Submitted:
11 September 2024
Posted:
12 September 2024
You are already at the latest version
Abstract
Keywords:
1. Introduction
2. China’s Winter Heating System: Background and Evolution
3. Data and Descriptive Statistics
3.1. Data
3.1.1. Air Quality Data
3.1.2. Municipal Central Heating
3.1.3. City-level Socioeconomic Data
3.2. Summary Statistics
4. Empirical Strategy and Results
4.1. Econometric Model
4.2. Baseline Results
5. Discussion and Robustness Checks
5.1. Parallel Pre-Trends and Dynamic Effects of the REHP
5.2. Heterogeneity Effects
5.3. Mechanism Analysis
6. Robustness Tests
6.1. Placebo Test
6.2. Alternative Treatment Variable
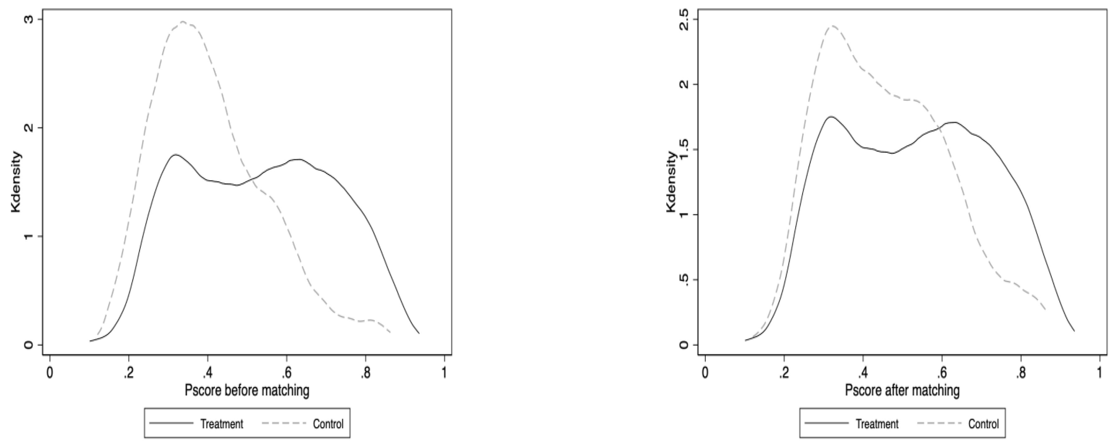
6.3. Alternative Propensity Matching Methods
6.4. Eliminating the Interference of Other Policies
7. Conclusions
Funding
Institutional Review Board Statement
Informed Consent Statement
Data Availability Statement
Conflicts of Interest
Appendix A
| Province | Num. | Cities |
|---|---|---|
| (1) Municipal Central Heating (Treatment Group) | ||
| Beijing | 1 | Beijing |
| Tianjin | 1 | Tianjin |
| Hebei | 10 | Baoding, Langfang, Zhangjiakou, Chengde, Cangzhou, Shijiazhuang, Qinhuangdao, Hengshui, Xingtai, Handan |
| Inner Mongolia | 9 | Ulanqab, Wuhai, Baotou, Hulunbuir, Hohhot, Bayannur, Chifeng, Tongliao, Ordos |
| Shanxi | 11 | Linfen, Luliang, Datong, Taiyuan, Xinzhou, Jinzhong, Jincheng, Shuozhou, Yuncheng, Changzhi, Yangquan |
| Shandong | 16 | Dongying, Linyi, Weihai, Dezhou, Rizhao, Zaozhuang, Tai ’an, Jinan, Jining, Zibo, Binzhou, Weifang, Yantai, Liaocheng, Heze, Qingdao |
| Heilongjiang | 12 | Qitaihe, Yichun, Jiamusi, Shuangyashan, Harbin, Daqing, Mudanjiang, Suihua, Jixi, Hegang, Heihe,Tsitsihar |
| Jilin | 8 | Jilin, Siping, Songyuan, Baicheng, Baishan, Liaoyuan, Tonghua, Changchun |
| Liaoning | 14 | Dandong, Dalian, Fushun, Chaoyang, Benxi, Shenyang, Panjin, Yingkou,Huludao, Liaoyang, Tieling, Jinzhou, Fuxin, Anshan |
| Shaanxi | 10 | Xianyang, Shangluo, Ankang, Baoji, Yan’an, Yulin, Hanzhong, Weinan, Xi’an, Tongchuan |
| Ningxia | 5 | Zhongwei, Wuzhong, Guyuan, Shizuishan, Yinchuan |
| Gansu | 12 | Lanzhou, Jiayuguan, Tianshui, Dingxi, Pingliang, Qingyang, Zhangye, Wuwei, Baiyin, Jiuquan, Jinchang, Longnan |
| Qinghai | 3 | Haidong, Hainan Tibetan Autonomous Prefecture, Xining |
| Xinjiang | 4 | Urumqi, Karamay, Turpan, Hami |
| Henan | 15 | Sanmenxia, Nanyang, Shangqiu, Anyang, Pingdingshan, Kaifeng, Xinxiang, Luoyang, Luohe, Puyang, Jiaozuo, Xuchang, Zhengzhou, Zhumadian, Hebi |
| Anhui | 1 | Hefei |
| Jiangsu | 1 | Xuzhou |
| Total | 135 | |
| (2) Partial or District-based Heating (Treatment Group) | ||
| Anhui | 7 | Wuhu, Bengbu, Huainan, Suzhou, Huaibei, Fuyang, Bozhou |
| Jiangsu | 6 | Lianyungang, Changzhou, Nanjing, Yangzhou, Suzhou, Huai ’an |
| Hubei | 3 | Shiyan, Xiangyang, Jingmen |
| Guizhou | 1 | Liupanshui |
| Tibet | 2 | Lhasa, Naqu |
| Total | 19 | |
| (3) No municipal Central Heating (Control Group) | ||
| Henan | 2 | Xinyang, Zhoukou |
| Anhui | 8 | Lu’an, Anqing, Xuancheng, Chizhou, Chuzhou, Tongling, Maanshan, Huangshan |
| Jiangsu | 7 | Nantong, Suqian, Xuzhou, Wuxi, Taizhou, Yancheng, Zhenjiang |
| Hubei | 9 | Xianning, Xiaogan, Yichang, Wuhan, Jingzhou, Ezhou, Suizhou, Huanggang, Huangshi |
| Guizhou | 5 | Anshun, Bijie, Guiyang, Zunyi, Tongren |
| Sichuan | 17 | Leshan, Neijiang, Nanchong, Yibin, Bazhong, Guangyuan, Guang’an, Deyang, Chengdu, Panzhihua, Luzhou, Meishan, Mianyang, Zigong, Dazhou, Suining, Ya’an |
| Yunnan | 8 | Lincang, Lijiang, Baoshan, Kunming, Zhaotong, Pu’er, Qujing, Yuxi |
| Tibet | 4 | Shannan, Xigaze, Qamdo, Nyingchi |
| Shanghai | 1 | Shanghai |
| Chongqing | 1 | Chongqing |
| Zhejiang | 11 | Lishui, Taizhou, Jiaxing, Ningbo, Hangzhou, Wenzhou, Huzhou, Shaoxing, Zhoushan, Quzhou, Jinhua |
| Fujian | 9 | Sanming, Nanping, Xiamen, Ningde, Quanzhou, Zhangzhou, Fuzhou, Putian, Longyan |
| Jiangxi | 11 | Shangrao, Jiujiang, Nanchang, Ji’an, Yichun, Fuzhou, Xinyu, Jingdezhen, Pingxiang, Ganzhou, Yingtan |
| Hunan | 13 | Loudi, Yueyang, Changde, Zhangjiajie, Huaihua, Zhuzhou, Yongzhou, Xiangtan, Yiyang , Hengyang, Shaoyang, Chenzhou, Changsha |
| Guangdong | 21 | Dongguan, Zhongshan, Yunfu, Foshan, Guangzhou, Huizhou, Jieyang, Meizhou, Shantou, Shanwei, Jiangmen, Heyuan, Shenzhen, Qingyuan, Zhanjiang, Chaozhou, Zhuhai, Zhaoqing, Maoming, Yangjiang, Shaoguan |
| Guangxi | 14 | Beihai, Nanning, Chongzuo, Laibin, Liuzhou, Guilin, Wuzhou, Hechi, Yulin, Baise, Guigang, Hezhou, Qinzhou, Fangchenggang |
| Hainan | 4 | Sanya, Sansha, Danzhou, Haikou |
| Total | 145 | |
| Variable | Unmatched Matched |
Mean | %bias | %reduct |bias| |
t-test | ||
|---|---|---|---|---|---|---|---|
| Treated | Control | t | p>|t| | ||||
| LnGDP | U | 10.849 | 10.893 | -9.4 | 98.8 | -2.34 | 0.019 |
| M | 10.852 | 10.851 | 0.1 | 0.03 | 0.978 | ||
| LnPop | U | 5.466 | 5.995 | -65.3 | 94.7 | -16.49 | 0.000 |
| M | 5.484 | 5.513 | -3.5 | -0.77 | 0.444 | ||
| LnInd | U | 6.325 | 6.866 | -52.8 | 85.1 | -13.26 | 0.000 |
| M | 6.341 | 6.421 | -7.8 | -1.74 | 0.081 | ||
| Exp | U | 0.218 | 0.192 | 32.1 | 100.0 | 8.08 | 0.000 |
| M | 0.218 | 0.218 | 0.0 | 0.00 | 0.999 | ||
| IndStr | U | 0.458 | 0.447 | 14.7 | 13.9 | 3.68 | 0.000 |
| M | 0.457 | 0.466 | -12.6 | -3.04 | 0.002 | ||
| (1) | (2) | (3) | (4) | |
|---|---|---|---|---|
| Dep.Variable | ||||
| Treat*Post | -0.1673*** | -0.0488*** | -0.0023 | -0.0066 |
| (0.0292) | (0.0168) | (0.0137) | (0.0125) | |
| LnGDP | -0.1394* | -0.0600 | 0.1063*** | 0.1124*** |
| (0.0833) | (0.0441) | (0.0382) | (0.0368) | |
| LnPop | 0.2232 | -0.0606 | -0.1329 | 0.0123 |
| (0.3092) | (0.1267) | (0.1144) | (0.1434) | |
| LnInd | 0.0411 | 0.0418 | 0.0656*** | -0.0009 |
| (0.0545) | (0.0273) | (0.0225) | (0.0195) | |
| Exp | -0.1253 | -0.2386 | 0.0522 | -0.0245 |
| (0.3556) | (0.2061) | (0.1726) | (0.1870) | |
| IndStr | -0.2473 | -0.0665 | -0.1422 | -0.2006* |
| (0.2457) | (0.1420) | (0.1171) | (0.1157) | |
| City FEs | Yes | Yes | Yes | Yes |
| Year FEs | Yes | Yes | Yes | Yes |
| Observation | 2504 | 2504 | 2504 | 2504 |
| adj. | 0.867 | 0.842 | 0.913 | 0.916 |




References
- Cesur, R., Tekin, E., and Ulker, A. (2017). Air pollution and infant mortality: evidence from the expansion of natural gas infrastructure. The Economic Journal, 127(600):330–362. [CrossRef]
- Beach, B. and Hanlon, W. W. (2018). Coal smoke and mortality in an early industrial economy. The Economic Journal, 128(615): 2652–2675. [CrossRef]
- Johnsen, R., LaRiviere, J., and Wolff, H. (2019). Fracking, coal, and air quality. Journal of the Association of Environmental and Resource Economists, 6(5):1001–1037.
- Chu, Y., Holladay, J. S., Qiu, Y., Tian, X.-L., and Zhou, M. (2023). Air pollution and mortality impacts of coal mining: Evidence from coalmine accidents in china. Journal of Environmental Economics and Management, 121, 102846. [CrossRef]
- Sweidan, O. D. (2021). The geopolitical risk effect on the us renewable energy deployment. Journal of Cleaner Production, 293, 126189. [CrossRef]
- Lee, C.-C., Hussain, J., and Chen, Y. (2022). The optimal behavior of renewable energy resources and government’s energy consumption subsidy design from the perspective of green technology implementation. Renewable Energy, 195:670–680. [CrossRef]
- Onder, M. and Yigit, E. (2009). Assessment of respirable dust exposures in an opencast coal mine. Environmental Monitoring and Assessment, 152:393–401. [CrossRef]
- Aneja, V. P., Isherwood, A., and Morgan, P. (2012). Characterization of particulate matter (pm10) related to surface coal mining operations in appalachia. Atmospheric Environment, 54:496–501. [CrossRef]
- Knuckles, T. L., Stapleton, P. A., Minarchick, V. C., Esch, L., McCawley, M., Hendryx, M., and Nurkiewicz, T. R. (2013). Air pollution particulate matter collected from an appalachian mountaintop mining site induces microvascular dysfunction. Microcirculation, 20(2):158–169. [CrossRef]
- Ito, K. and Zhang, S. (2020). Willingness to pay for clean air: Evidence from air purifier markets in china. Journal of Political Economy, 128(5):1627–1672. [CrossRef]
- Chen, Y., Ebenstein, A., Greenstone, M., and Li, H. (2013). Evidence on the impact of sustained exposure to air pollution on life expectancy from china’s huai river policy. Proceedings of the National Academy of Sciences, 110(32):12936–12941. [CrossRef]
- Fan, M., He, G., and Zhou, M. (2020). The winter choke: coal-fired heating, air pollution, and mortality in china. Journal of Health Economics, 71:102316. [CrossRef]
- Lin, J. and Mou, D. (2021). Analysis of the optimal spatial distribution of natural gas under ‘transition from coal to gas’ in china. Resource and Energy Economics, 66:101259. [CrossRef]
- Arora, V., Cai, Y., and Jones, A. (2016). The national and international impacts of coal-to-gas switching in the chinese power sector. Energy Economics, 60:416–426. [CrossRef]
- Liu, H. and Mauzerall, D. L. (2020). Costs of clean heating in china: Evidence from rural households in the beijing-tianjin-hebei region. Energy Economics, 90:104844. [CrossRef]
- Zhang, Y., Li, W., and Wu, F. (2020). Does energy transition improve air quality? Evidence derived from china’s Winter Clean Heating Pilot (WCHP) project. Energy, 206:118130. [CrossRef]
- Song, C., Liu, B., Cheng, K., Cole, M. A., Dai, Q., Elliott, R. J., and Shi, Z. (2023). Attribution of air quality benefits to clean winter heating policies in china: combining machine learning with causal inference. Environmental Science & Technology, 57(46):17707–17717. [CrossRef]
- Tan, X., Chen, G., and Chen, K. (2023). Clean heating and air pollution: Evidence from northern china. Energy Reports, 9:303–313. [CrossRef]
- Zhou, X. and Feng, C. (2017). The impact of environmental regulation on fossil energy consumption in china: Direct and indirect effects. Journal of Cleaner Production, 142:3174–3183. [CrossRef]
- Zhao, J., Jiang, Q., Dong, X., and Dong, K. (2020). Would environmental regulation improve the greenhouse gas benefits of natural gas use? A chinese case study. Energy Economics, 87:104712. [CrossRef]
- Wang, E. Z. and Lee, C. C. (2022). The impact of clean energy consumption on economic growth in china: is environmental regulation a curse or a blessing? International Review of Economics & Finance, 77:39–58.
- Lee, C. C., Yuan, Z., Lee, C. C., and Chang, Y. F. (2022b). The impact of renewable energy technology innovation on energy poverty: does climate risk matter? Energy Economics, 116:106427.
- Lee, C. C., Chen, M. P., and Yuan, Z. (2023). Is information and communication technology a driver for renewable energy? Energy Economics, 124:106786.
- Madaleno, M., Dogan, E., and Taskin, D. (2022). A step forward on sustainability: The nexus of environmental responsibility, green technology, clean energy and green finance. Energy Economics, 109:105945. [CrossRef]
- Khan, K., Su, C. W., Rehman, A. U., and Ullah, R. (2022). Is technological innovation a driver of renewable energy? Technology in Society, 70:102044.
- Lee, C. C., Yuan, Z., Lee, C. C., and Chang, Y.-F. (2022c). The impact of renewable energy technology innovation on energy poverty: does climate risk matter? Energy Economics, 116:106427.
- Lee, C. C. and Wang, C. S. (2022). Does natural resources matter for sustainable energy development in china: The role of technological progress. Resources Policy, 79:103077. [CrossRef]
- Almond, D., Chen, Y., Greenstone, M., and Li, H. (2009). Winter heating or clean air? unintended impacts of china’s huai river policy. American Economic Review, 99(2):184–190. [CrossRef]
- National Research Council (2005). Urbanization, Energy, and Air Pollution in China: The Challenges Ahead: Proceedings of a Symposium. Washington, DC: National Academies Press..
- Chen, Z., Kahn, M. E., Liu, Y., and Wang, Z. (2018). The consequences of spatially differentiated water pollution regulation in china. Journal of Environmental Economics and Management, 88:468–485. [CrossRef]
- Su, Y., Chen, X., Li, Y., Liao, J., Ye, Y., Zhang, H., Huang, N., and Kuang, Y. (2014). China’s 19-year city-level carbon emissions of energy consumptions, driving forces and regionalized mitigation guidelines. Renewable and Sustainable Energy Reviews, 35:231–243.
- Shi, K., Chen, Y., Yu, B., Xu, T., Yang, C., Li, L., Huang, C., Chen, Z., Liu, R., and Wu, J. (2016). Detecting spatiotemporal dynamics of global electric power consumption using DMSP-OLS nighttime stable light data. Applied energy, 184:450–463. [CrossRef]
- Elvidge, C. D., Baugh, K. E., Kihn, E. A., Kroehl, H. W., Davis, E. R., and Davis, C. W. (1997). Relation between satellite observed visible-near infrared emissions, population, economic activity and electric power consumption. International Journal of Remote Sensing, 18(6):1373–1379. [CrossRef]
- Chand, T. K., Badarinath, K., Elvidge, C., and Tuttle, B. (2009). Spatial characterization of electrical power consumption patterns over india using temporal DMSP-OLS night-time satellite data. International Journal of Remote Sensing, 30(3):647–661. [CrossRef]
- Townsend, A. C. and Bruce, D. A. (2010). The use of night-time lights satellite imagery as a measure of australia’s regional electricity consumption and population distribution. International Journal of Remote Sensing, 31(16):4459–4480. [CrossRef]
- Rosenbaum, P. R. and Rubin, D. B. (1984). Reducing bias in observational studies using subclassification on the propensity score. Journal of the American statistical Association, 79(387):516–524.
- D’Agostino Jr, R. B. (1998). Propensity score methods for bias reduction in the comparison of a treatment to a non-randomized control group. Statistics in Medicine, 17(19):2265–2281.
- Gao, Y. and Sampattavanija, S. (2022). Air quality and winter heating: some evidence from china. International Journal of Energy Economics and Policy, 12(4):455–469. [CrossRef]
- Aw, J. and Kleeman, M. J. (2003). Evaluating the first-order effect of intraannual temperature variability on urban air pollution. Journal of Geophysical Research: Atmospheres, 108(D12). [CrossRef]
- Dominick, D., Latif, M. T., Juahir, H., Aris, A. Z., and Zain, S. M. (2012). An assessment of influence of meteorological factors on pm sub (10) and no sub (2) at selected stations in malaysia. Sustainable Environment Research, 22(5):305–315.
- Jayamurugan, R., Kumaravel, B., Palanivelraja, S., and Chockalingam, M. (2013). Influence of temperature, relative humidity and seasonal variability on ambient air quality in a coastal urban area. International Journal of Atmospheric Sciences, 2013(1):264046. [CrossRef]
- Yang, D., Wang, X., Xu, J., Xu, C., Lu, D., Ye, C., Wang, Z., and Bai, L. (2018). Quantifying the influence of natural and socioeconomic factors and their interactive impact on pm2. 5 pollution in china. Environmental Pollution, 241:475–483. [CrossRef]
- Bickerstaff, K. and Walker, G. (2001). Public understandings of air pollution: the ‘localisation’of environmental risk. Global Environmental Change, 11(2):133–145.
- Wang, S., Zhang, R., Wan, L., and Chen, J. (2023). Has central government environmental protection interview improved air quality in china? Ecological Economics, 206:107750.
- Jayasooriya, V., Ng, A., Muthukumaran, S., and Perera, B. (2017). Green infrastructure practices for improvement of urban air quality. Urban Forestry & Urban Greening, 21:34–47. [CrossRef]
- Chen, Y., Yao, Z., and Zhong, K. (2022). Do environmental regulations of carbon emissions and air pollution foster green technology innovation: evidence from china’s prefecture-level cities. Journal of Cleaner Production, 350:131537. [CrossRef]
- Semenza, J. C., Wilson, D. J., Parra, J., Bontempo, B. D., Hart, M., Sailor, D. J., and George, L. A. (2008). Public perception and behavior change in relationship to hot weather and air pollution. Environmental Research, 107(3):401–411. [CrossRef]
- Maione, M., Mocca, E., Eisfeld, K., Kazepov, Y., and Fuzzi, S. (2021). Public perception of air pollution sources across europe. Ambio, 50(6):1150–1158. [CrossRef]
- Porter, M. E. and Linde, C. v. d. (1995). Toward a new conception of the environment-competitiveness relationship. Journal of Economic Perspectives, 9(4):97–118.
- Abadie, A. and Imbens, G. W. (2006). Large sample properties of matching estimators for average treatment effects. Econometrica, 74(1):235–267. [CrossRef]
- Baser, O. (2006). Too much ado about propensity score models? comparing methods of propensity score matching. Value in Health, 9(6):377–385. [CrossRef]
- Benedetto, U., Head, S. J., Angelini, G. D., and Blackstone, E. H. (2018). Statistical primer: propensity score matching and its alternatives. European Journal of Cardio-Thoracic Surgery, 53(6):1112–1117. [CrossRef]
| 1 | The data are openly accessible at https://air.cnemc.cn:18007/. |
| 2 | These terms include "environmental protection", "pollution", "energy", "emission", "sewage", "ecology", "green", "low carbon", "air", "sulfur dioxide", "carbon dioxide", "PM10", and "PM2.5", etc. |
| 3 | The only exception is the industrial structure variable (IndStr), which, although slightly above 10%, remains within the acceptable range of below 20%. |
| 4 | Data source: Decarbonize Urban Heating System: China Building Energy and Emission Yearbook 2023. Springer Nature, 2023. |

| Variable | Definition | |
|---|---|---|
| LnAQI | Log of Air Quality Index | |
| LnSO2 | Log of the average annual SO2 concentration | |
| LnCO | Log of the average annual CO concentration | |
| LnNO2 | Log of the average annual NO2 concentration | |
| LnPM25 | Log of the average annual PM2.5 concentration | |
| LnGDP | Log of GDP per capita | |
| LnPop | Log of population density | |
| LnInd | Log of number of industrial enterprises above designated size | |
| Exp | Ratio of government general public budget expenditure of GDP | |
| IndStr | Proportion of added value of tertiary industry | |
| LnCoal | Total consumption of standard coal | |
| EnvReg | Log of (1+Word frequency of environment in the government work report) | |
| TechExp | Ratio of government expenditure on science and technology to GDP |
| Panel A: Comparison of air quality and energy consumption | |||||||||||||||
|---|---|---|---|---|---|---|---|---|---|---|---|---|---|---|---|
| Variable | Central heating Regions | Non-Central Heating Regions | Diff. in Mean |
T-stat | |||||||||||
| Obs. | Mean | Std. Dev. | Obs. | Mean | Std. Dev. | ||||||||||
| LnAQI | 1180 | 4.401 | 0.238 | 1349 | 4.214 | 0.259 | 0.188*** | 18.908 | |||||||
| LnSO2 | 1180 | 2.808 | 0.645 | 1349 | 2.417 | 0.552 | 0.391*** | 16.415 | |||||||
| LnCO | 1180 | -0.136 | 0.361 | 1349 | -0.197 | 0.288 | 0.061*** | 4.698 | |||||||
| LnNO2 | 1180 | 3.381 | 0.338 | 1349 | 3.208 | 0.377 | 0.174*** | 12.107 | |||||||
| LnPM25 | 1180 | 3.732 | 0.370 | 1349 | 3.566 | 0.421 | 0.166*** | 10.441 | |||||||
| LnCoal | 1242 | 11.58 | 0.866 | 1431 | 11.46 | 0.830 | 0.119*** | 3.628 | |||||||
| Panel B: Descriptive statistics of variables in whole sample | |||||||||||||||
| Variable | Obs. | Mean | Min | Max | Median | Std. Dev | |||||||||
| LnAQI | 2529 | 4.301 | 3.521 | 5.129 | 4.313 | 0.266 | |||||||||
| LnSO2 | 2529 | 2.600 | 0.734 | 4.770 | 2.519 | 0.628 | |||||||||
| LnCO | 2529 | -0.169 | -1.147 | 1.017 | -0.193 | 0.325 | |||||||||
| LnNO2 | 2529 | 3.289 | 1.540 | 4.190 | 3.320 | 0.370 | |||||||||
| LnPM25 | 2529 | 3.643 | 1.720 | 4.817 | 3.648 | 0.407 | |||||||||
| LnCoal | 2673 | 11.52 | 7.406 | 13.60 | 11.53 | 0.849 | |||||||||
| LnGDP | 2642 | 10.88 | 9.227 | 12.46 | 10.85 | 0.527 | |||||||||
| LnPop | 2654 | 5.663 | 0.244 | 8.100 | 5.848 | 1.092 | |||||||||
| LnInd | 2647 | 6.556 | 1.099 | 9.536 | 6.600 | 1.203 | |||||||||
| Exp | 2642 | 0.221 | 0.0440 | 2.060 | 0.184 | 0.141 | |||||||||
| IndStr | 2642 | 0.454 | 0.198 | 0.839 | 0.450 | 0.0920 | |||||||||
| EnvReg | 2549 | 3.831 | 1.386 | 4.942 | 3.871 | 0.409 | |||||||||
| TechExp | 2649 | 10.57 | 6.252 | 15.53 | 10.47 | 1.511 | |||||||||
| (1) | (2) | (3) | (4) | |
|---|---|---|---|---|
| Model | Benchmark DID | PSM-DID | ||
| Dep.Variable | AQI | AQI | AQI | AQI |
| Treat*Post | -0.0215*** | -0.0195*** | -0.0404*** | -0.0359*** |
| (0.0074) | (0.0068) | (0.0096) | (0.0088) | |
| LnGdp | 0.0695*** | 0.1213*** | ||
| (0.0213) | (0.0273) | |||
| LnPop | 0.1960** | 0.0414 | ||
| (0.0831) | (0.1596) | |||
| LnInd | 0.0052 | -0.0220 | ||
| (0.0118) | (0.0192) | |||
| Exp | -0.0864 | -0.1710 | ||
| (0.1035) | (0.1559) | |||
| IndStr | -0.2040*** | -0.1583 | ||
| (0.0623) | (0.1040) | |||
| City FEs | Yes | Yes | Yes | Yes |
| Year FEs | Yes | Yes | Yes | Yes |
| Observation | 2529 | 2504 | 1146 | 1146 |
| adj. | 0.923 | 0.929 | 0.935 | 0.938 |
| (1) | (2) | (3) | (4) | |
|---|---|---|---|---|
| Dep.Variable | ||||
| Treat*Post | -0.2831*** | -0.0757* | -0.0572*** | -0.0715*** |
| (0.0372) | (0.0411) | (0.0204) | (0.0202) | |
| LnGDP | -0.0906 | -0.0898 | 0.1940*** | 0.0478 |
| (0.1326) | (0.0710) | (0.0476) | (0.0615) | |
| LnPop | -0.1016 | 0.0019 | -0.0816 | -0.3206 |
| (0.5075) | (0.2764) | (0.2632) | (0.2138) | |
| LnInd | 0.0819 | 0.0490 | -0.1028*** | 0.0886** |
| (0.0674) | (0.0540) | (0.0367) | (0.0370) | |
| Exp | -0.2803 | -0.8172** | -0.2974 | -0.2161 |
| (0.5118) | (0.4121) | (0.2926) | (0.2932) | |
| IndStr | 0.1656 | 0.4083 | -0.0219 | -0.3149 |
| (0.3666) | (0.3381) | (0.2262) | (0.1922) | |
| City FEs | Yes | Yes | Yes | Yes |
| Year FEs | Yes | Yes | Yes | Yes |
| Observation | 1146 | 1146 | 1146 | 1146 |
| adj. | 0.887 | 0.862 | 0.939 | 0.933 |
| (1) | (2) | (3) | (4) | (5) | ||
|---|---|---|---|---|---|---|
| Temperature Heterogeneity | Region Heterogeneity | |||||
| Low | High | East | Middle | West | ||
| Dep.Variable | AQI | AQI | AQI | AQI | AQI | |
| Treat*Post | -0.0542*** | -0.0281*** | -0.0648*** | -0.0014 | 0.0188 | |
| (0.0122) | (0.0088) | (0.0081) | (0.0113) | (0.0152) | ||
| LnGDP | 0.1051*** | 0.0179 | 0.0616* | 0.0856** | 0.0679 | |
| (0.0311) | (0.0309) | (0.0315) | (0.0355) | (0.0511) | ||
| LnPop | 0.0985 | 0.3146* | 0.3028*** | 0.1291 | 0.0672 | |
| (0.0822) | (0.1628) | (0.1151) | (0.1578) | (0.1236) | ||
| LnInd | 0.0393** | -0.0409** | -0.0148 | 0.0253 | -0.0400 | |
| (0.0170) | (0.0160) | (0.0168) | (0.0204) | (0.0315) | ||
| Exp | 0.0818 | -0.3085* | -0.2515 | -0.0913 | -0.1262 | |
| (0.1325) | (0.1568) | (0.1582) | (0.1825) | (0.2248) | ||
| IndStr | -0.1786* | -0.1529 | -0.0164 | -0.2588** | -0.1116 | |
| (0.0916) | (0.0998) | (0.1113) | (0.1149) | (0.1073) | ||
| City FEs | Yes | Yes | Yes | Yes | Yes | |
| Year FEs | Yes | Yes | Yes | Yes | Yes | |
| Observation | 1000 | 1469 | 1009 | 918 | 489 | |
| adj. | 0.919 | 0.935 | 0.956 | 0.896 | 0.939 | |
| Panel A: Consumption of Coal | ||||||
|---|---|---|---|---|---|---|
| (1) | (2) | |||||
| Dep.Variable | LnCoal | LnCoal | ||||
| Treat*Post | -0.1378*** | -0.0700** | ||||
| (0.0372) | (0.0308) | |||||
| Controls | No | Yes | ||||
| City FEs | Yes | Yes | ||||
| Year FEs | Yes | Yes | ||||
| Observation | 6831 | 6584 | ||||
| adj. | 0.942 | 0.951 | ||||
| Panel B: Government Environmental Regulation and Technology Expenditure | ||||||
| (1) | (2) | (3) | (4) | |||
| Dep.Variable | AQI | AQI | AQI | AQI | ||
| Treat*Post*EnvReg | -0.0050*** | -0.0044** | ||||
| (0.0019) | (0.0017) | |||||
| EnvReg | 0.0005 | 0.0005 | ||||
| (0.0058) | (0.0055) | |||||
| Treat*Post*TechExp | -0.0434* | -0.0396* | ||||
| (0.0230) | (0.0214) | |||||
| TechExp | 0.0049 | 0.0040 | ||||
| (0.0201) | (0.0195) | |||||
| Controls | No | Yes | No | Yes | ||
| City FEs | Yes | Yes | Yes | Yes | ||
| Year FEs | Yes | Yes | Yes | Yes | ||
| Observation | 2438 | 2432 | 2508 | 2504 | ||
| adj. | 0.923 | 0.927 | 0.925 | 0.929 | ||
| (1) | (2) | (3) | |
|---|---|---|---|
| Dep.Variable | AQI | AQI | AQI |
| Treat*Post-1 | 0.0026 | ||
| (0.0068) | |||
| Treat*Post-2 | -0.0038 | ||
| (0.0077) | |||
| Treat*Post-3 | -0.0032 | ||
| (0.0088) | |||
| LnGDP | 0.0695*** | 0.0685*** | 0.0686*** |
| (0.0214) | (0.0213) | (0.0213) | |
| LnPop | 0.2120** | 0.2062** | 0.2064** |
| (0.0850) | (0.0841) | (0.0839) | |
| LnInd | 0.0079 | 0.0068 | 0.0069 |
| (0.0119) | (0.0119) | (0.0119) | |
| Exp | -0.1104 | -0.0989 | -0.1013 |
| (0.1038) | (0.1041) | (0.1037) | |
| IndStr | -0.1691*** | -0.1817*** | -0.1800*** |
| (0.0624) | (0.0627) | (0.0627) | |
| City FEs | Yes | Yes | Yes |
| Year FEs | Yes | Yes | Yes |
| Observation | 2504 | 2504 | 2504 |
| adj. | 0.929 | 0.929 | 0.929 |
| (1) | (2) | (3) | (4) | |
|---|---|---|---|---|
|
Excluding Heating Cases in Certain Residential Areas |
Considering Time-Varying Heating Cases |
|||
| Dep.Variable | AQI | AQI | AQI | AQI |
| Treat*Post | -0.0198** | -0.0179** | -0.0215*** | -0.0195*** |
| (0.0078) | (0.0072) | (0.0074) | (0.0068) | |
| LnGDP | 0.0692*** | 0.0695*** | ||
| (0.0213) | (0.0213) | |||
| LnPop | 0.1966** | 0.1960** | ||
| (0.0830) | (0.0831) | |||
| LnInd | 0.0061 | 0.0052 | ||
| (0.0118) | (0.0118) | |||
| Exp | -0.0854 | -0.0864 | ||
| (0.1033) | (0.1035) | |||
| IndStr | -0.2029*** | -0.2040*** | ||
| (0.0627) | (0.0623) | |||
| City FEs | Yes | Yes | Yes | Yes |
| Year FEs | Yes | Yes | Yes | Yes |
| Observation | 2529 | 2504 | 2529 | 2504 |
| adj. | 0.923 | 0.929 | 0.923 | 0.929 |
| (1) | (2) | (3) | |
|---|---|---|---|
| Nearest Neighbor Matching (1:2) | Radius Matching | Kernel Matching | |
| Dep.Variable | AQI | AQI | AQI |
| Treat*Post | -0.0310** | -0.0246*** | -0.0359*** |
| (0.0124) | (0.0090) | (0.0086) | |
| LnGDP | 0.1467*** | 0.1152*** | 0.1280*** |
| (0.0244) | (0.0236) | (0.0251) | |
| LnPop | 0.2206 | 0.2134** | 0.1156 |
| (0.1397) | (0.1013) | (0.1262) | |
| LnInd | -0.0428** | -0.0123 | -0.0259 |
| (0.0198) | (0.0148) | (0.0161) | |
| Exp | -0.1602 | -0.1192 | -0.0393 |
| (0.1730) | (0.1176) | (0.1445) | |
| IndStr | -0.1098 | -0.1361 | -0.1235 |
| (0.1486) | (0.0920) | (0.1008) | |
| City FEs | Yes | Yes | Yes |
| Year FEs | Yes | Yes | Yes |
| Observation | 1699 | 2503 | 2482 |
| adj. | 0.951 | 0.940 | 0.948 |
| (1) | (2) | (3) | (4) | |
|---|---|---|---|---|
|
New Energy Demonstration Cities Policy |
Clean Heating Plan for Winter in the Northern Region |
|||
| Dep.Variable | AQI | AQI | AQI | AQI |
| Treat*Post | -0.0241*** | -0.0206*** | -0.0190** | -0.0156** |
| (0.0085) | (0.0076) | (0.0078) | (0.0071) | |
| LnGDP | 0.0677*** | 0.0689*** | ||
| (0.0216) | (0.0212) | |||
| LnPop | 0.1982** | 0.2048** | ||
| (0.0885) | (0.0841) | |||
| LnInd | -0.0034 | 0.0111 | ||
| (0.0130) | (0.0123) | |||
| Exp | -0.1816 | -0.1146 | ||
| (0.1111) | (0.1047) | |||
| IndStr | -0.2361*** | -0.2207*** | ||
| (0.0657) | (0.0627) | |||
| City FEs | Yes | Yes | Yes | Yes |
| Year FEs | Yes | Yes | Yes | Yes |
| Observation | 1993 | 1972 | 2394 | 2364 |
| adj. | 0.923 | 0.930 | 0.916 | 0.924 |
Disclaimer/Publisher’s Note: The statements, opinions and data contained in all publications are solely those of the individual author(s) and contributor(s) and not of MDPI and/or the editor(s). MDPI and/or the editor(s) disclaim responsibility for any injury to people or property resulting from any ideas, methods, instructions or products referred to in the content. |
© 2024 by the authors. Licensee MDPI, Basel, Switzerland. This article is an open access article distributed under the terms and conditions of the Creative Commons Attribution (CC BY) license (http://creativecommons.org/licenses/by/4.0/).
