Submitted:
19 September 2024
Posted:
20 September 2024
You are already at the latest version
Abstract
Keywords:
1. Introduction
2. OCT System Coherence, Interference and Noises
3. OCT Unbalanced System
4. OCT Balanced System
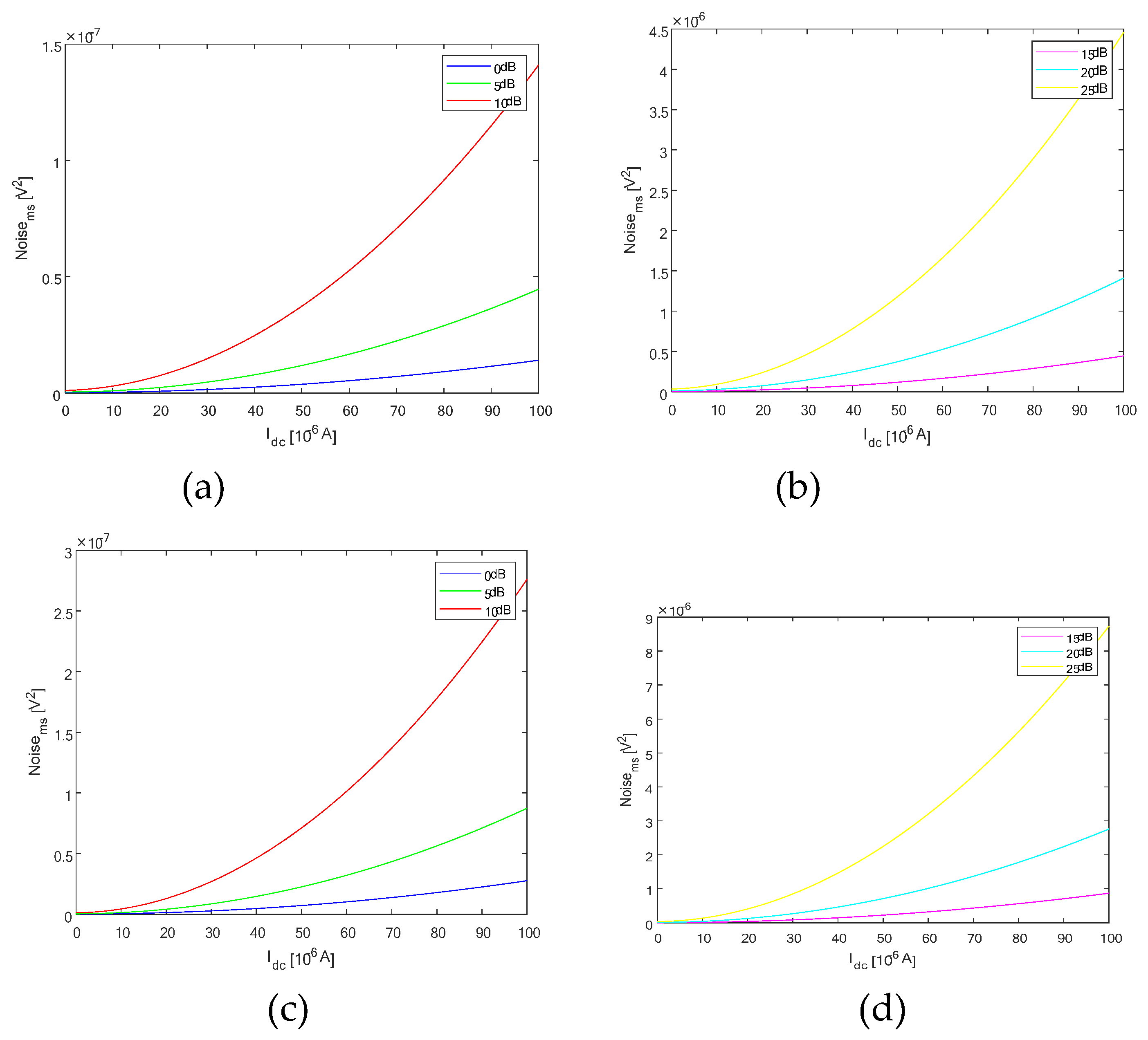
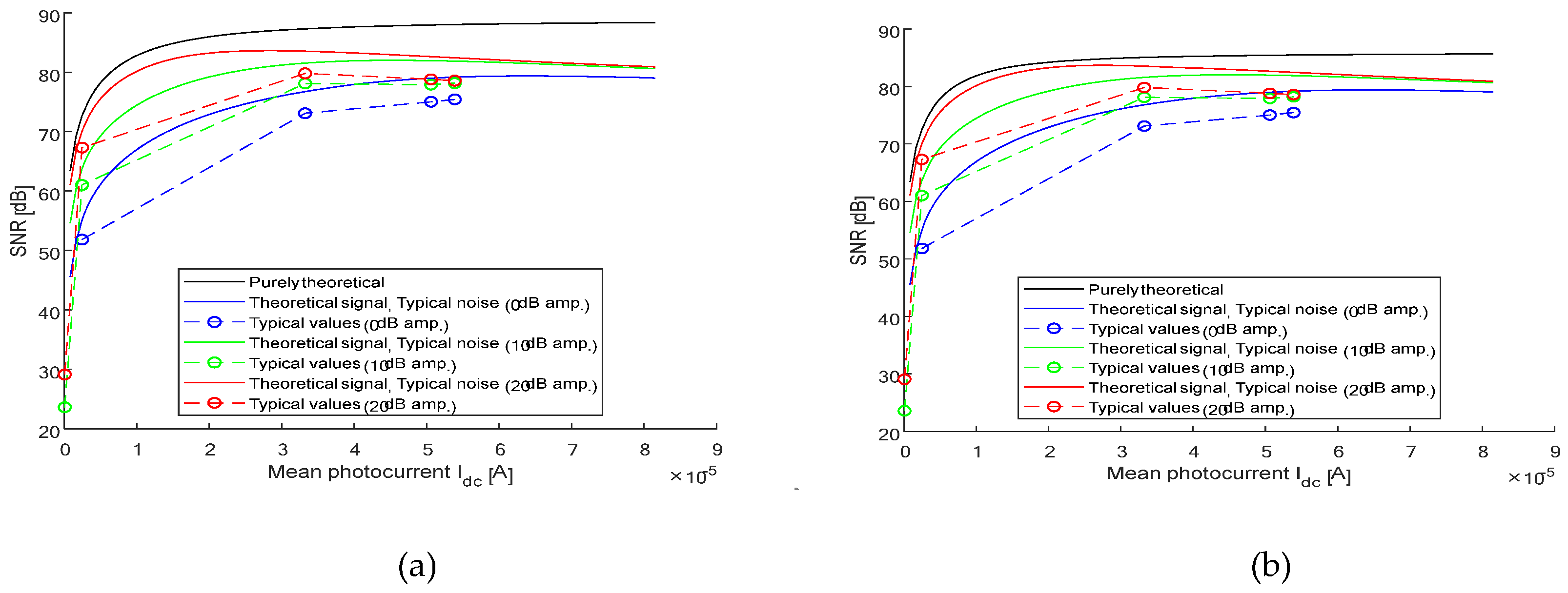
5. OCT Balanced System Four Beam Splitters and attenuator Numerical simulation
6. Discussion
Conclusions
References
- A. Gh. Podoleanu, Optical coherence tomography, Journal of Microscopy, 2012.
- David Huang, Eric A. Swanson, Charles P. Lin, Joel S. Schuman, William G. Stinson, Warren Chang, Michael R. Hee, Thomas Flotte, Kenton Gregory, and James G. Fujimoto, Optical coherence tomography, Science, Vol. 254, Issue. 5035, pp. 1178 – 1181, 1991.
- A. Gh Podoleanu, Optical coherence tomography, British Journal of Radiology, Vol. 78, No. 935, 2014.
- E. Regar, J. A. Schaar, E. Mont, R. Virmani, P. W. Serruys, Optical coherence tomography, Cardiovascular Radiation Medicine, Vol. 4, Issue. 4, pp. 198 – 204, 2003.
- A. F. Fercher, W. Drexler, C. K. Hitzenberger and T. Lasser, Optical coherence tomography – principles and applications, Reports on Progress in Physics, Vol. 66, No. 2, 2003. [CrossRef]
- Wolfgang Drexler, James G. Fujimoto, Optical coherence tomography, technology and applications, 2008 th edition.
- J. M. Schmitt, Optical coherence tomography (OCT): a review, IEEE Journal of Selected topics in quantum electronics, Vol. 5, Issue. 4, pp. 1205 – 1215, 1999.
- A. F. Fercher, C. K. Hitzenberger, Chapter 4 – Optical coherence tomography, Progress in Optics, Vol. 44, pp. 215 – 302, 2002.
- P. H. Tomlins and R. K. Wang, Theory, developments and applications of optical coherence tomography, Journal of Physics D: Applied Physics, 38, pp. 2519 – 2535, 2005. [CrossRef]
- U. Morgner, W. Drexler, F. X. Kartner, X. D. Li, C. Pitris, E. P. Ippen, and J. G. Fujimoto, Spectroscopic optical coherence tomography, Optics Letters, Vol. 25, Issue. 2, pp. 111 – 113, 2000.
- Wolfgang Drexler and James G. Fujimoto, State – of – the – art retinal optical coherence tomography, Progress in Retinal and Eye Research, Vol. 27, Issue. 1, pp. 45 – 88, 2008.
- Adrian Bradu and Adrian Gh. Podoleanu, Fourier domain optical coherence tomography system with balance detection, Optics Express, Vol. 20, Issue. 16, pp. 17522 – 17538, 2012. [CrossRef]
- Wen – Chuan Kuo, Chih – Ming Lai, Yi – Shiang Huang, Cheng – Yi Chang, and Yue – Ming Kuo, Balanced detection of spectral domain optical coherence tomography, Optics express, Vol. 21, Issue. 16, pp. 19280 – 19291, 2013.
- Min Gyu Hyeon, Hyung – Jin Kim, Beop – Min Kim, and Tae Joong Eom, Spectral domain optical coherence tomography with balanced detection using single line – scan camera and optical delay line, Vol. 23, Issue. 18, pp. 23079 – 23091, 2015.
- Carla Carmelo and Adrian Gh. Podoleanu, Limitation of the achievable signal – to – noise ratio in optical coherence tomography due to mismatch of the balanced receiver, Applied Optics, Vol. 43, Issue. 25, pp. 4802 – 4815, 2004.
- Nestor Uribe – Patarroyo, Sahar Hosseinzadeh Kassani, Martin Villiger, and Brett E. Bouma, Robust wavenumber and dispersion calibration for Fourier – domain optical coherence tomography, Optics Express, Vol. 26, Issue. 7, pp. 9081 – 9094, 2018.
- En Bo, Xinyu Liu, Linbo Liu, Signal – to – noise ratio enhanced spectral domain optical coherence tomography with dual detection, Procedia Engineering, Vol. 140, pp. 140 – 143, Elsevier, 2016.
- B. I. Akca, B. Povazay, A. Alex, K. Worhoff, R. M. de Ridder, W. Drexler, and M. Pollnau, Miniature spectrometer and beam splitter for an optical coherence tomography on a silicon chip, Optics Express, Vol. 21, Issue. 14, pp. 16648 – 16656, 2013. [CrossRef]
- Andrew M. Rollins and Joseph A. Izatt, Optimal interferometer designs for optical coherence tomography, Optics Letters, Vol. 24, Issue. 21, pp. 1484 – 1486, 1999. [CrossRef]
- Mark C. Booth, Bahaa E. A, Saleh, Malvin Carl Teich, Polarization – sensitive quantum optical coherence tomography, Optics Communications, Vol. 248, pp. 2542 – 2549, Issue 10 – 11, 2011.
- Choma, M.A.; Sarunic, M.V.; Yang, C.; Izatt, J.A. Sensitivity advantage of swept-source and Fourier-domain optical coherence tomography. Opt. Express 2003, 11, 2183–2189. [CrossRef]
- Hsieh, Y.-S.; Ho, Y.-C.; Lee, S.-Y.; Chuang, C.-C.; Tsai, J.-c.; Lin, K.-F.; Sun, C.-W. Dental Optical Coherence Tomography. Sensors 2013, 13, 8928–8949. [CrossRef]
- Mehreen, A.; Duker, J.S. Optical coherence tomography–current and future applications, Curr. Opin. Ophthalmol. 2013, 24, 213–221.
- Cogliati, A.; Canavesi, C.; Hayes, A.; Tankam, P.; Duma, V.-F.; Santhanam, A.; Thompson, K.P.; Rolland, J.P. MEMS-based handheld scanning probe for distortion-free images in Gabor-Domain Optical Coherence Microscopy. Opt. Express 2016, 24, 13365–13374.
- Drexler, W.; Liu, M.; Kumar, A.; Kamali, T.; Unterhuber, A.; Leitgeb, R.A. Optical coherence tomography today: Speed, con-trast, and multimodality. J. Biomed. Opt. 2014, 19, 071412. [CrossRef]
- Zahid Yaqoob, Jigang Wu, and Changhuei Yang, Spectral domain optical coherence tomography: a better OCT imaging strategy, Bio Techniques 39:S6-S13, 2005. [CrossRef]








Disclaimer/Publisher’s Note: The statements, opinions and data contained in all publications are solely those of the individual author(s) and contributor(s) and not of MDPI and/or the editor(s). MDPI and/or the editor(s) disclaim responsibility for any injury to people or property resulting from any ideas, methods, instructions or products referred to in the content. |
© 2024 by the authors. Licensee MDPI, Basel, Switzerland. This article is an open access article distributed under the terms and conditions of the Creative Commons Attribution (CC BY) license (http://creativecommons.org/licenses/by/4.0/).