Preprint
Article

This version is not peer-reviewed.

Proof of the Riemann Hypothesis

Submitted:

22 October 2024

Posted:

23 October 2024

You are already at the latest version

Abstract
By the strong relation between ξ function and the Riemann ζ function, we will prove the Riemann hypothesis which states that ”All non-trivial zeros z = x+y i of ζ must lie on the critical line x = 1/2". ”.
Keywords: 
;  ;  ;  

1. Introduction

This work is only concerned with proving the Riemann Hypothesis ([1]), so it is very short and focuses on the proof only. The Riemann Hypothesis concerns about the Riemann zeta function ([2,3]) which is defined for ( z ) > 1 by the following infinite sum:
ζ ( z ) : = n = 1 1 n z = n = 1 1 e z ln n = n = 1 e i ( y ln n ) n x
Riemann does not refer to analytic continuation of the function ζ beyond the half plane ( z ) > 1 . Instead, he focuses on finding a formula that applies to all z . First, he derives his formula for ζ ( z ) = n = 1 n z which is valid for every z : ( z ) > 0 , he achieved this by relating the function ζ to the function Γ ( z ) = 0 t z 1 e t d t with the following relation
ζ ( z ) = 1 Γ ( z ) 0 t z 1 e t 1 d t
Next, Riemann derives his formula to remains valid for all z by the relation
π z 2 Γ ( z 2 ζ ( z ) = 1 t z 2 + t 1 z 2 ψ ( t ) t d t 1 z ( 1 z )
where ψ ( t ) : = n = 1 e π n 2 t .
The functional equation of the zeta function is demonstrated by the fact that the right side of (3) remains unchanged when z = 1 z :
π z 2 Γ z 2 ζ ( z ) = π ( 1 z ) 2 Γ 1 z 2 ζ ( z 1 )
In the symmetric form of the functional equation, the function π z 2 Γ z 2 ζ ( z ) , has removable poles at z = 0 and z = 1 , Riemann multiplies it by 1 2 z ( z 1 ) and define
ξ ( z ) : = 1 2 z ( z 1 ) π z 2 Γ z 2 ζ ( z )

2. Main Results

Lemma 1. 
If z = x + y i and y 0 , then
I. 
ζ ( z ) ¯ = ζ ( z ¯ ) and Γ ( z ) ¯ = Γ ( z ¯ )
II. 
ξ ( z ) ¯ = ξ ( z ¯ )
III. 
ξ ( z ) = ξ ( 1 z )
IV. 
ξ ( z ) ¯ = ξ ( 1 z ¯ )
V. 
If ξ ( ( 1 x ) + y i ) = ξ ( x + y i ) , then x = 1 2
VI. 
The non-trivial zeros of ζ is the same the non-trivial zeros of ξ
Proof. 
I. First we prove that ζ ( z ) ¯ = ζ ( z ¯ )
ζ ( z ) ¯ = n = 1 n z ¯ = n = 1 n x e i y ln n ¯ = n = 1 n x c o s ( y ln n ) i n = 1 n x sin ( y ln n ) ¯ = n = 1 n x c o s ( y ln n ) + i n = 1 n x sin ( y ln n ) = n = 1 n x e i y ln n = n = 1 n ( x y i ) = ζ ( z ¯ )
Similarly, we can prove that Γ ( z ) ¯ = Γ ( z ¯ )
II.
By the definition of ξ and using I., we have
ξ ( z ) ¯ = 1 2 z ( z 1 ) π z 2 Γ z 2 ζ ( z ) ¯ = 1 2 z ( z 1 ) ¯ π z 2 ¯ Γ z 2 ¯ ζ ( z ) ¯ = 1 2 z ¯ ( z ¯ 1 ) π z ¯ 2 Γ z ¯ 2 ζ ( z ¯ ) = ξ ( z ¯ )
III.
It is obvious from (4) that ξ ( z ) = ξ ( 1 z )
IV.
From II. and III., we obtain IV.
VI.
Let ξ ( ( 1 x ) + y i ) = ξ ( x + y i ) . By substitute in the definition of ξ ( z ) and using (3), we have
( a b i ) 1 t ( 1 x ) + y i 2 + t x y i 2 ψ ( t ) t d t = ( a + b i ) 1 t x + y i 2 + t ( 1 x ) y i 2 ψ ( t ) t d t
where a = x 2 y 2 x and b = 2 x y y .
After simplification, we obtain
y 2 x 1 1 t 1 2 x t 1 2 ( 1 x ) cos ( y ln t ) ψ ( t ) t d t + x 2 x y 2 1 t 1 2 x t 1 2 ( 1 x ) sin ( y ln t ) ψ ( t ) t d t = 0
this is true only if t 1 2 x = t 1 2 ( 1 x ) for all t 1 , which implies to x = 1 2 .
VI.
Since π z 2 and Γ z 2 have no zeros, then,VI. is verified.
Theorem 1. 
If z = x + y i and y 0 , then ξ ( z ) is real if and only if x = 1 2 .
Proof. 
First, let z = x + i y , y 0 , and ξ ( z ) ¯ = ξ ( z ) . From IV. in Lemma1, ξ ( z ) ¯ = ξ ( 1 z ¯ ) , then ξ ( ( 1 x ) + y i ) = ξ ( x + y i ) From V. in Lemma1, x = 1 2 .
Second, ξ 1 2 + y i ¯ = ξ 1 2 + y i ¯ = ξ 1 2 y i = ξ 1 1 2 y i = ξ 1 2 + y i this complete the proof. □
Since zero is a real number, then from Theorem 1, we have the following corollary:
Corollary 1. 
All non-trivial zeros z = x + y i of ξ must lie on the critical line x = 1 2 .
From Lemma 1,VI., we obtain:
Corollary 2.(Riemann Hypothesis) All non-trivial zeros z = x + y i of ζ must lie on the critical line x = 1 2 .
In [4] a real function
ϝ ( y ) : = π i y 2 Γ 1 4 + i y 2 ζ 1 2 + i y 2 Γ 1 4 + i y 2
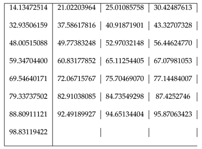
has been constructed. A zero of this function corresponds precisely to the imaginary part of a zero of the zeta function. In this way zeta’s zeros can be plotted (Figure 1 and Figure 2) and calculated (Table 1 and Figure 2).

3. Conclusion

We have proven a very important principle for the function ξ that is "if z is a complex number with nonzero imaginary part, then ξ ( z ) is real if and only if z have a real part equal 1 2 " . From this principle and the relation between the zeros of ζ and ξ functions, the Riemann hypothesis have been verified.

Conflict of interest

The author declare that he has no conflict of interest.

References

  1. P.Borwein, S.Choi, B.Rooney and A.Weirathmueller The Riemann Hypothesis, A Resource for the Afficionado and Virtuoso Alike. Springer, New York, 2008.
  2. H.M. Edwards, Riemann’s Zeta function, Academic Pres New York,Francisco London 1974.
  3. A.Anatoly, Karatsuba and S. M. Voronin, The Riemann Zeta-Function, De Gruyter, 1992.
  4. R. van der Meer J. Top and A.E. SterkH.M. Edwards, Zeros of the Zeta Function, Bachelor’s Project Mathematics, faculty of Science and Engineering, University of ronningen, 2020.
Figure 1. F ( y ) , 0 < y < 100
Figure 1. F ( y ) , 0 < y < 100
Preprints 121978 g001
Figure 2. F ( y ) , 100 < y < 200
Figure 2. F ( y ) , 100 < y < 200
Preprints 121978 g002
Table 1. The zeros z = 1 2 + y i , 0 < y < 100
Table 1. The zeros z = 1 2 + y i , 0 < y < 100
Preprints 121978 i001
Table 2. The zeros z = 1 2 + y i , 0 < y < 100
Table 2. The zeros z = 1 2 + y i , 0 < y < 100
Preprints 121978 i002
Disclaimer/Publisher’s Note: The statements, opinions and data contained in all publications are solely those of the individual author(s) and contributor(s) and not of MDPI and/or the editor(s). MDPI and/or the editor(s) disclaim responsibility for any injury to people or property resulting from any ideas, methods, instructions or products referred to in the content.
Copyright: This open access article is published under a Creative Commons CC BY 4.0 license, which permit the free download, distribution, and reuse, provided that the author and preprint are cited in any reuse.
Prerpints.org logo

Preprints.org is a free preprint server supported by MDPI in Basel, Switzerland.

Subscribe

Disclaimer

Terms of Use

Privacy Policy

Privacy Settings

© 2026 MDPI (Basel, Switzerland) unless otherwise stated