhou, W.; Jiang, C. A Survey of Word Embeddings Based on Deep Learning. Computing 2020, 102, 717–740. [Google Scholar] [CrossRef]
- Vaswani, A.; Shazeer, N.; Parmar, N.; Uszkoreit, J.; Jones, L.; Gomez, A.N.; Kaiser, Ł.; Polosukhin, I. Attention Is All You Need. Adv Neural Inf Process Syst 2017, 30. [Google Scholar]
- Liu, Q.; Kusner, M.J.; Blunsom, P. A Survey on Contextual Embeddings. arXiv preprint arXiv:2003.07278, arXiv:2003.07278 2020.
- Galli, C.; Donos, N.; Calciolari, E. Performance of 4 Pre-Trained Sentence Transformer Models in the Semantic Query of a Systematic Review Dataset on Peri-Implantitis. Information 2024, 15, 68. [Google Scholar] [CrossRef]
- McInnes, L.; Healy, J.; Melville, J. Umap: Uniform Manifold Approximation and Projection for Dimension Reduction. arXiv preprint arXiv:1802.03426, arXiv:1802.03426 2018.
- McInnes, L.; Healy, J.; Astels, S. Hdbscan: Hierarchical Density Based Clustering. J. Open Source Softw. 2017, 2, 205. [Google Scholar] [CrossRef]
- Qaiser, S.; Ali, R. Text Mining: Use of TF-IDF to Examine the Relevance of Words to Documents. Int J Comput Appl 2018, 181, 25–29. [Google Scholar] [CrossRef]
- Xu, D.D.; Wu, S.B. An Improved TFIDF Algorithm in Text Classification. Applied Mechanics and Materials 2014, 651, 2258–2261. [Google Scholar] [CrossRef]
- Issa, B.; Jasser, M.B.; Chua, H.N.; Hamzah, M. A Comparative Study on Embedding Models for Keyword Extraction Using KeyBERT Method. In Proceedings of the 2023 IEEE 13th International Conference on System Engineering and Technology (ICSET); IEEE; 2023; pp. 40–45. [Google Scholar]
- Zhang, Y.; Jin, R.; Zhou, Z.-H. Understanding Bag-of-Words Model: A Statistical Framework. International journal of machine learning and cybernetics 2010, 1, 43–52. [Google Scholar] [CrossRef]
- Bennani-Smires, K.; Musat, C.; Hossmann, A.; Baeriswyl, M.; Jaggi, M. Simple Unsupervised Keyphrase Extraction Using Sentence Embeddings. arXiv preprint arXiv:1801.04470, arXiv:1801.04470 2018.
- Teknium Teknium/OpenHermes-2.5-Mistral-7B Available online:. Available online: https://huggingface.co/teknium/OpenHermes-2.5-Mistral-7B (accessed on 10 February 2024).
- Thirunavukarasu, A.J.; Ting, D.S.J.; Elangovan, K.; Gutierrez, L.; Tan, T.F.; Ting, D.S.W. Large Language Models in Medicine. Nat Med 2023, 29, 1930–1940. [Google Scholar] [CrossRef]
- Park, S.; Choi, J.; Lee, S.; Kang, U. A Comprehensive Survey of Compression Algorithms for Language Models. arXiv preprint arXiv:2401.15347, arXiv:2401.15347 2024.
- Kaddour, J.; Harris, J.; Mozes, M.; Bradley, H.; Raileanu, R.; McHardy, R. Challenges and Applications of Large Language Models. arXiv preprint arXiv:2307.10169, arXiv:2307.10169 2023.
- Meskó, B. Prompt Engineering as an Important Emerging Skill for Medical Professionals: Tutorial. J Med Internet Res 2023, 25, e50638. [Google Scholar] [CrossRef]
- Akre, P.; Malu, R.; Jha, A.; Tekade, Y.; Bisen, W. Sentiment Analysis Using Opinion Mining on Customer Review. International Journal of Engineering and Management Research 2023, 13, 41–44. [Google Scholar]
- Hunter, J.D. Matplotlib: A 2D Graphics Environment. Comput Sci Eng 2007, 9. [Google Scholar] [CrossRef]
- Waskom, M. Seaborn: Statistical Data Visualization. J Open Source Softw 2021, 6. [Google Scholar] [CrossRef]
- Lavanya, A.; Gaurav, L.; Sindhuja, S.; Seam, H.; Joydeep, M.; Uppalapati, V.; Ali, W.; SD, V.S. Assessing the Performance of Python Data Visualization Libraries: A Review. 2023.
- Virtanen, P.; Gommers, R.; Oliphant, T.E.; Haberland, M.; Reddy, T.; Cournapeau, D.; Burovski, E.; Peterson, P.; Weckesser, W.; Bright, J. SciPy 1.0: Fundamental Algorithms for Scientific Computing in Python. Nat Methods 2020, 17, 261–272. [Google Scholar] [CrossRef]
- Albandar, J.M. Disparities and Social Determinants of Periodontal Diseases. Periodontol 2000 2024. [Google Scholar] [CrossRef]
- Bond, J.C.; Casey, S.M.; McDonough, R.; McLone, S.G.; Velez, M.; Heaton, B. Validity of Individual Self-report Oral Health Measures in Assessing Periodontitis for Causal Research Applications. J Periodontol 2024. [Google Scholar] [CrossRef]
- Collins, J.R.; Rivas-Tumanyan, S.; Santosh, A.B.R.; Boneta, A.E. Periodontal Health Knowledge and Oral Health-Related Quality of Life in Caribbean Adults. Oral Health Prev Dent 2024, 22, 9–22. [Google Scholar]
- Noh, M.; Kim, E.; Sakong, J.; Park, E.Y. Effects of Professional Toothbrushing among Patients with Gingivitis. Int J Dent Hyg 2023, 21, 611–617. [Google Scholar] [CrossRef]
- Salari, A.; Alavi, F.N.; Aliaghazadeh, K.; Nikkhah, M. Effect of Milk as a Mouthwash on Dentin Hypersensitivity after Non-Surgical Periodontal Treatment. Journal of Advanced Periodontology & Implant Dentistry 2022, 14, 104. [Google Scholar]
- Bhuyan, R.; Pati, T.; Panda, N.R.; Mohanty, J.N.; Bhuyan, S.K. A Six-Month Single-Center Study in 2021 on Oral Manifestations during Pregnancy in Bhubaneswar, India. Iran J Med Sci 2023, 48, 350. [Google Scholar]
- Kamalabadi, Y.M.; Campbell, M.K.; Zitoun, N.M.; Jessani, A. Unfavourable Beliefs about Oral Health and Safety of Dental Care during Pregnancy: A Systematic Review. BMC Oral Health 2023, 23, 762. [Google Scholar] [CrossRef] [PubMed]
- Carrouel, F.; Kanoute, A.; Lvovschi, V.-E.; Bourgeois, D. Periodontal Pathogens of the Interdental Microbiota in a 3 Months Pregnant Population with an Intact Periodontium. Front Microbiol 2023, 14. [Google Scholar] [CrossRef] [PubMed]
- Zhu, Y.; Lu, H.; Yang, S.; Liu, Y.; Zhu, P.; Li, P.; De Waal, Y.C.M.; Visser, A.; Tjakkes, G.-H.E.; Li, A. Predictive Factors for the Treatment Success of Peri-Implantitis: A Protocol for a Prospective Cohort Study. BMJ Open 2024, 14, e072443. [Google Scholar] [CrossRef] [PubMed]
- AlHelal, A.A.; Alzaid, A.A.; Almujel, S.H.; Alsaloum, M.; Alanazi, K.K.; Althubaitiy, R.O.; Al-Aali, K.A. Evaluation of Peri-Implant Parameters and Functional Outcome of Immediately Placed and Loaded Mandibular Overdentures: A 5-Year Follow-up Study. Oral Health Prev Dent 2024, 22, 23–30. [Google Scholar] [PubMed]
- Chang, S.-W.; Shin, S.-Y.; Hong, J.-R.; Yang, S.-M.; Yoo, H.-M.; Park, D.-S.; Oh, T.-S.; Kye, S.-B. Immediate Implant Placement into Infected and Noninfected Extraction Sockets: A Pilot Study. Oral Surgery, Oral Medicine, Oral Pathology, Oral Radiology, and Endodontology 2009, 107, 197–203. [Google Scholar] [CrossRef]
- Malkoc, M.A.; Sevimay, M.; Yaprak, E. The Use of Zirconium and Feldspathic Porcelain in the Management of the Severely Worn Dentition: A Case Report. Eur J Dent 2009, 3, 75–78. [Google Scholar] [CrossRef]
- Lee, C.-G.; Jin, G.; Lim, J.-H.; Liu, Y.; Afrashtehfar, K.I.; Kim, J.-E. Influence of Hydrothermal Aging on the Shear Bond Strength of 3D Printed Denture-Base Resin to Different Relining Materials. J Mech Behav Biomed Mater 2024, 149, 106221. [Google Scholar] [CrossRef]
- Ventura, J.V.L.; Vogel, J. de O.; Cortezzi, E.B. de A.; de Arruda, J.A.A.; Cunha, J.L.S.; Andrade, B.A.B. de; Tenório, J.R. Diagnosis and Management of Exuberant Palatal Pyogenic Granuloma in a Systemically Compromised Patient–Case Report. Special Care in Dentistry.
- Rathi, N.; Reche, A.; Agrawal, S.; Agrawal, S.R. Radicular Cyst: A Cystic Lesion Involving the Hard Palate. Cureus 2023, 15. [Google Scholar] [CrossRef]
- Sandhu, A.; Jyoti, D.; Malhotra, R.; Phull, T.; Sidhu, H.S.; Nayak, S. Management of Chronic Inflammatory Gingival Enlargement: A Short Review and Case Report. Cureus 2023, 15. [Google Scholar] [CrossRef]
- Krieger, M.; AbdelRahman, Y.M.; Choi, D.; Palmer, E.A.; Yoo, A.; McGuire, S.; Kreth, J.; Merritt, J. The Prevalence of Fusobacterium Nucleatum Subspecies in the Oral Cavity Stratifies by Local Health Status. bioRxiv 2023, 2010–2023. [Google Scholar]
- Molli, V.L.P.; Kissa, J.; Baraniya, D.; Gharibi, A.; Chen, T.; Al-Hebshi, N.N.; Albandar, J.M. Bacteriome Analysis of Aggregatibacter Actinomycetemcomitans-JP2 Genotype-Associated Grade C Periodontitis in Moroccan Adolescents. Frontiers in Oral Health 2023, 4. [Google Scholar] [CrossRef] [PubMed]
- Demirel, K.J.; Wu, R.; Guimaraes, A.N.; Demirel, I. The Role of NLRP3 in Regulating Gingival Epithelial Cell Responses Evoked by Aggregatibacter Actinomycetemcomitans. Cytokine 2023, 169, 156316. [Google Scholar] [CrossRef] [PubMed]
- Schuster, A.; Nieboga, E.; Kantorowicz, M.; Lipska, W.; Kaczmarzyk, T.; Potempa, J.; Grabiec, A.M. Gingival Fibroblast Activation by Porphyromonas Gingivalis Is Driven by TLR2 and Is Independent of the LPS-TLR4 Axis. Eur J Immunol 2024, 2350776. [Google Scholar] [CrossRef]
- Rams, T.E.; Sautter, J.D.; van Winkelhoff, A.J. Emergence of Antibiotic-Resistant Porphyromonas Gingivalis in United States Periodontitis Patients. Antibiotics 2023, 12, 1584. [Google Scholar] [CrossRef]
- Kramer, P.R.; Kramer, S.F.; Puri, J.; Grogan, D.; Guan, G. Multipotent Adult Progenitor Cells Acquire Periodontal Ligament Characteristics in Vivo. Stem Cells Dev 2009, 18, 67–76. [Google Scholar] [CrossRef]
- Peng, L.; Cheng, X.; Zhuo, R.; Lan, J.; Wang, Y.; Shi, B.; Li, S. Novel Gene-activated Matrix with Embedded Chitosan/Plasmid DNA Nanoparticles Encoding PDGF for Periodontal Tissue Engineering. Journal of Biomedical Materials Research Part A: An Official Journal of The Society for Biomaterials, The Japanese Society for Biomaterials, and The Australian Society for Biomaterials and the Korean Society for Biomaterials 2009, 90, 564–576. [Google Scholar] [CrossRef]
- Ripamonti, U.; Petit, J.; Teare, J. Cementogenesis and the Induction of Periodontal Tissue Regeneration by the Osteogenic Proteins of the Transforming Growth Factor-β Superfamily. J Periodontal Res 2009, 44, 141–152. [Google Scholar] [CrossRef]
- Shen, Z.; Zhang, R.; Huang, Y.; Chen, J.; Yu, M.; Li, C.; Zhang, Y.; Chen, L.; Huang, X.; Yang, J. The Spatial Transcriptomic Landscape of Human Gingiva in Health and Periodontitis. Sci China Life Sci 2023, 1–13. [Google Scholar] [CrossRef]
- Wang, J.; Jing, J.; Zhou, C.; Fan, Y. Emerging Roles of Exosomes in Oral Diseases Progression. Int J Oral Sci 2024, 16, 4. [Google Scholar] [CrossRef]
- Jiang, L.; Chen, D.; Cao, Z.; Wu, F.; Zhu, H.; Zhu, F. A Two-Stage Deep Learning Architecture for Radiographic Staging of Periodontal Bone Loss. BMC Oral Health 2022, 22, 106. [Google Scholar] [CrossRef]
- Danesh, A.; Pazouki, H.; Danesh, F.; Danesh, A.; Vardar-Sengul, S. Artificial Intelligence in Dental Education: ChatGPT’s Performance on the Periodontic In-service Examination. J Periodontol 2024. [Google Scholar] [CrossRef] [PubMed]
- Rossini, G.; Parrini, S.; Castroflorio, T.; Deregibus, A.; Debernardi, C.L. Periodontal Health during Clear Aligners Treatment: A Systematic Review. Eur J Orthod 2014, 37, 539–543. [Google Scholar] [CrossRef] [PubMed]
- Boyd, R.L. Periodontal and Restorative Considerations with Clear Aligner Treatment to Establish a More Favorable Restorative Environment. Compendium 2009, 30, 280–291. [Google Scholar] [PubMed]









| Topic | Count | Name | LLM |
|---|---|---|---|
| 0 | 1870 | 0_porphyromonas_porphyromonas gingivalis_gingivalis_gingivalis lipopolysaccharide | Periodontitis and Porphyromonas Gingivalis |
| 1 | 899 | 1_sinus_maxillary sinus_sinus floor_floor | Sinus Floor Elevation |
| 2 | 742 | 2_pregnancy_birth_pregnant_preterm | Periodontitis and Pregnancy Outcomes |
| 3 | 512 | 3_diabetes_glycemic_mellitus_diabetes mellitus | Diabetes and Periodontal Disease |
| 4 | 449 | 4_covid_covid 19_19_pandemic | COVID Dentistry |
| 5 | 421 | 5_cleft_cleft lip_lip palate_palate | Cleft Lip Nasoalveolar Molding Treatment |
| 6 | 420 | 6_gingival recession_recession_recessions_gingival recessions | Gingival Recession Treatment |
| 7 | 418 | 7_aggregatibacter_actinomycetemcomitans_aggregatibacter actinomycetemcomitans_jp2 | Aggregatibacter Actinomycetemcomitans |
| 8 | 400 | 8_toothbrush_toothbrushes_manual_powered | Toothbrush Efficacy |
| 9 | 353 | 9_peri implantitis_implantitis_implant diseases_peri | Peri-Implant Diseases Prevalence |
| Topic | Year | Name |
|---|---|---|
| 2113 | 2021 | Nanocurcumin Implant Healing |
| 4 | 2020 | COVID Dentistry |
| 167 | 2020 | Periodontitis COVID- Associations |
| 1421 | 2020 | Artificial Intelligence in Dentistry |
| 1438 | 2020 | COVID Periodontitis |
| 1440 | 2020 | Mouse SARS-CoV- Infection Models |
| 1540 | 2020 | Ferroptosis and Periodontitis: Research Progress |
| 1846 | 2020 | Submucosal injection for orthodontic acceleration |
| 2212 | 2020 | Mediterranean Diet and Gingival Health |
| 2216 | 2020 | Photobiomodulation in Orthodontics |
| Topic | LLM | Slope | Pearson |
|---|---|---|---|
| 4 | COVID Dentistry | 19.90 | 0.57 |
| 174 | AI in Dentistry | 7.70 | 0.93 |
| 21 | Periodontitis-Alzheimers Disease | 7.70 | 0.90 |
| 23 | Probiotics and periodontal health | 6.30 | 0.92 |
| 154 | Deep Learning Dentistry Diagnosis | 6.10 | 0.92 |
| 1 | Sinus Floor Elevation | 5.70 | 0.92 |
| 26 | Gingival Thickness Assessment | 5.10 | 0.95 |
| 6 | Gingival Recession Treatment | 5.00 | 0.88 |
| 2 | Periodontitis and Pregnancy Outcomes | 4.50 | 0.83 |
| 18 | Subgingival Microbiome | 4.30 | 0.68 |
| 102 | Stem cell-derived exosomes for bone regeneration | 4.20 | 0.99 |
| 1514 | Comparison of mild pericoronitis treatments | 4.00 | 0.99 |
| 53 | Guided Implant Surgery Accuracy | 4.00 | 0.84 |
| 0 | Periodontitis and Porphyromonas Gingivalis | 3.90 | 0.57 |
| 10 | Oral Microbiome Analysis | 3.70 | 0.65 |
| 557 | Peri-Implantitis Biomarkers | 3.60 | 0.97 |
| 519 | Post COVID Mucormycosis | 3.50 | 0.99 |
| 17 | Medicinal Plant Extracts for Oral Care | 3.40 | 0.75 |
| 218 | Clear aligners periodontal health | 3.30 | 0.91 |
| 167 | Periodontitis COVID- Associations | 3.30 | 0.74 |
| Topic | LLM | N. Publications |
|---|---|---|
| 0 | Periodontitis and Porphyromonas Gingivalis | 9 |
| 21 | Periodontitis-Alzheimers Disease | 5 |
| 102 | Stem cell-derived exosomes for bone regeneration | 5 |
| 3 | Diabetes and Periodontal Disease | 4 |
| 17 | Medicinal Plant Extracts for Oral Care | 3 |
| 336 | 3D printed denture base properties | 3 |
| 5 | Cleft Lip Nasoalveolar Molding | 3 |
| 119 | Pulmonary Periodontitis Association | 3 |
| 23 | Probiotics and periodontal health | 3 |
| 0 | Periodontitis and Porphyromonas Gingivalis | 9 |
Disclaimer/Publisher’s Note: The statements, opinions and data contained in all publications are solely those of the individual author(s) and contributor(s) and not of MDPI and/or the editor(s). MDPI and/or the editor(s) disclaim responsibility for any injury to people or property resulting from any ideas, methods, instructions or products referred to in the content. |
© 2024 by the authors. Licensee MDPI, Basel, Switzerland. This article is an open access article distributed under the terms and conditions of the Creative Commons Attribution (CC BY) license (http://creativecommons.org/licenses/by/4.0/).
