Submitted:
03 October 2024
Posted:
08 October 2024
You are already at the latest version
Abstract
Keywords:
1. Introduction
2. Crucial Behaviour Parameters
3. Dataset Collection
4. Machine Learning Algorithms
- ➢
- Linear Regression (LRegr): The simplest regression model in ML is called linear regression, and it assumes that the relationship between the input and output variables is best described by a straight line (linear function). This method is used as a base numerical technique, and it is compared to the more advanced ML algorithms.
- ➢
- Nonlinear Regression (NLRegr): In nonlinear regression, Ruckstuhl (2016) states that functions with nonlinear parameters are utilized. Such a function was frequently drawn from theory. Markou et al. (2024) proposed the POLYRG-HYT that has advanced predictive features, thus it is adopted herein for the needs of the numerical analysis.
- ➢
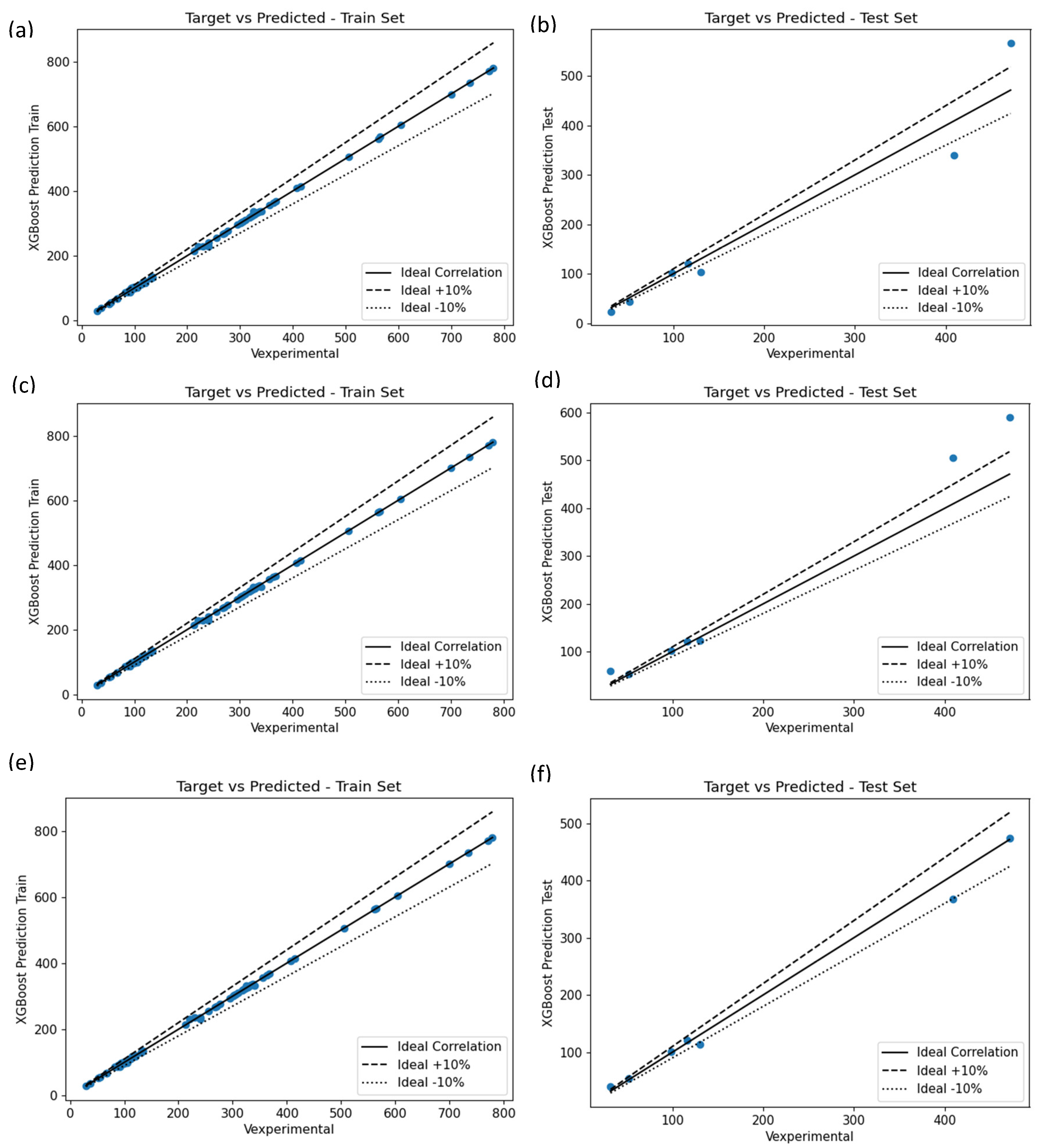
- Extreme Gradient Boosting (XGBoost): The XGBoost algorithm was proposed by Chen and Guestrin (2016) in order to accelerate the GBM algorithm, which is currently highly difficult to implement owing to its sequential model training. XGBoost uses numerous strategies for surpassing GBM in speed. For example, the randomization technique is used to reduce overfitting and increase training speed. Compressed column-based structure is also used to store data to reduce the cost of sorting which is the most time-consuming part of tree learning. For the needs of this research work, the XGBoost-HYT-CV is adopted as it was presented by Markou et al. (2024).
- Maximum Number of XGBoost Rounds ∈ [10, 20, . . . , 1000],
- Maximum tree depth ∈ [1, 7, 15],
- Learning Rate Eta ∈ [0.05, 0.2, 0.5],
- Colsample_bytree ∈ [0.5, 1],
- Subsample ∈ [0.5, 1].
5. Investigation of the Proposed and Existent Formulae
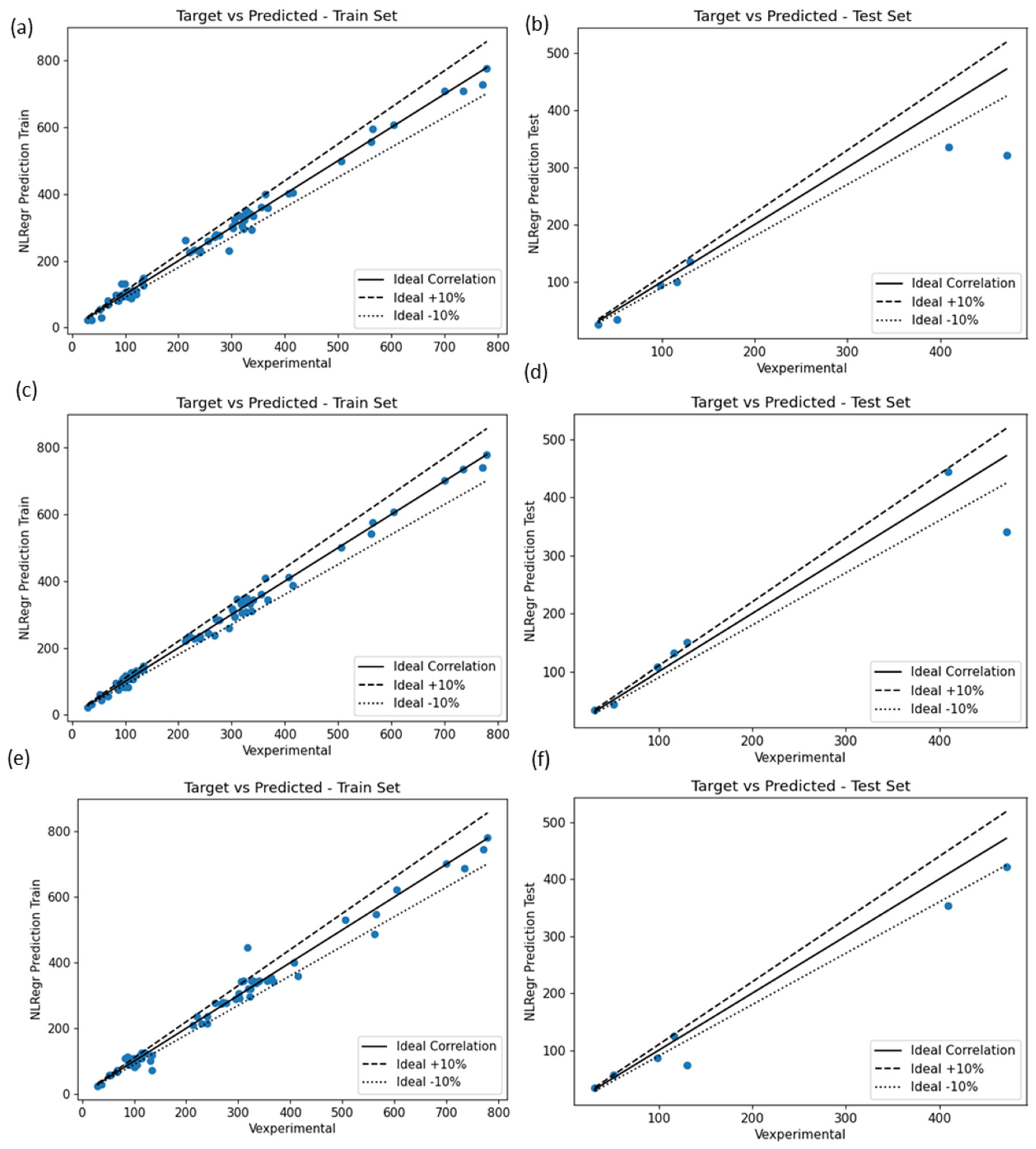
5.1. Proposed Predictive Models
5.2. Sensitivity Analysis
6. Conclusion
References
- Yu, B.; Liu, S.; Li, B. Probabilistic Calibration for Shear Strength Models of Reinforced Concrete Columns. J. Struct. Eng. 2019, 145 (5), 04019026. [CrossRef]
- Tureyen, A. K. and Robert, J. F. Concrete Shear Strength: Another Perspective. ACI Structural Journal 2003, 100 (5). https://doi. org/10. 14359/12802.
- Tran, C.T.N.; Li, B. Shear strength model for reinforced concrete columns with low transverse reinforcement ratios. Adv. Struct. Eng. 2014, 17, 1373–1385.
- Thai, H.-T. Machine Learning for Structural Engineering: A State-of-the-Art Review. Structures 2022, 38, 448–491. [CrossRef]
- Sun, B.; Liu, H.; Zhou, S.; Li, W. Evaluating the Performance of Polynomial Regression Method with Different Parameters during Color Characterization. Mathematical Problems in Engineering 2014, 2014, 1–7. [CrossRef]
- Shaw, P.; Greenstein, D. and Lerch, J. et al., “Intellectual ability and cortical development in children and adolescents,” Nature, vol. 440, no. 7084, pp. 676–679, 2006.
- Sezen, H.; Moehle, J. P. Shear Strength Model for Lightly Reinforced Concrete Columns. J. Struct. Eng. 2004, 130 (11), 1692–1703. [CrossRef]
- Sezen, H. and Moehle, J. P. Seismic Behavior and Modeling of Reinforced Concrete Building Columns, University of California, 2002.
- Sattar, S. Sensitivity Analysis of Reinforced Concrete Structures:: A Comprehensive Review; NIST TN 2254; National Institute of Standards and Technology: Gaithersburg, MD, 2023; p NIST TN 2254. [CrossRef]
- Ruckstuhl, A. Introduction to Nonlinear Regression; IDP Institut f ̈ ur Datenanalyse und Prozessdesign ZHAW Z ̈ urcher Hochschule f ̈ ur Angewandte Wissenschaften, 2016.
- Priestley, M. J. N.; Verma, R.; Xiao, Y. Seismic Shear Strength of Reinforced Concrete Columns. Journal of Structural Engineering 1994, 120 (8), 2310–2329. [CrossRef]
- Pardalopoulos, S. J.; Thermou, G. E.; Pantazopoulou, S. J. Rapid Preliminary Seismic Assessment Methodology for Non-Conforming Reinforced Concrete Buildings. 2011, 17.
- Pardalopoulos, S. J.; Thermou, G. E.; Pantazopoulou S. J. Preliminary Seismic Assessment Method for Identifying R. C. Structural Failures. In Computational Methods in Earthquake Engineering; Springer Dordrecht Heidelberg New York London, Vol. 2, 2013.
- Murphy, K. P. Machine Learning: A Probabilistic Perspective; Adaptive computation and machine learning series; MIT Press: Cambridge, MA, 2012.
- Markou, G.; Bakas, N. P. Prediction of the Shear Capacity of Reinforced Concrete Slender Beams without Stirrups by Applying Artificial Intelligence Algorithms in a Big Database of Beams Generated by 3D Nonlinear Finite Element Analysis. Computers and Concrete 2021, 28 (6), 433–447. [CrossRef]
- Markou, G., Bakas, N.P., Chatzichristofis, S.A. and Papadrakakis, M. (2024), General Framework of High-Performance Machine Learning Algorithms: Application in Structural Mechanics, Computational Mechanics, Volume 73, pages 705–729. [CrossRef]
- Lynn, A. C. and Moehle, J. P. Seismic Evaluation of Existing Reinforced Concrete Building Columns. Thesis, University of California at Berkley, California, 2001.
- Kim, C.-G.; Park, H.-G.; Eom, T.-S. Cyclic Load Test and Shear Strength Degradation Model for Columns with Limited Ductility Tie Details. J. Struct. Eng., 145 (2), 04018249, 2019. [CrossRef]
- Ioannou, A.; Pantazopoulou. S. J., G., S.; Illampas, R. Limit States Behaviour (or Failure) of Reinforced Concrete Columns; Hellenic Concrete Conference, 2018.
- Ioannou, A. I.; Bakas, B.; Markou, G.; Westhuizen V. D. A. M.; Pantazopoulou S. J.; Petrou M. F.; Charmpis D. C. Prediction of Reinforced Concrete Columns Limit States Using Machine Learning Algorithms. In COMPDYN 2023; Athens, Greece, 2023.
- Hariri-Ardebili M. Risk, reliability, resilience (R3) and beyond in dam engineering: A state-of-the-art review. International journal of disaster risk reduction, 2018, 31:806–831.
- Gravett, Z. D., Mourlas, C., Taljaard V. L., Bakas P. N., Markou, G. and Papadrakakis, M. (2021), New Fundamental Period Formulae for Soil-Reinforced Concrete Structures Interaction Using Machine Learning Algorithms and ANNs, Soil Dynamics and Earthquake Engineering, 144 (2021), 106656.
- European Committee for Standardization. EN 1998-3:2005, Design of Structures for Earthquake Resistance – Part 3: Assessment and Retrofitting of Buildings, 2005.
- Elwood, K. J.; Moehle, J. P. Drift Capacity of Reinforced Concrete Columns with Light Transverse Reinforcement. Earthquake Spectra 2005, 21 (1), 71–89. [CrossRef]
- Design Team for the Composition of Greek Regulations for Assessment, Retrofit and Strengthening of Existing Reinforced Concrete Structures, Harmonization of KA. NE. ΠΕ. with Eurocodes, Athens, 2017.
- Chollet F. Deep learning with Python: Manning; 2017.
- Chen, T. Guestrin, C. XGBoost: A scalable tree boosting system. In: Proceedings of the 22nd ACM SIGKDD International Conference on Knowledge Discovery and Data Mining; 2016. p. 785–94.
- Chen, T. Guestrin, C. XGBoost: A scalable tree boosting system. In: Proceedings of the 22nd ACM SIGKDD International Conference on Knowledge Discovery and Data Mining; 2016. p. 785–94.
- Breiman, L. Random forests, Machine learning 45 (1) (2001) 5–32,.
- Biskinis D.; Roupakias G. K.; Fardis M.N. Degradation of Shear Strength of RC Members with Inelastic Cyclic Displacements. ACI Structural Journal 2004, 101 (6), 773–783.
- Bezanson, J.; Edelman, A.; Karpinski. S., S., V. B. Julia: A Fresh Approach to Numerical Computing. 59 (1), 65–98, 2017. [CrossRef]
- Berry, M. Parrish, M.; Eberhard, M. PEER Structural Performance Database User’s Manual (Version 1.0). 44, 2004.
- Bentz, E.; Collins, M. P., Response 2000 User’s Manual,Version 1. 1., September 2001.
- Bakas, N. P; Langousis, A.; Nicolaou M.; Chatzichristofis, S. A. A gradient free neural network framework based on universal approximation theorem, arXiv preprint arXiv:1909.13563, (2019).
- Aval, S. B.; Ketabdari, H.; Gharebaghi, S.A. Estimating Shear Strength of Short Rectangular Reinforced Concrete Columns Using Nonlinear Regression and Gene Expression Programming. Structures 2017, 12, 13–23. [CrossRef]
- Aschheim, M.; Moehle, J. P. Shear Strength and Deformability of RC Bridge Columns Subjected to Inelastic Cyclic Displacements. California Department of Transportation March 1992.
- ASCE/SEI 41-13, 2014, Seismic Evaluation and Retrofit of Existing Buildings, American Society of Civil Engineers, Reston, VA.
- Anthos, I. Ioannou. Seismic Behavior and Assessment of Reinforced Concrete Elements with Brittle Details & Retrofitting Using Engineered Cementitious Composites. Ph.D. Dissertation, University of Cyprus, Nicosia, 2022.
- AlHamaydeh, M.; Markou, G.; Bakas N.; and Papadrakakis, M. Ai-based shear capacity of frp-reinforced concrete deep beams without stirrups, Engineering Structures 264 (2022).114441.






| References | Description of Models |
| EN1998-3, 2005 | |
| Where | |
|
Pardalopoulos et al., (2013) |
|
| ASCE/SEI 41-13 (2014) |
|
| Reference | Test |
(mm) |
(mm) |
(mm) |
(mm) |
(mm) |
(mm) |
(%) |
(%) |
(MPa) |
(MPa) |
(MPa) |
|
||
| () | |||||||||||||||
| 1 | Lynn et al. (1996) | 3SLH18 | 1473,0 | 457,0 | 2946,0 | 38,1 | 9,5 | 457,0 | 0,1 | 3,0 | 331,0 | 400,0 | 25,6 | 503,0 | 270,0 |
| 2 | Lynn et al. (1996) | 3CMD12 | 1473,0 | 457,0 | 2946,0 | 38,1 | 9,5 | 305,0 | 0,2 | 3,0 | 331,0 | 400,0 | 27,7 | 1512,0 | 355,0 |
| 3 | Lynn et al. (1996) | 3CMH18 | 1473,0 | 457,0 | 2946,0 | 38,1 | 9,5 | 457,0 | 0,1 | 3,0 | 331,0 | 400,0 | 27,7 | 1512,0 | 328,0 |
| 4 | Henkhaus et al. 2013 | B1 | 736,5 | 457,0 | 1473,0 | 35,0 | 9,5 | 457,0 | 0,1 | 1,5 | 455,0 | 490,0 | 20,0 | 1545,5 | 565,5 |
| 5 | Henkhaus et al. 2013 | B2 | 736,5 | 457,0 | 1473,0 | 35,0 | 6,4 | 203,0 | 0,1 | 1,5 | 455,0 | 455,0 | 19,3 | 1531,7 | 317,2 |
| 6 | Henkhaus et al. 2013 | B3 | 736,5 | 457,0 | 1473,0 | 35,0 | 9,5 | 457,0 | 0,1 | 1,5 | 455,0 | 490,0 | 22,1 | 969,3 | 562,3 |
| 7 | Henkhaus et al. 2013 | B4 | 736,5 | 457,0 | 1473,0 | 35,0 | 9,5 | 457,0 | 0,1 | 2,5 | 441,0 | 490,0 | 24,1 | 2164,3 | 771,2 |
| 8 | Henkhaus et al. 2013 | B5 | 736,5 | 457,0 | 1473,0 | 35,0 | 9,5 | 457,0 | 0,1 | 2,5 | 441,0 | 490,0 | 23,4 | 2248,1 | 699,4 |
| 9 | Henkhaus et al. 2013 | B6 | 1473,0 | 457,0 | 2946,0 | 35,0 | 9,5 | 305,0 | 0,2 | 2,5 | 490,0 | 469,0 | 27,6 | 634,1 | 334,2 |
| 10 | Henkhaus et al. 2013 | B7 | 1473,0 | 457,0 | 2946,0 | 35,0 | 9,5 | 305,0 | 0,2 | 2,5 | 490,0 | 469,0 | 28,3 | 650,1 | 331,7 |
| 11 | Henkhaus et al. 2013 | B8 | 1473,0 | 457,0 | 2946,0 | 35,0 | 9,5 | 305,0 | 0,1 | 2,5 | 490,0 | 469,0 | 29,0 | 666,2 | 336,7 |
| 12 | Zhou et al. 1987 | 104-08 | 160,0 | 160,0 | 320,0 | 12,5 | 5,0 | 40,0 | 0,7 | 2,2 | 341,0 | 559,0 | 19,8 | 406,0 | 82,7 |
| 13 | Zhou et al. 1987 | 114-08 | 160,0 | 160,0 | 320,0 | 12,5 | 5,0 | 40,0 | 0,7 | 2,2 | 341,0 | 559,0 | 406,0 | 91,3 | |
| 14 | Kim et al. 2018 | SBd2 | 1200,0 | 400,0 | 1200,0 | 40,0 | 12,7 | 165,0 | 0,4 | 2,5 | 571,0 | 500,0 | 870,4 | 340,2 | |
| 15 | Kim et al. 2018 | SBd4 | 1200,0 | 400,0 | 1200,0 | 40,0 | 12,7 | 82,0 | 0,8 | 2,5 | 571,0 | 500,0 | 870,4 | 326,9 | |
| 16 | Kim et al. 2018 | SCd2 | 1200,0 | 400,0 | 1200,0 | 40,0 | 12,7 | 165,0 | 0,4 | 2,5 | 571,0 | 500,0 | 870,4 | 325,4 | |
| 17 | Kim et al. 2018 | SDd2 | 1200,0 | 400,0 | 1200,0 | 40,0 | 12,7 | 165,0 | 0,4 | 2,5 | 571,0 | 500,0 | 512,0 | 319,0 | |
| 18 | Kim et al. 2018 | SDd4 | 1200,0 | 400,0 | 1200,0 | 40,0 | 12,7 | 82,0 | 0,8 | 2,5 | 571,0 | 500,0 | 870,4 | 326,9 | |
| 19 | Kim et al. 2018 | RFd2 | 1200,0 | 250,0 | 1200,0 | 40,0 | 9,5 | 105,0 | 0,8 | 2,4 | 566,0 | 530,0 | 870,4 | 220,2 | |
| 20 | Nagasaka 1982 | HPRC10-63 | 300,0 | 200,0 | 600,0 | 12,0 | 5,5 | 35,0 | 0,7 | 1,3 | 371,0 | 344,0 | 146,9 | 86,9 | |
| 21 | Arakawa et al. 1989 | OA2 | 225,0 | 180,0 | 450,0 | 10,0 | 4,0 | 64,3 | 0,2 | 3,1 | 340,0 | 249,0 | 189,6 | 130,6 | |
| 22 | Arakawa et al. 1989 | OA5 | 225,0 | 180,0 | 450,0 | 10,0 | 4,0 | 64,3 | 0,2 | 3,1 | 340,0 | 249,0 | 475,8 | 134,0 | |
| 23 | Umehara and Jirsa 1982 | CUS | 455,0 | 410,0 | 910,0 | 25,0 | 6,0 | 89,0 | 0,3 | 3,0 | 441,0 | 414,0 | 533,2 | 322,7 | |
| 24 | Umehara and Jirsa 1982 | CUW | 455,0 | 230,0 | 910,0 | 25,0 | 6,0 | 56,0 | 0,3 | 3,0 | 441,0 | 414,0 | 533,2 | 255,3 | |
| 25 | Umehara and Jirsa 1982 | 2CUS | 410,0 | 410,0 | 230,0 | 25,0 | 6,0 | 89,0 | 0,3 | 3,0 | 441,0 | 414,0 | 1069,4 | 409,4 | |
| 26 | Bet et.al. 1985 | 1_1 | 305,0 | 305,0 | 305,0 | 25,0 | 6,0 | 210,0 | 0,2 | 2,4 | 462,0 | 414,0 | 289,3 | 213,6 | |
| 27 | Aboutaha et al. 1999 | SC3 | 457,2 | 457,2 | 914,4 | 38,0 | 9,5 | 406,4 | 0,1 | 1,9 | 434,0 | 400,0 | 0,0 | 407,0 | |
| 28 | Aboutaha et al. 1999 | SC9 | 914,4 | 914,4 | 457,2 | 38,0 | 9,5 | 406,4 | 0,1 | 1,9 | 434,0 | 400,0 | 0,0 | 604,5 | |
| 29 | Sokoli and Ghannoum(2016) | CS-60 | 457,2 | 457,2 | 457,2 | 38,1 | 16,0 | 140,0 | 1,5 | 4,7 | 464,0 | 472,0 | 290,0 | 779,6 | |
| 30 | Sokoli and Ghannoum (2016) | CS-100 | 457,2 | 457,2 | 457,2 | 38,1 | 10,0 | 114,0 | 0,7 | 2,9 | 700,0 | 820,0 | 1806,0 | 734,6 | |
| 31 | Lynn et al. (1996) | 2CLH18 | 457,0 | 457,0 | 457,0 | 38,1 | 9,5 | 457,0 | 0,1 | 2,0 | 331,0 | 400,0 | 503,0 | 240,8 | |
| 32 | Lynn et al. (1996) | 3CLH18 | 457,0 | 457,0 | 457,0 | 38,1 | 9,5 | 457,0 | 0,1 | 3,0 | 331,0 | 400,0 | 503,0 | 277,0 | |
| 33 | Lynn et al. (1996) | 2SLH18 | 457,0 | 457,0 | 457,0 | 38,1 | 9,5 | 457,0 | 0,1 | 2,0 | 331,0 | 400,0 | 503,0 | 229,0 | |
| 34 | Lynn et al. (1996)(lap splice) | 2CMH18 | 457,0 | 457,0 | 457,0 | 38,1 | 9,5 | 457,0 | 0,1 | 3,0 | 331,0 | 400,0 | 1512,0 | 306,0 | |
| 35 | Lynn et al. (1996)(lap splice) | 3SMD12 | 457,0 | 457,0 | 457,0 | 38,1 | 9,5 | 305,0 | 0,2 | 3,0 | 331,0 | 400,0 | 1512,0 | 367,0 | |
| 36 | Matchulat et al. 2005 | Sp.1 | 457,0 | 457,0 | 457,0 | 39,7 | 9,5 | 460,0 | 0,3 | 2,5 | 441,3 | 372,3 | 2159,5 | 414,0 | |
| 37 | Matchulat et al. 2005 | Sp.2 | 457,0 | 457,0 | 457,0 | 39,7 | 9,5 | 460,0 | 0,3 | 2,5 | 441,3 | 372,3 | 1663,0 | 363,2 | |
| 38 | Sezen and Moehle 2002 | Specimen 1 | 457,0 | 457,0 | 457,0 | 65,1 | 9,5 | 304,8 | 0,2 | 2,5 | 434,4 | 476,0 | 665,4 | 302,5 | |
| 39 | Sezen and Moehle 2002 | Specimen 2 | 457,0 | 457,0 | 457,0 | 65,1 | 9,5 | 304,8 | 0,2 | 2,5 | 434,4 | 476,0 | 2666,1 | 301,0 | |
| 40 | Sezen and Moehle 2002 | Specimen 4 | 457,0 | 457,0 | 457,0 | 65,1 | 9,5 | 304,8 | 0,2 | 2,5 | 434,4 | 47,0 | 664,7 | 294,6 | |
| 41 | Wight and Sozen 1973 | 40.033a(East) | 152,0 | 152,0 | 305,0 | 32,0 | 6,3 | 127,0 | 0,3 | 2,5 | 496,0 | 345,0 | 188,2 | 98,8 | |
| 42 | Wight and Sozen 1973 | 40.033a(west) | 152,0 | 152,0 | 305,0 | 32,0 | 6,3 | 127,0 | 0,3 | 2,5 | 496,0 | 345,0 | 188,2 | 101,3 | |
| 43 | Wight and Sozen 1973 | 40.048.(East) | 152,0 | 152,0 | 305,0 | 32,0 | 6,3 | 89,0 | 0,5 | 2,5 | 496,0 | 345,0 | 177,9 | 104,6 | |
| 44 | Wight and Sozen 1973 | 40.048(West) | 152,0 | 152,0 | 305,0 | 32,0 | 6,3 | 89,0 | 0,5 | 2,5 | 496,0 | 345,0 | 177,9 | 98,5 | |
| 45 | Wight and Sozen 1973 | 40.033(East) | 152,0 | 152,0 | 305,0 | 32,0 | 6,3 | 127,0 | 0,3 | 2,5 | 496,0 | 345,0 | 177,6 | 94,2 | |
| 46 | Wight and Sozen 1973 | 40.033(West) | 152,0 | 152,0 | 305,0 | 32,0 | 6,3 | 127,0 | 0,3 | 2,5 | 496,0 | 345,0 | 177,6 | 104,9 | |
| 47 | Wight and Sozen 1973 | 25.033(East) | 152,0 | 152,0 | 305,0 | 32,0 | 6,3 | 127,0 | 0,3 | 2,5 | 496,0 | 345,0 | 110,6 | 87,9 | |
| 48 | Wight and Sozen 1973 | 25.033(West) | 152,0 | 152,0 | 305,0 | 32,0 | 6,3 | 127,0 | 0,3 | 2,5 | 496,0 | 345,0 | 110,6 | 93,3 | |
| 49 | Wight and Sozen 1973 | 40.067(East) | 876,0 | 152,0 | 305,0 | 32,0 | 19,0 | 64,0 | 0,7 | 2,5 | 496,0 | 345,0 | 33,4 | 178,1 | 93,1 |
| 50 | Wight and Sozen 1973 | 40.067(West) | 876,0 | 152,0 | 305,0 | 32,0 | 19,0 | 64,0 | 0,7 | 2,5 | 496,0 | 345,0 | 33,4 | 178,1 | 99,4 |
| 51 | Wight and Sozen 1973 | 40.147(East) | 875,0 | 152,0 | 305,0 | 32,0 | 19,0 | 64,0 | 1,5 | 2,5 | 496,0 | 317,0 | 33,5 | 178,6 | 119,8 |
| 52 | Wight and Sozen 1973 | 40.147(West) | 875,0 | 152,0 | 305,0 | 32,0 | 19,0 | 64,0 | 1,5 | 2,5 | 496,0 | 317,0 | 33,5 | 178,6 | 114,7 |
| 53 | Wight and Sozen 1973 | 40.092(East) | 875,0 | 152,0 | 305,0 | 32,0 | 19,0 | 102,0 | 0,9 | 2,5 | 496,0 | 317,0 | 33,5 | 178,6 | 115,9 |
| 54 | Wight and Sozen 1973 | 40.092(West) | 875,0 | 152,0 | 305,0 | 32,0 | 19,0 | 102,0 | 0,9 | 2,5 | 496,0 | 317,0 | 33,5 | 178,6 | 121,0 |
| 55 | Ohue et al. 1985 | 2D16RS | 400,0 | 200,0 | 200,0 | 11,0 | 16,0 | 50,0 | 0,6 | 2,0 | 369,0 | 316,0 | 32,0 | 183,0 | 110,6 |
| 56 | Ohue et al. 1985 | 4D13RS | 400,0 | 200,0 | 200,0 | 12,0 | 13,0 | 50,0 | 0,6 | 2,7 | 370,0 | 316,0 | 29,9 | 183,0 | 101,4 |
| 57 | Zhou et al. 1987 | 124-08 | 160,0 | 160,0 | 160,0 | 12,5 | 9,5 | 40,0 | 1,8 | 2,2 | 341,0 | 559,0 | 19,8 | 406,0 | 115,0 |
| 58 | Zhou et al. 1987 | 204-08 | 320,0 | 160,0 | 160,0 | 12,5 | 9,5 | 40,0 | 0,7 | 2,2 | 341,0 | 559,0 | 21,1 | 432,7 | 66,5 |
| 59 | Zhou et al. 1987 | 223-09 | 320,0 | 160,0 | 160,0 | 12,5 | 9,5 | 40,0 | 1,8 | 2,2 | 341,0 | 559,0 | 21,1 | 486,1 | 67,4 |
| 60 | Zhou et al. 1987 | 302-07 | 480,0 | 160,0 | 160,0 | 12,5 | 9,5 | 40,0 | 0,7 | 2,2 | 341,0 | 559,0 | 28,8 | 516,8 | 51,2 |
| 61 | Zhou et al. 1987 | 312-07 | 480,0 | 160,0 | 160,0 | 12,5 | 9,5 | 40,0 | 0,6 | 2,2 | 341,0 | 559,0 | 28,8 | 516,8 | 54,9 |
| 62 | Zhou et al. 1987 | 322-07 | 480,0 | 160,0 | 160,0 | 12,5 | 9,5 | 40,0 | 1,0 | 2,2 | 341,0 | 559,0 | 28,8 | 516,8 | 51,8 |
| 63 | Amitsu et al. 1991 | CB060C | 323,0 | 278,0 | 278,0 | 28,0 | 28,0 | 52,0 | 0,9 | 4,1 | 441,0 | 414,0 | 46,3 | 2633,6 | 505,6 |
| 64 | Xiao and Martirossyan 1998 | HC4-8L16-T6-0.1P | 508,0 | 254,0 | 254,0 | 13,0 | 15,9 | 51,0 | 1,6 | 2,5 | 510,0 | 449,0 | 86,0 | 532,6 | 267,6 |
| 65 | Xiao and Martirossyan 1998 | HC4-8L16-T6-0.2P | 508,0 | 254,0 | 254,0 | 13,0 | 15,9 | 51,0 | 1,6 | 2,5 | 510,0 | 510,0 | 86,0 | 1065,3 | 324,1 |
| 66 | Kim et al. 2018 | Sad2 | 1200,0 | 400,0 | 400,0 | 40,0 | 25,4 | 165,0 | 0,4 | 2,5 | 571,0 | 500,0 | 32,0 | 870,4 | 310,3 |
| 67 | Kim et al. 2018 | RGd2 | 1200,0 | 250,0 | 640,0 | 40,0 | 22,2 | 105,0 | 0,8 | 2,4 | 566,0 | 530,0 | 32,0 | 870,4 | 240,8 |
| 68 | Nagasaka 1982 | HPRC19-32 | 300,0 | 200,0 | 200,0 | 12,0 | 12,7 | 20,0 | 1,2 | 1,3 | 371,0 | 344,0 | 21,0 | 294,0 | 110,7 |
| 69 | Zhou et al. 1985 | No.806 | 80,0 | 80,0 | 80,0 | 10,0 | 6,0 | 80,0 | 0,4 | 1,8 | 336,0 | 341,0 | 32,3 | 124,0 | 31,6 |
| 70 | Zhou et al. 1985 | No. 1007 | 80,0 | 80,0 | 80,0 | 10,0 | 6,0 | 80,0 | 0,4 | 1,8 | 336,0 | 341,0 | 34,0 | 152,3 | 36,7 |
| 71 | Zhou et al. 1985 | No.1309 | 80,0 | 80,0 | 80,0 | 10,0 | 6,0 | 80,0 | 0,4 | 1,8 | 336,0 | 341,0 | 32,8 | 188,9 | 29,6 |
| 72 | Imai and Yamamoto 1986 | No 1 | 825,0 | 500,0 | 400,0 | 37,0 | 22,0 | 100,0 | 0,3 | 2,7 | 318,0 | 336,0 | 27,1 | 390,2 | 471,3 |
| 73 | Ono et al. 1989 | CA025C | 300,0 | 200,0 | 200,0 | 19,0 | 9,5 | 70,0 | 0,8 | 2,1 | 361,0 | 426,0 | 25,8 | 265,2 | 130,0 |
| 74 | Ono et al. 1989 | CA060C | 300,0 | 200,0 | 200,0 | 19,0 | 9,5 | 70,0 | 0,8 | 2,1 | 361,0 | 426,0 | 25,8 | 635,7 | 133,8 |
| Νotation : Ls= element shear span; b= section width; h= section height; c= concrete cover; dbw= transverse reinforcement diameter; s= transverse reinforcement spacing; ρw= geometrical transverse reinf. ratio in the direction of seismic action; ρtot= longitudinal reinforcement ratio; fyl= longitudinal reinforcement yielding stress; fyw= transverse reinforcement yielding stress; f’c= concrete compressive strength; P= axial load; Vexp.max= experimental shear force | |||||||||||||||
| MODEL | DATASET | R | MAPE | MAMPE | MAE | RMSE |
| POLYREG-HYT | Train | 0,99490 | 0,07903 | 0,05084 | 13,224 | 18,4979 |
| LREGR | Train | 0,96821 | 0,19220 | 0,13054 | 33,9533 | 45,8741 |
| XGBOOST-HYT-CV | Train | 0,99987 | 0,01225 | 0,00644 | 1,67587 | 2,92632 |
| POLYREG-HYT | Test | 0,98448 | 0,17764 | 0,20863 | 38,9874 | 63,9059 |
| LREGR | Test | 0,84845 | 0,42230 | 0,33075 | 61,8105 | 92,0577 |
| XGBOOST-HYT-CV | Test | 0,97007 | 0,15299 | 0,16567 | 30,9598 | 46,2470 |
| MODEL | DATASET | R | MAPE | MAMPE | MAE | RMSE |
| POLYREG-HYT | Train | 0,99647 | 0,06761 | 0,04623 | 12,0254 | 15,3862 |
| LREGR | Train | 0,97552 | 0,16353 | 0,11609 | 30,1960 | 40,3127 |
| XGBoost-HYT-CV | Train | 0,99989 | 0,00913 | 0,00495 | 1,28678 | 2,72715 |
| POLYREG-HYT | Test | 0,95266 | 0,13873 | 0,16834 | 31,4586 | 52,3988 |
| LREGR | Test | 0,87672 | 0,49074 | 0,30313 | 56,6489 | 85,0794 |
| XGBoost-HYT-CV | Test | 0,99652 | 0,21500 | 0,19804 | 37,0085 | 59,0950 |
| MODEL | DATASET | R | MAPE | MAMPE | MAE | RMSE |
| POLYREG-HYT | Train | 0,99001 | 0,08229 | 0,06268 | 16,3040 | 25,8498 |
| LREGR | Train | 0,97806 | 0,14642 | 0,10738 | 27,9311 | 38,2091 |
| XGBoost-HYT-CV | Train | 0,99988 | 0,00958 | 0,00532 | 1,38284 | 2,86823 |
| POLYREG-HYT | Test | 0,99140 | 0,15463 | 0,14728 | 27,5236 | 36,1777 |
| LREGR | Test | 0,92665 | 0,25136 | 0,23429 | 43,7839 | 62,0201 |
| XGBoost-HYT-CV | Test | 0,99575 | 0,08957 | 0,06142 | 11,4780 | 17,5487 |
Disclaimer/Publisher’s Note: The statements, opinions and data contained in all publications are solely those of the individual author(s) and contributor(s) and not of MDPI and/or the editor(s). MDPI and/or the editor(s) disclaim responsibility for any injury to people or property resulting from any ideas, methods, instructions or products referred to in the content. |
© 2024 by the authors. Licensee MDPI, Basel, Switzerland. This article is an open access article distributed under the terms and conditions of the Creative Commons Attribution (CC BY) license (https://creativecommons.org/licenses/by/4.0/).