Submitted:
20 September 2024
Posted:
20 September 2024
Read the latest preprint version here
Abstract
Keywords:
1. Introduction
2. Methodology
2.1. Wind Turbine Design Code Bladed
2.2. Blade Specification and Airfoil Data Treatment
2.3. Description of the Test Cases
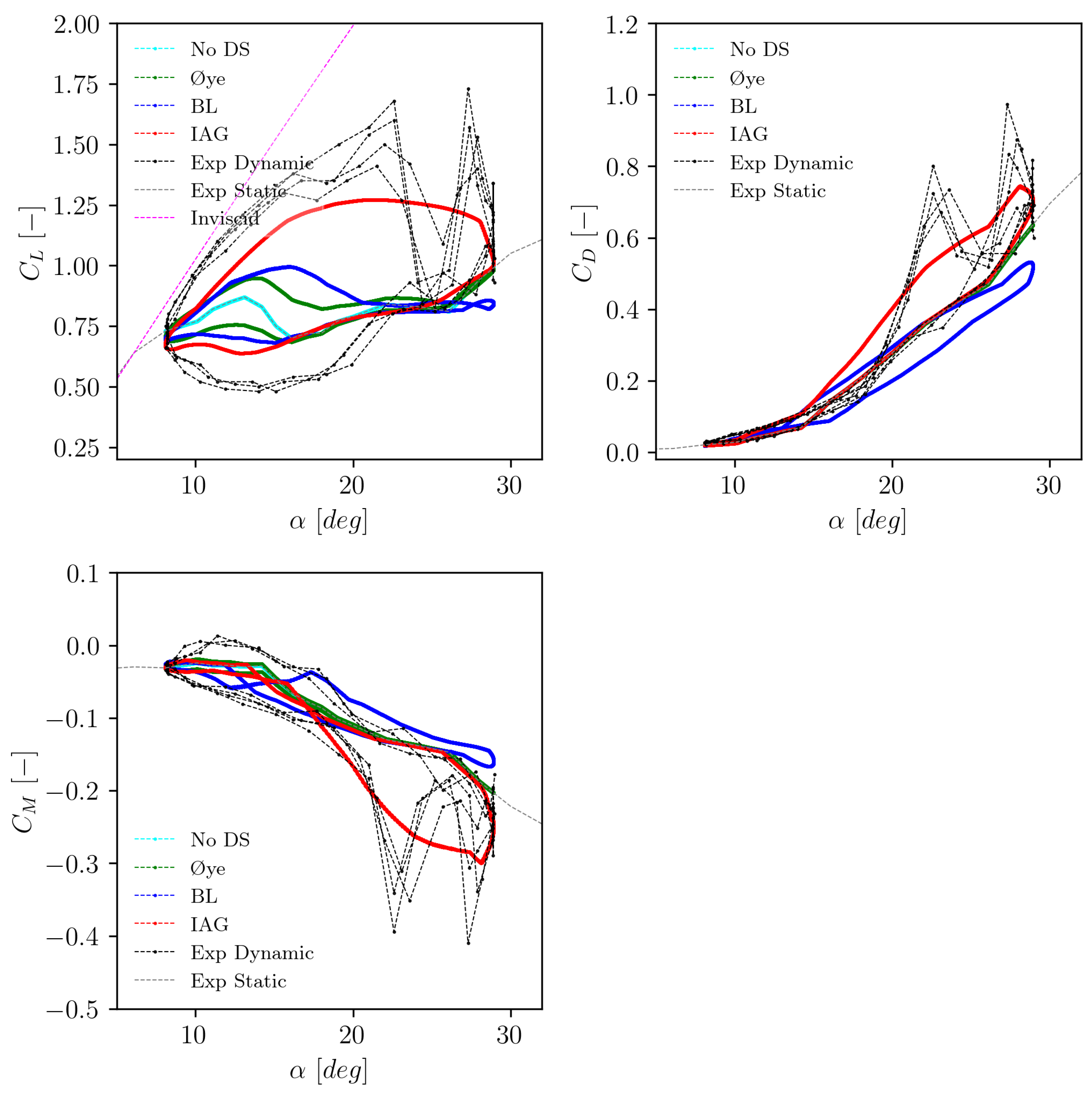
3. Comparison of Dynamic Stall Model against Pitching Airfoil Data
4. Dynamic Responses of the Aerodynamic Coefficients
4.1. Exposed to a Constant Reduced Frequency
4.2. Exposed to Edgewise Resonance Frequency



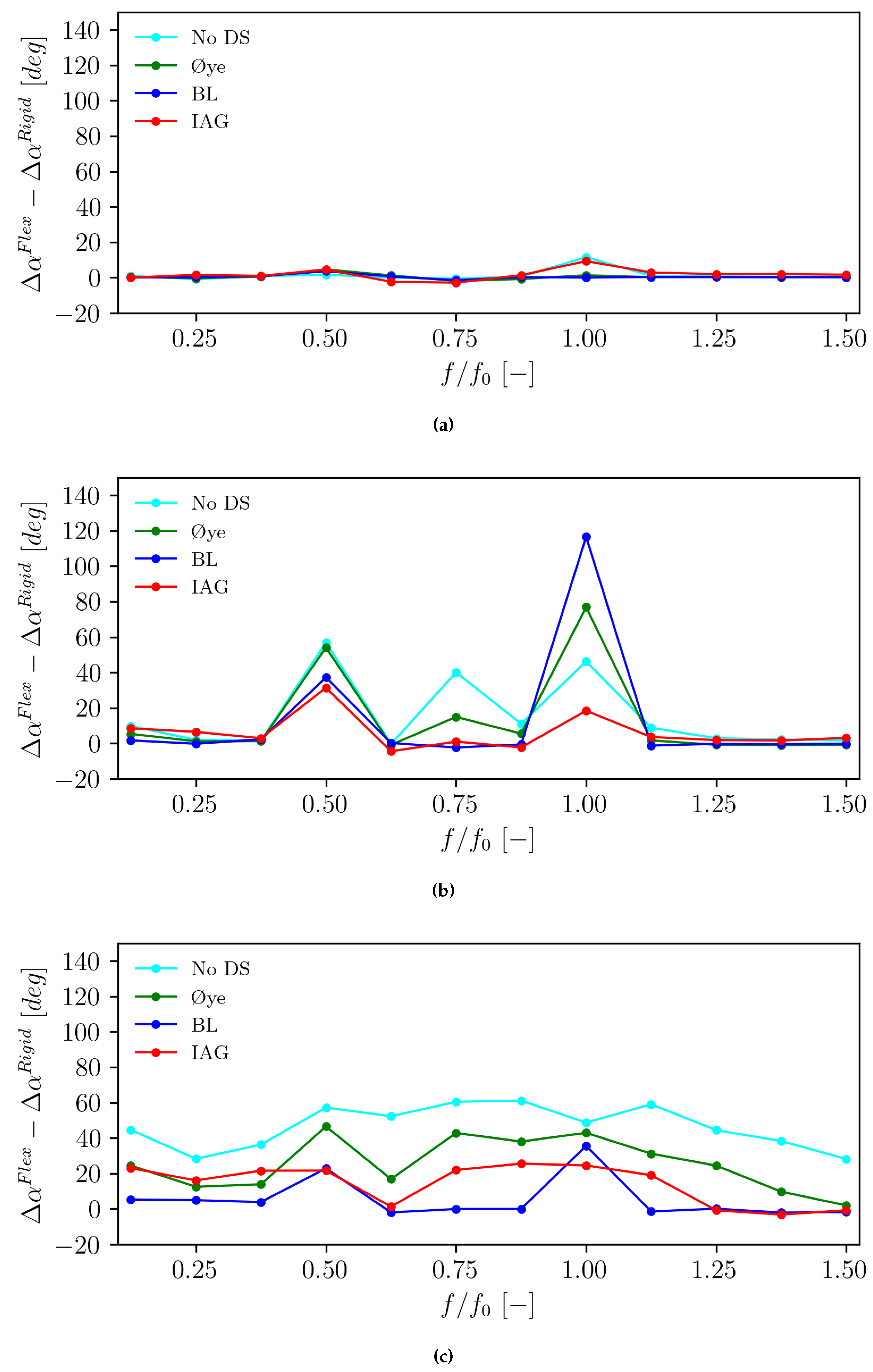
5. Angle of Attack Range Variations
5.1. Exposed to a Constant Reduced Frequency
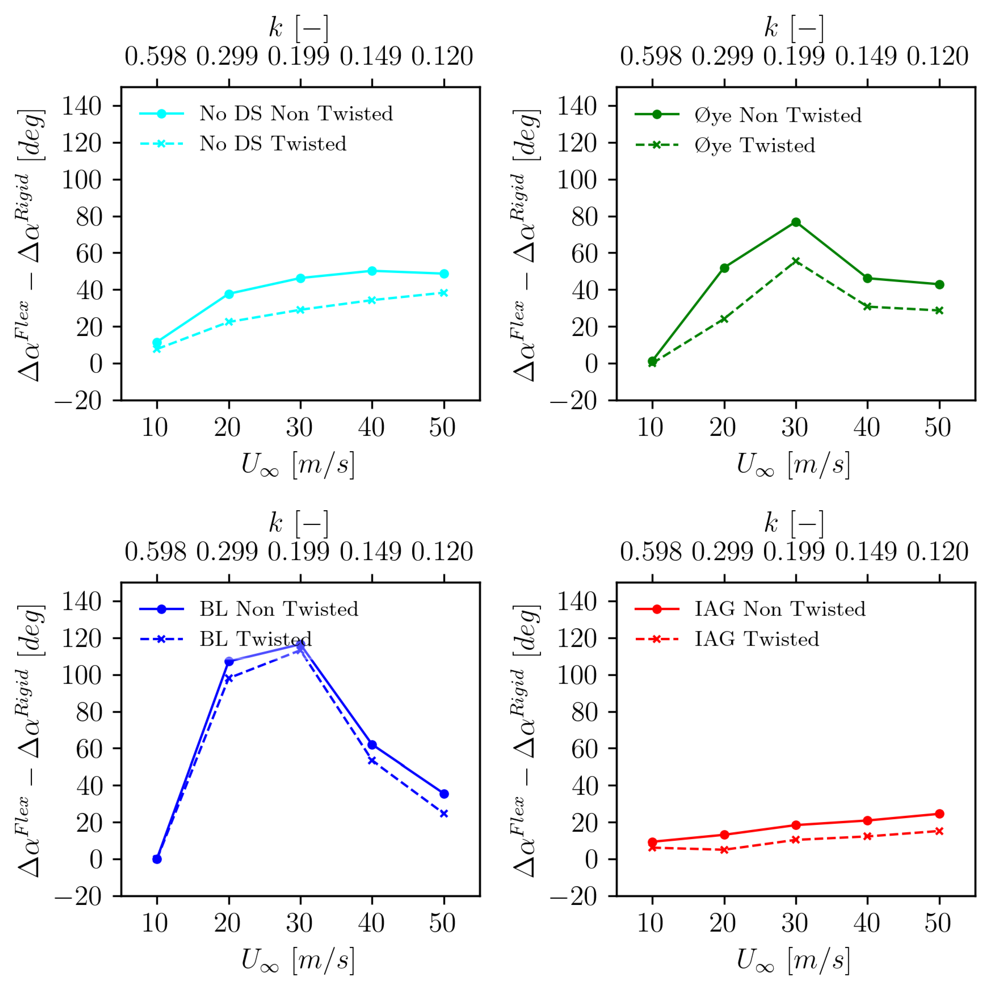
5.2. Exposed to Varying Frequencies
6. Twist Angle Distribution Influence
7. Conclusions and Outlook
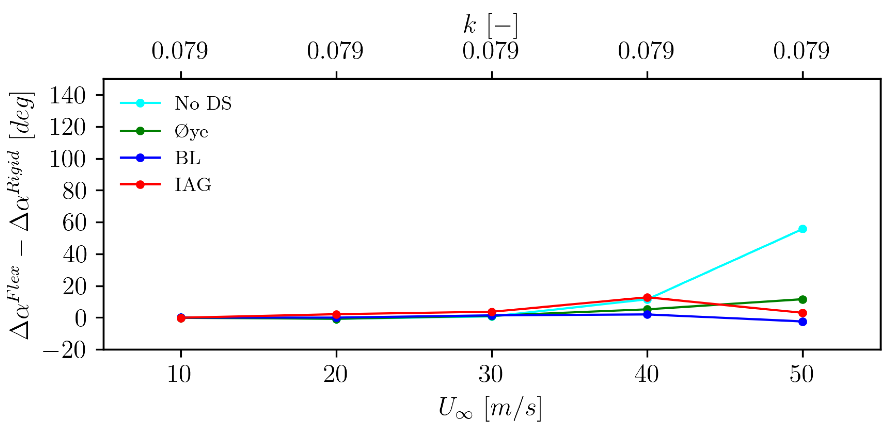
- It is clear that dynamic stall model plays a strong role in the aeroelastic characteristics. The angle of attack range starts to grow away from the rigid blade case when the excitation frequency is between . It is observed that in between this range, the flapwise mode is one souce of the excitation, though the strongest cause is related to the edgewise mode at = 0.5 and = 1.0. This can be used as a rough guidance when performing wind turbine design and running load cases especially in idling or parked conditions.
- The IAG model shows the best agreement with the pitching airfoil data, which represents the rigid conditions. Under the influence of blade flexibility, the IAG model is most sensitive to frequency excitation far from the edgewise resonance. However, when the excitation is close to the edgewise resonance frequency, the IAG model shows a higher aerodynamic damping which increases the blade stability. This explains the characteristics of this model in generating lower loads for the certain idling cases as discussed in [13,17].
- The characteristics of the IAG model for different excitation frequencies are also dependent upon the impulsive contributions. A higher reduced frequency typically increases the impulsive terms.
- Twist distribution is crucial in determining the aeroelastic stability of the blade. Adding a twist distribution (assuming all structural properties the same) only slightly alters the blade modal frequencies, but affects the operating range of the angle of attack.
Funding
Institutional Review Board Statement
Informed Consent Statement
Data Availability Statement
Conflicts of Interest
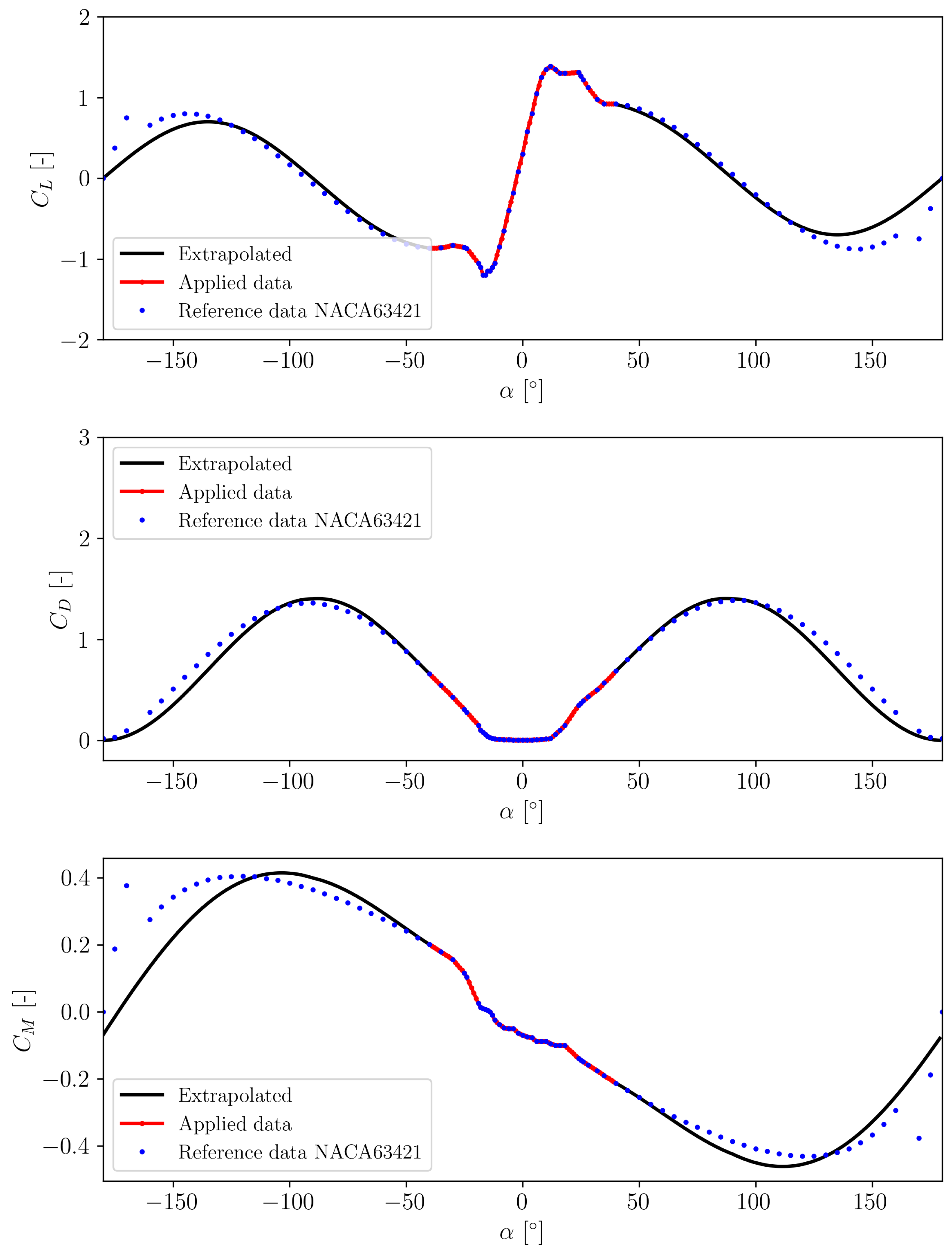
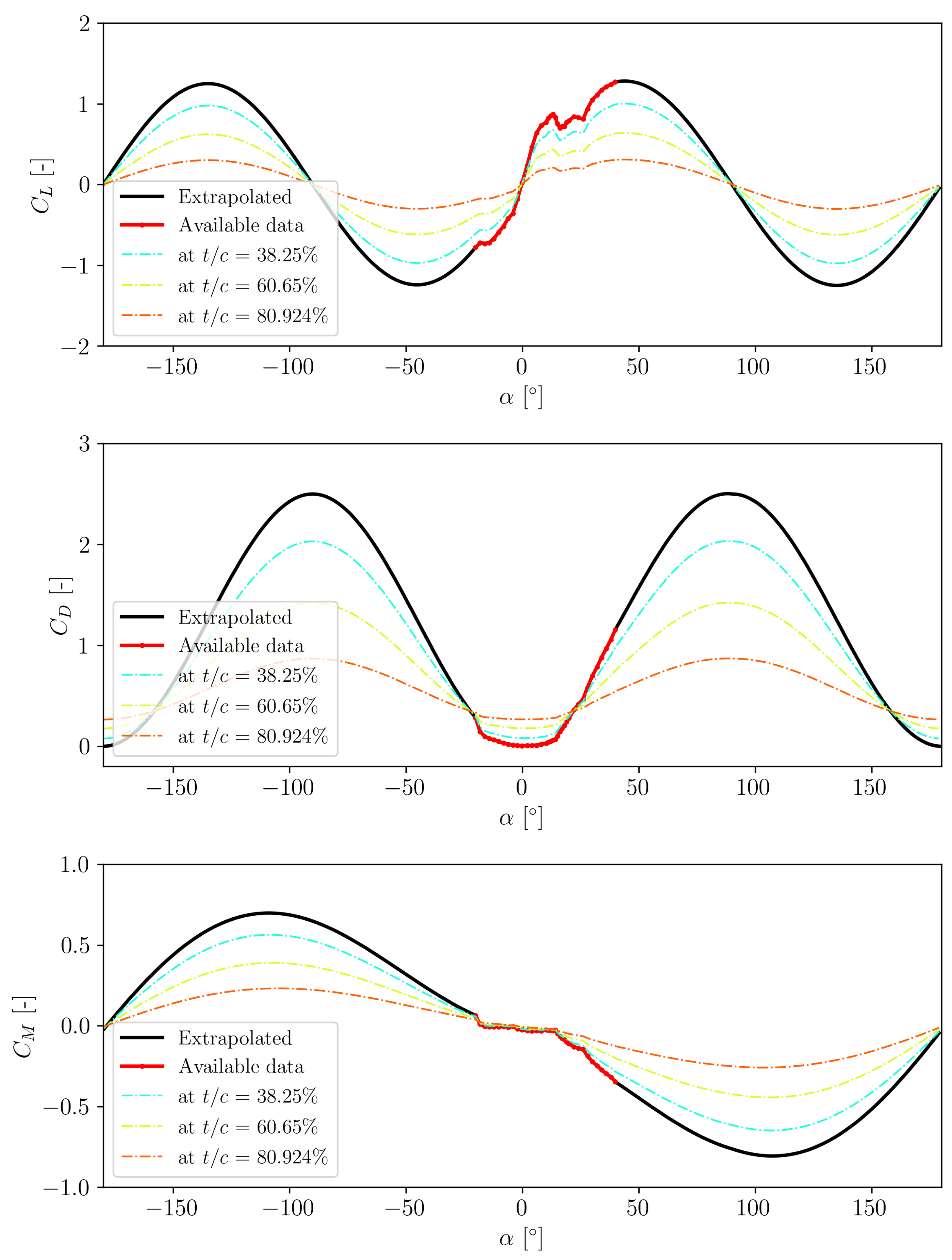
Appendix A. Modified Viterna 360° Extrapolation



Appendix B. Dynamic Polar Characteristics
Appendix B.1. Exposed to Constant Reduced Frequency



Appendix B.2. Exposed to Edgewise Resonance Frequency



References
- Bangga, G. Wind Turbine Aerodynamics Modeling Using CFD Approaches; AIP Publishing LLC, 2022.
- IEC. Wind energy generation systems-Part 1: Design requirements Ed. 4. In IEC Standard IEC-61400-1:2019; International Electrotechnical Commission, 2019.
- DNV. Loads and site conditions for wind turbines. In DNV Standard DNV-ST-0437; Det Norske Veritas, 2021.
- Leishman, J.G.; Beddoes, T. A Semi-Empirical model for dynamic stall. Journal of the American Helicopter society 1989, 34, 3–17. [Google Scholar]
- Larsen, J.W.; Nielsen, S.R.; Krenk, S. Dynamic stall model for wind turbine airfoils. Journal of Fluids and Structures 2007, 23, 959–982. [Google Scholar] [CrossRef]
- ye, S. Dynamic stall simulated as time lag of separation. Proceedings of the 4th IEA Symposium on the Aerodynamics of Wind Turbines. Rome, Italy, 1991.
- Snel, H. Heuristic modelling of dynamic stall characteristics. EWEC-CONFERENCE-. Bookshop for Scientific Publications, 1997, pp. 429–433.
- Hansen, M.H.; Gaunaa, M.; Madsen, H.A. A Beddoes-Leishman type dynamic stall model in state-space and indicial formulations. Technical report, Risø-R-1354, Risø National Laboratory, Denmark, 2004.
- Bangga, G.; Lutz, T.; Arnold, M. An improved second-order dynamic stall model for wind turbine airfoils. Wind Energy Science 2020, 5, 1037–1058. [Google Scholar] [CrossRef]
- Bangga, G.; Parkinson, S.; Collier, W. Development and Validation of the IAG Dynamic Stall Model in State-Space Representation for Wind Turbine Airfoils. Energies 2023, 16, 3994. [Google Scholar] [CrossRef]
- Tran, C.; Petot, D. Semi-empirical model for the dynamic stall of airfoils in view of the application to the calculation of responses of a helicopter blade in forward flight. 6th European Rotorcraft Forum, 1980.
- Tarzanin, F. Prediction of control loads due to blade stall. Journal of the American Helicopter Society 1972, 17, 33–46. [Google Scholar] [CrossRef]
- Bangga, G.; Carrion, M.; Collier, W.; Parkinson, S. Technical modeling challenges for large idling wind turbines. Journal of Physics: Conference Series 2023, 2626, 012026. [Google Scholar] [CrossRef]
- Hansen, M.H. Improved modal dynamics of wind turbines to avoid stall-induced vibrations. Wind Energy: An International Journal for Progress and Applications in Wind Power Conversion Technology 2003, 6, 179–195. [Google Scholar] [CrossRef]
- Wang, K.; Riziotis, V.A.; Voutsinas, S.G. Aeroelastic stability of idling wind turbines. Wind Energy Science 2017, 2, 415–437. [Google Scholar] [CrossRef]
- Chen, C.; Zhou, J.w.; Li, F.; Zhai, E. Stall-induced vibrations analysis and mitigation of a wind turbine rotor at idling state: Theory and experiment. Renewable Energy 2022, 187, 710–727. [Google Scholar] [CrossRef]
- Bangga, G.; Yu, J. Impacts of dynamic stall on engineering model predictions of wind turbines loads under design load cases. Journal of Physics: Conference Series 2024, 2767, 022007. [Google Scholar] [CrossRef]
- Bidadi, S.; Vijayakumar, G.; Deskos, G.; Sprague, M. Three-Dimensional Aerodynamics and Vortex-Shedding Characteristics of Wind Turbine Airfoils over 360-Degree Angles of Attack. Energies 2024, 17, 4328. [Google Scholar] [CrossRef]
- Jia, Y.; Huang, J.; Liu, Q.; Zhao, Z.; Dong, M. The wind tunnel test research on the aerodynamic stability of wind turbine airfoils. Energy 2024, 294, 130889. [Google Scholar] [CrossRef]
- Chen, C.; Zhou, J.w.; Ruan, Z.; Li, F. Nonlinear vortex-induced vibration and its mitigation of wind turbines in parked conditions. Applied Mathematical Modelling 2025, 137, 115666. [Google Scholar] [CrossRef]
- DNV. New model helps engineers predict wind turbine standstill vibration in extreme conditions. https://www.dnv.com/article/new-model-helps-engineers-predict-wind-turbine-standstill-vibration-in-extreme-conditions/, 2024. Accessed: 27 July 2024.
- Sarkar, S.; Bijl, H. Nonlinear aeroelastic behavior of an oscillating airfoil during stall-induced vibration. Journal of Fluids and Structures 2008, 24, 757–777. [Google Scholar] [CrossRef]
- Bir, G.; Jonkman, J. Aeroelastic instabilities of large offshore and onshore wind turbines. Journal of Physics: Conference Series. IOP Publishing, 2007, Vol. 75, p. 012069.
- Tibaldi, C.; Kim, T.; Larsen, T.J.; Rasmussen, F.; Rocca Serra, R.d.; Sanz, F. An investigation on wind turbine resonant vibrations. Wind energy 2016, 19, 847–859. [Google Scholar] [CrossRef]
- Faber, M. A comparison of dynamic stall models and their effect on instabilities. Master’s thesis, 2018.
- Andreou-Serafeim, G. Multi-disciplinary design optimization of wind turbine blades including passive load control techniques. PhD thesis, National Technical University of Athens, 2023.
- Holierhoek, J.G. Aeroelastic Stability Models. Handbook of Wind Energy Aerodynamics 2020, pp. 1–45.
- Horcas, S.; Sørensen, N.; Zahle, F.; Pirrung, G.; Barlas, T. Vibrations of wind turbine blades in standstill: Mapping the influence of the inflow angles. Physics of Fluids 2022, 34. [Google Scholar] [CrossRef]
- DNV. Bladed Theory Manual 4.16. https://dnvgldocs.azureedge.net/BladedManual/, 2024. Accessed: 27 July 2024.
- Collier, W.; Sanz, J.M. Comparison of linear and non-linear blade model predictions in Bladed to measurement data from GE 6MW wind turbine. Journal of Physics: Conference Series 2016, 753, 082004. [Google Scholar] [CrossRef]
- Bangga, G.; Parkinson, S.; Lutz, T. Utilizing high fidelity data into engineering model calculations for accurate wind turbine performance and load assessments under design load cases. IET Renewable Power Generation 2023, 17, 2909–2933. [Google Scholar] [CrossRef]
- Ramsay, R.; Hoffman, M.; Gregorek, G. Effects of grit roughness and pitch oscillations on the S809 airfoil. Technical report, National Renewable Energy Lab., Golden, CO (United States), 1995.
- Gaertner, E.; Rinker, J.; Sethuraman, L.; Zahle, F.; Anderson, B.; Barter, G.; Abbas, N.; Meng, F.; Bortolotti, P.; Skrzypinski, W. ; others. Definition of the IEA 15-megawatt offshore reference wind turbine. Technical report, National Renewable Energy Laboratory (NREL), 2020.
- Viterna, L.A.; Corrigan, R.D. Fixed pitch rotor performance of large horizontal axis wind turbines. Large Horizontal-Axis Wind Turbines 1982.
- Bangga, G.; Kampers, G.; Weihing, P.; Arnold, M.; Kühn, T.; Hölling, M.; Lutz, T. Modeling the static and dynamic characteristics of a wind turbine airfoil and validation with experimental data. Journal of Physics: Conference Series. IOP Publishing, 2020, Vol. 1618, p. 052020.











| No | Mode name | Modal frequency [Hz] |
|---|---|---|
| 1 | 1st flapwise mode | 0.508 |
| 2 | 1st edgewise mode | 0.687 |
| 3 | 2nd flapwise mode | 1.515 |
| 4 | 2nd edgewise mode | 2.059 |
| 5 | 3rd flapwise mode | 3.073 |
| 6 | 3rd edgewise mode | 4.035 |
| 7 | 1st torsional mode | 4.485 |
| No | Mode name | Modal frequency - zero twist [Hz] | Modal frequency - twisted [Hz] |
|---|---|---|---|
| 1 | 1st flapwise mode | 0.508 | 0.509 |
| 2 | 1st edgewise mode | 0.687 | 0.685 |
| 3 | 2nd flapwise mode | 1.515 | 1.516 |
| 4 | 2nd edgewise mode | 2.059 | 2.054 |
| 5 | 3rd flapwise mode | 3.073 | 3.078 |
| 6 | 3rd edgewise mode | 4.035 | 4.028 |
| 7 | 1st torsional mode | 4.485 | 4.489 |
Disclaimer/Publisher’s Note: The statements, opinions and data contained in all publications are solely those of the individual author(s) and contributor(s) and not of MDPI and/or the editor(s). MDPI and/or the editor(s) disclaim responsibility for any injury to people or property resulting from any ideas, methods, instructions or products referred to in the content. |
© 2024 by the authors. Licensee MDPI, Basel, Switzerland. This article is an open access article distributed under the terms and conditions of the Creative Commons Attribution (CC BY) license (http://creativecommons.org/licenses/by/4.0/).