Submitted:
16 October 2024
Posted:
21 October 2024
You are already at the latest version
Abstract
Keywords:
1. Introduction
2. Materials and Methods
2.1. Cell Culture
2.2. Cytotoxicity Assay
2.3. Electrophysiological Recordings
3. Results
3.1. Acute Toxicity of PFAS in S1 Cells
3.2. Electrophysiological Characterization of S1 Neuron-like Neuroblastoma Cells
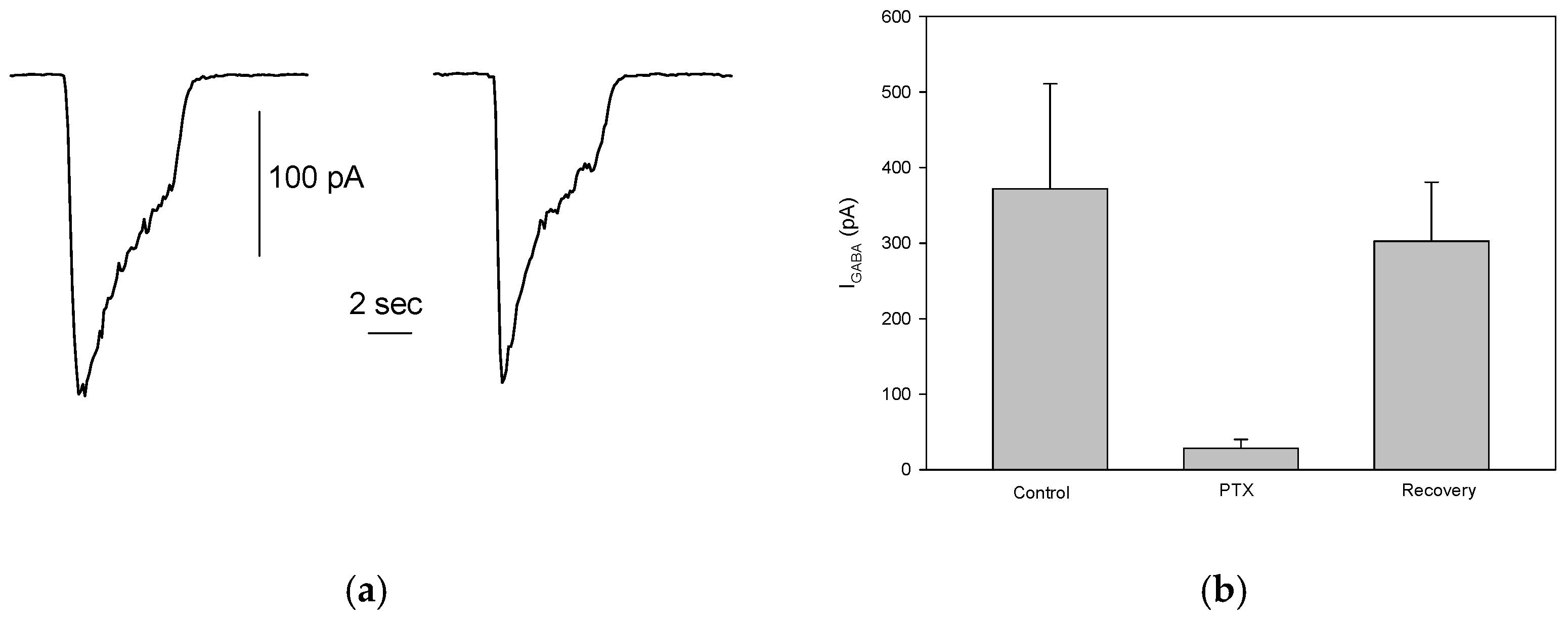
3.3. Effect of PFOS and PFOA on GABA-Evoked Currents in Neuron-like S1 Neuroblastoma Cells
4. Discussion
5. Perspectives
6. Conclusions
Author Contributions
Funding
Institutional Review Board Statement
Informed Consent Statement
Data Availability Statement
Acknowledgments
Conflicts of Interest
References
- Zahm, S.; Bonde, J.P.; Chiu, W.A.; Hoppin, J.; Kanno, J.; Abdallah, M.; Blystone, C.R.; Calkins, M.M.; Dong, G.H.; Dorman, D.C.; et al. Schubauer-Berigan, M. K. Carcinogenicity of perfluorooctanoic acid and perfluorooctanesulfonic acid. The Lancet. Oncology 2024, 25, 16–17. [Google Scholar]
- Yu, Y.; Wang, C.; Zhang, X.; Zhu, J.; Wang, L.; Ji, M.; Zhang, Z.; Ji, X.M.; Wang, S.L. Perfluorooctane sulfonate disrupts the blood brain barrier through the crosstalk between endothelial cells and astrocytes in mice. Environ Pollut 2020, 256, 113429. [Google Scholar] [CrossRef] [PubMed]
- Brown-Leung, J.M.; Cannon, J.R. Neurotransmission Targets of Per- and Polyfluoroalkyl Substance Neurotoxicity: Mechanisms and Potential Implications for Adverse Neurological Outcomes. Chem Res Toxicol 2022, 35, 1312–1333. [Google Scholar] [CrossRef]
- Sieghart, W.; Fuchs, K.; Tretter, V.; Ebert, V.; Jechlinger, M.; Hoger, H.; Adamiker, D. Structure and subunit composition of GABA(A) receptors. Neurochem Int 1999, 34, 379–85. [Google Scholar] [CrossRef]
- Steiger, J.L.; Russek, S.J. GABAA receptors: building the bridge between subunit mRNAs, their promoters, and cognate transcription factors. Pharmacol Ther 2004, 101, 259–81. [Google Scholar] [CrossRef]
- Ghit, A.; Assal, D.; Al-Shami, A.S.; Hussein, D.E.E. GABA(A) receptors: structure, function, pharmacology, and related disorders. J Genet Eng Biotechnol 2021, 19, 123. [Google Scholar] [CrossRef] [PubMed]
- Rudolph, U.; Knoflach, F. Beyond classical benzodiazepines: novel therapeutic potential of GABAA receptor subtypes. Nat Rev Drug Discov 2011, 10, 685–97. [Google Scholar] [CrossRef]
- Sigel, E.; Baur, R.; Trube, G.; Mohler, H.; Malherbe, P. The effect of subunit composition of rat brain GABAA receptors on channel function. Neuron 1990, 5, 703–11. [Google Scholar] [CrossRef]
- Sallard, E.; Letourneur, D.; Legendre, P. Electrophysiology of ionotropic GABA receptors. Cell Mol Life Sci 2021, 78, 5341–5370. [Google Scholar] [CrossRef]
- Chen, Z.W.; Olsen, R.W. GABAA receptor associated proteins: a key factor regulating GABAA receptor function. J Neurochem 2007, 100, 279–94. [Google Scholar] [CrossRef]
- Jacob, T.C.; Moss, S.J.; Jurd, R. GABA(A) receptor trafficking and its role in the dynamic modulation of neuronal inhibition. Nat Rev Neurosci 2008, 9, 331–43. [Google Scholar] [CrossRef] [PubMed]
- Sigel, E.; Luscher, B.P. A closer look at the high affinity benzodiazepine binding site on GABAA receptors. Curr Top Med Chem 2011, 11, 241–6. [Google Scholar] [CrossRef] [PubMed]
- Wang, M. Neurosteroids and GABA-A Receptor Function. Front Endocrinol (Lausanne) 2011, 2, 44. [Google Scholar] [CrossRef] [PubMed]
- Chen, L.; Durkin, K.A.; Casida, J.E. Structural model for γ-aminobutyric acid receptor noncompetitive antagonist binding: widely diverse structures fit the same site. Proceedings of the National Academy of Sciences, 2006, 103, 5185–5190. [Google Scholar] [CrossRef]
- Gavazzo, P.; Vella, S.; Marchetti, C.; Nizzari, M.; Cancedda, R.; Pagano, A. Acquisition of neuron-like electrophysiological properties in neuroblastoma cells by controlled expression of NDM29 ncRNA. J Neurochem 2011, 119, 989–1001. [Google Scholar] [CrossRef]
- Tukker, A.M.; Bouwman, L.M.S.; van Kleef, R.; Hendriks, H.S.; Legler, J.; Westerink, R.H.S. Perfluorooctane sulfonate (PFOS) and perfluorooctanoate (PFOA) acutely affect human alpha(1)beta(2)gamma(2L) GABA(A) receptor and spontaneous neuronal network function in vitro. Sci Rep 2020, 10, 5311. [Google Scholar] [CrossRef]
- Liao, C.Y.; Li, X.Y.; Wu, B.; Duan, S.M.; Jiang, G.B. Acute enhancement of synaptic transmission and chronic inhibition of synaptogenesis induced by perfluorooctane sulfonate through mediation of voltage-dependent calcium channel. Environmental Science & Technology 2008, 42, 5335–5341. [Google Scholar]
- Rampersad, S.N. Multiple applications of Alamar Blue as an indicator of metabolic function and cellular health in cell viability bioassays. Sensors 2012, 12, 12347–12360. [Google Scholar] [CrossRef] [PubMed]
- Zhao, L.; Teng, M.; Zhao, X.; Li, Y.; Sun, J.; Zhao, W.; Ruan, Y.; Leung, K.M.Y.; Wu, F. Insight into the binding model of per- and polyfluoroalkyl substances to proteins and membranes. Environ Int 2023, 175, 107951. [Google Scholar] [CrossRef]
- Cao, Y.; Ng, C. Absorption, distribution, and toxicity of per- and polyfluoroalkyl substances (PFAS) in the brain: a review. Environ Sci Process Impacts 2021, 23, 1623–1640. [Google Scholar] [CrossRef]
- Harada, K.H.; Ishii, T.M.; Takatsuka, K.; Koizumi, A.; Ohmori, H. Effects of perfluorooctane sulfonate on action potentials and currents in cultured rat cerebellar Purkinje cells. Biochemical and Biophysical Research Communications 2006, 351, 240–245. [Google Scholar] [CrossRef] [PubMed]
- Naumann, A.; Alesio, J.; Poonia, M.; Bothun, G.D. PFAS fluidize synthetic and bacterial lipid monolayers based on hydrophobicity and lipid charge. J Environ Chem Eng 2022, 10. [Google Scholar] [CrossRef] [PubMed]
- Kleszczynski, K.; Skladanowski, A.C. Mechanism of cytotoxic action of perfluorinated acids. I. alteration in plasma membrane potential and intracellular pH level. Toxicol Appl Pharmacol 2009, 234, 300–5. [Google Scholar] [CrossRef]
- Panieri, E.; Baralic, K.; Djukic-Cosic, D.; Buha Djordjevic, A.; Saso, L. PFAS Molecules: A Major Concern for the Human Health and the Environment. Toxics 2022, 10. [Google Scholar] [CrossRef] [PubMed]
- Reardon, A.J.F.; Hajihosseini, M.; Dinu, I.; Field, C.J.; Kinniburgh, D.W.; MacDonald, A.M.; Dewey, D.; England-Mason, G.; Martin, J.W. ; APrON Study Maternal co-exposure to mercury and perfluoroalkyl acid isomers and their associations with child neurodevelopment in a Canadian birth cohort. Environ Int. 2023, 178, 108087. [Google Scholar] [CrossRef]





Disclaimer/Publisher’s Note: The statements, opinions and data contained in all publications are solely those of the individual author(s) and contributor(s) and not of MDPI and/or the editor(s). MDPI and/or the editor(s) disclaim responsibility for any injury to people or property resulting from any ideas, methods, instructions or products referred to in the content. |
© 2024 by the authors. Licensee MDPI, Basel, Switzerland. This article is an open access article distributed under the terms and conditions of the Creative Commons Attribution (CC BY) license (http://creativecommons.org/licenses/by/4.0/).