Submitted:
05 October 2024
Posted:
07 October 2024
You are already at the latest version
Abstract
Keywords:
1. Introduction
2. Materials and Methods
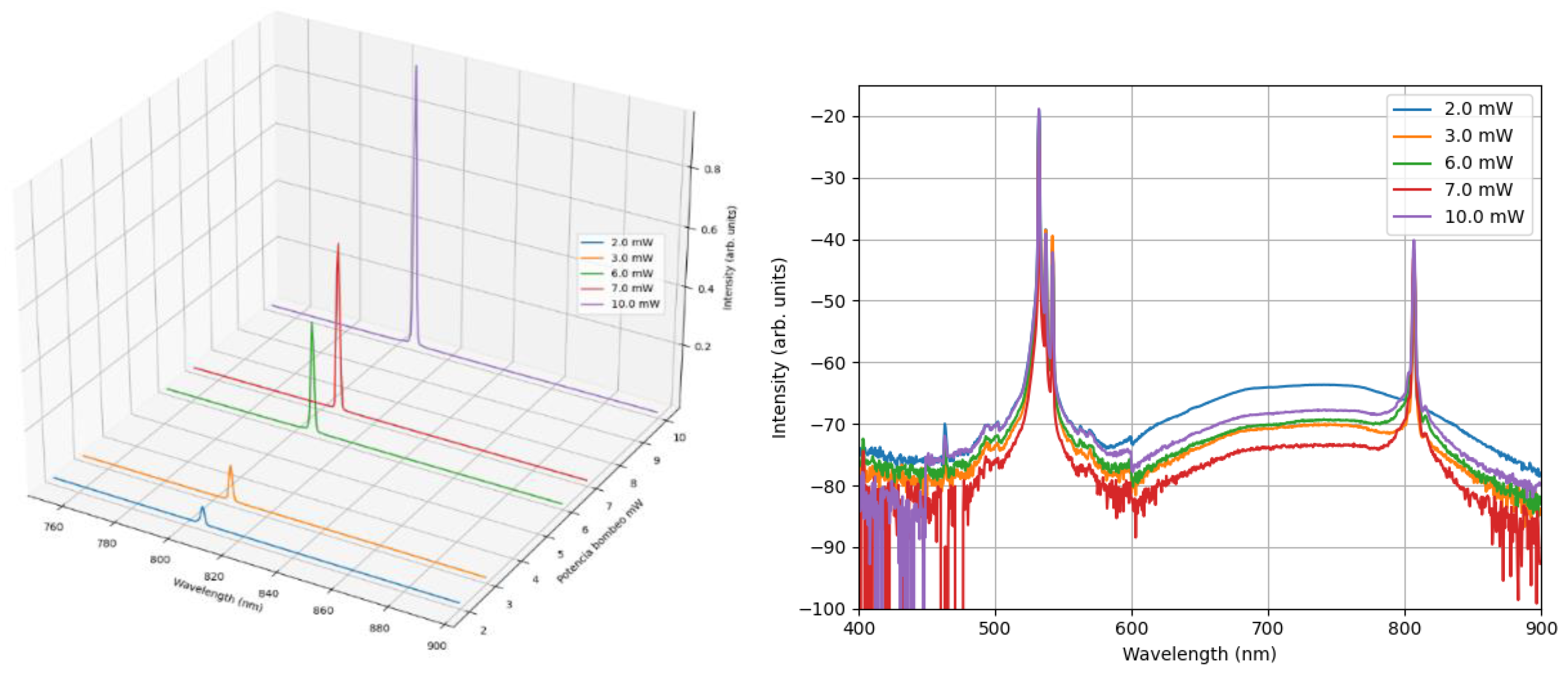
3. Results
4. Discussion
5. Conclusions
Author Contributions
Conflicts of Interest
References
- Lawandy, N.M.; Balachandran, R.; Gomes, A.; Sauvain, E. Laser action in strongly scattering media. Nature 1994, 368, 436–438. [Google Scholar] [CrossRef]
- de Matos, C.J.; Menezes, L.D.S.; Brito-Silva, A.M.; Martinez Gámez, M.A.; Gomes, A.S.; de Araújo, C.B. Random fiber laser. Phys. Rev. Lett. 2007, 99, 153903. [Google Scholar] [CrossRef] [PubMed]
- Frolov, S.; Gellermann, W.; Ozaki, M.; Yoshino, K.; Vardeny, Z. Cooperative emission in π-conjugated polymer thin films. Phys. Rev. Lett. 1997, 78, 729. [Google Scholar] [CrossRef]
- Dice, G.; Mujumdar, S.; Elezzabi, A. Plasmonically enhanced diffusive and subdiffusive metal nanoparticle-dye random laser. Appl. Phys. Lett. 2005, 86, 131105. [Google Scholar] [CrossRef]
- Chang, S.-W.; Liao, W.-C.; Liao, Y.-M.; Lin, H.-I.; Lin, H.-Y.; Lin, W.-J.; Lin, S.-Y.; Perumal, P.; Haider, G.; Tai, C.-T.; Shen, K.-C.; Chang, C.-H.; Huang, Y.-F.; Lin, T.-Y.; Chen, Y.-F. A white random laser. Sci. Reports 2018, 8, 1–10. [Google Scholar] [CrossRef]
- Parola, S.; Julián-López, B.; Carlos, L.D.; Sanchez, C. Optical properties of hybrid organic-inorganic materials and their applications. Adv. Funct. Mater. 2016, 26, 6506–6544. [Google Scholar] [CrossRef]
- Sapienza, R. Determining random lasing action. Nat. Rev. Phys. 2019, 1, 690–695. [Google Scholar] [CrossRef]
- Luan, F.; Gu, B.; Gomes, A.S.; Yong, K.-T.; Wen, S.; Prasad, P.N. Lasing in nanocomposite random media. Nano Today 2015, 10, 168–192. [Google Scholar] [CrossRef]
- Cao, H. Review on latest developments in random lasers with coherent feedback. J. Phys. A: Math. Gen. 2005, 38, 10497. [Google Scholar] [CrossRef]
- Meng, X.; Fujita, K.; Murai, S.; Matoba, T.; Tanaka, K. Plasmonically controlled lasing resonance with metallic-dielectric core shell nanoparticles. Nano Lett. 2011, 11, 1374–1378. [Google Scholar] [CrossRef]
- Redding, B.; Choma, M.A.; Cao, H. Speckle-free laser imaging using random laser illumination. Nat. Photonics 2012, 6, 355–359. [Google Scholar] [CrossRef] [PubMed]
- Cui, L.; Shi, J.; Wang, Y.; Zheng, R.; Chen, X.; Gong, W.; Liu, D. Retrieval of contaminated information using random lasers. Appl. Phys. Lett. 2015, 106, 201101. [Google Scholar] [CrossRef]
- Churkin, D.V.; Sugavanam, S.; Vatnik, I.D.; Wang, Z.; Podivilov, E.V.; Babin, S.A.; Rao, Y.; Turitsyn, S.K. Recent advances in fundamentals and applications of random fiber lasers. Adv. Opt. Photonics 2015, 7, 516–569. [Google Scholar] [CrossRef]
- Wang, Y.; Duan, Z.; Qiu, Z.; Zhang, P.; Wu, J.; Zhang, D.; Xiang, T. Random lasing in human tissues embedded with organic dyes for cancer diagnosis. Sci. Reports 2017, 7, 1–7. [Google Scholar] [CrossRef] [PubMed]
- Ma, R.; Rao, Y.J.; Zhang, W.L.; Hu, B. Multimode random fiber laser for speckle-free imaging. IEEE J. Sel. Top. Quantum Electron. 2018, 25, 1–6. [Google Scholar] [CrossRef]
- Mermillod-Blondin, A.; Mentzel, H.; Rosenfeld, A. Time-resolved microscopy with random lasers. Opt. Lett. 2013, 38, 4112–4115. [Google Scholar] [CrossRef]
- Han, B.; Cheng, Q.; Tao, Y.; Ma, Y.; Liang, H.; Ma, R.; Qi, Y.; Zhao, Y.; Wang, Z.; Wu, H. Spectral manipulations of random fiber lasers: principles, characteristics, and applications. Las. Photon. Rev. 2024, 18, 2400122. [Google Scholar] [CrossRef]
- Toudert, J.; Serna, R.; Jimenez de Castro, M. Exploring the optical potential of nano-bismuth: tunable surface plasmon resonances in the near ultraviolet-to-near infrared range. J. Phys. Chem. C 2012, 116, 20530–20539. [Google Scholar] [CrossRef]
- Van der Horst, C.; Silwana, B.; Iwuoha, E.; Somerset, V. Synthesis and characterization of Bismuth-Silver nanoparticles for electrochemical sensor applications. Anal. Lett. 2015, 48, 1311–1332. [Google Scholar] [CrossRef]
- Hutter, E.; Fendler, J.H. Exploitation of localized surface plasmon resonance. Adv. Materials 2004, 16, 1685–1706. [Google Scholar] [CrossRef]
- Petryayeva, E.; Krull, U.J. Localized surface plasmon resonance: Nanostructures, bioassays and biosensing—a review. Anal. Chimica Acta 2011, 706, 8–24. [Google Scholar] [CrossRef] [PubMed]
- Firstov, S.V.; Khegai, A.M.; Kharakhordin, A.V.; Alyshev, S.V.; Firstova, E.G.; Ososkov, Y.J.; Melkumov, M.A.; Iskhakova, L.D.; Evlampieva, E.B.; Lobanov, A.S.; Yashkov, M.V.; Gurynov, A.N. Compact and efficient o-band bismuth-doped phosphosilicate fiber amplifier for fiber-optic communications. Sci. Reports 2020, 10, 1–9. [Google Scholar] [CrossRef]
- Vakhrushev, A.; Umnikov, A.; Lobanov, A.; Firstova, E.; Evlampieva, E.; Riumkin, K.; Alyshev, A.; Khegai, A.; Guryanov, A.; Iskhakova, L.; Melkumov, M.; Firstov, S. W-type and graded-index bismuth-doped fibers for efficient lasers and amplifiers operating in E-band. Opt. Express 2022, 30, 1490–1498. [Google Scholar] [CrossRef] [PubMed]
- Khegai, A.; Alyshev, S.; Vakhrushev, A.; Riumkin, K.; Umnikov, A.; Firstov, S. Recent advances in Bi-doped silica-based optical fibers: A short review. J. Non-Crystalline Solids: X 2022, 16, 100126.
- Hernandez, M.A.V.; Martinez Gámez, M.A.; Martínez, J.L.L.; Kir’yanov, A.V. Enhanced near-infrared emission from holmium-ytterbium co-doped phosphate glasses containing silver nanoparticles. Appl. Spectrosc. 2014, 68, 1247–1253. [Google Scholar] [CrossRef]
- Vallejo Hernandez, M.; Martinez Gámez, M.A.; Kir’yanov, A.; Martinez, J. Optical properties of phosphate glasses co-doped with Yb3+ and silver nanoparticles. Chin. Phys. B 2014, 23, 124214. [Google Scholar]
- Vijayakumar, R.; Nagaraj, R.; Suthanthirakumar, P.; Karthikeyan, P.; Marimuthu, K. Silver (Ag) nanoparticles enhanced luminescence properties of Dy3+ ions in borotellurite glasses for white light applications. Spectrochimica Acta Part A: Mol. Biomol. Spectrosc. 2018, 204, 537–547.
- Vijayakumar, R.; Marimuthu, K. Luminescence studies on Ag nanoparticles embedded Eu3+ doped borophosphate glasses. J. Alloy. Compd. 2016, 665, 294–303. [Google Scholar] [CrossRef]
- Bae, C.-H.; Lim, K.-S. Enhanced visible emission in Eu3+ doped glass containing Ag-clusters, Ag nanoparticles, and ZnO nanocrystals. J. Alloy. Compd. 2019, 793, 410–417. [Google Scholar] [CrossRef]
- Pan, Z.; Ueda, A.; Aga Jr, R.; Burger, A.; Mu, R.; Morgan, S. Spectroscopic studies of Er3+ doped Ge-Ga-S glass containing silver nanoparticles. J. Non -Crystal. Solids 2010, 356, 1097–1101.
- Cheng, P.; Zhou, Y.; Su, X.E.; Zhou, M.; Zhou, Z. The near-infrared band luminescence in silver NPs embedded tellurite glass doped with Er3+/Tm3+/Yb3+ ions. J. Alloy. Compd. 2017, 714, 370–380. [Google Scholar] [CrossRef]
- Zhao, G.; Xu, L.; Meng, S.; Du, C.; Hou, J.; Liu, Y.; Guo, Y.; Fang, Y.; Liao, M.; Zou, J.; Hu, L. Facile preparation of plasmon enhanced near-infrared photoluminescence of Er3+ doped Bi2O3-B2O3-SiO2 glass for optical fiber amplifier. J. Lumin. 2019, 206, 164–168. [Google Scholar] [CrossRef]
- Swetha, B.; Keshavamurthy, K.; Jagannath, G. Influence of size of ag np on spectroscopic performances of Eu3+ ions in sodium borate glass host. Optik 2021, 240, 166918. [Google Scholar] [CrossRef]
- Kindrat, I.I.; Padlyak, B.V.; Lisiecki, R.; Drzewiecki, A.; Adamiv, V.T. Effect of silver co-doping on luminescence of the Pr3+-doped lithium tetraborate glass, J. Lumin. 2022, 241, 118468. [Google Scholar] [CrossRef]
- Dan, H.K.; Trung, N.D.; Tam, N.M.; Ha, L.T.; Lien, T.K.; Thai, N.L.; Zhou, D.; Qiu, J. The effect of Al3+ ions on the self-reduction process of Yb3+ to Yb2+ ions and optical properties of Nd3+/Ybn+ (n = 3, 2) co-doped transparent silicate glass-ceramics containing Ba2LaF7 nanocrystals and Ag nanoparticles. Ceram. Int. 2024, 50, 25412–25421. [Google Scholar] [CrossRef]
- I.A. Bufetov, M. A. Melkumov, S. V. Firstov, K. E. Riumkin, A. V. Shubin, V. F. Khopin, A. N. Guryanov, and E. M. Dianov, “Bi-doped optical fibers and fiber lasers,” IEEE J. Select. Topics Quant. Electron. 20, 0903815 (2014).
- Dianov, E.; Melkumov, M.; Firstov, S. Bismuth-doped fibre lasers and optical amplifiers. In Handbook of Laser Technology and Applications, (CRC Press, 2021), pp. 535–556.
- Khonthon, S.; Morimoto, S.; Arai, Y.; Ohishi, Y. Redox equilibrium and NIR luminescence of Bi2O3-containing glasses. Opt. Mater. 31, 2009, 1262–1268.
- Peng, M.; Zollfrank, C.; Wondraczek, L. Origin of broad NIR photoluminescence in bismuthate glass and Bi-doped glasses at room temperature. J. Phys.: Condens. Matter 2009, 21 285106.
- Singh, S.P.; Karmakar, B. Single-step synthesis and surface plasmons of bismuth-coated spherical to hexagonal silver nanoparticles in dichroic Ag: bismuth glass nanocomposites. Plasmonics 2011, 6: 457–467.
- Kir’yanov, A.V.; Halder, A.; Barmenkov, Y.O.; Das, S.; Dhar, A.; Bhadra, S.K.; Koltashev, V.V.; Plotnichenko, V.G.; Paul, M.C. Distribution of Bismuth and Bismuth-related centers in core area of Y-Al-SiO2:Bi fibers. J. Lightwave Technol. 2015, 33, 3649–3659. [Google Scholar] [CrossRef]
- Halder, A.; Kir’yanov, A.; Barmenkov, Y.; Sekiya, E.H.; Saito, K. Discussion on Raleigh scattering as a dominant loss factor in VIS/NIR in bismuth-doped silicate fibers [invited]. Opt. Mater. Express 2019, 9, 2817–2827. [Google Scholar]
- Krishnan, M.L.; Neethish, M.; Kumar, V.R.K.; Vendamani, V.; Devi, K.D.; Mohan, D.B.; Nandhagopal, P.; Behera, N. Photoluminescence & structural studies of Ag: Alkali bismuth silicate glasses. Optik 2023, 273, 170474. [Google Scholar]
- Zhu, H.; He, Z.; Wang, J.; Zhang, W.; Pei, C.; Ma, R.; Zhang, J.; Wei, J.; Liu, W. Microcavity complex lasers: from order to disorder. Ann. der Physik 2024, 536, 2400112. [Google Scholar] [CrossRef]







Disclaimer/Publisher’s Note: The statements, opinions and data contained in all publications are solely those of the individual author(s) and contributor(s) and not of MDPI and/or the editor(s). MDPI and/or the editor(s) disclaim responsibility for any injury to people or property resulting from any ideas, methods, instructions or products referred to in the content. |
© 2024 by the authors. Licensee MDPI, Basel, Switzerland. This article is an open access article distributed under the terms and conditions of the Creative Commons Attribution (CC BY) license (http://creativecommons.org/licenses/by/4.0/).