Submitted:
10 September 2024
Posted:
12 September 2024
Read the latest preprint version here
Abstract
Keywords:
1. Introduction
2. The Observation Site, Instruments, Datasets and Methods
2.1. The LMT WMO/GAW Station
2.2. Instruments and Datasets
3. Results
3.1. Yearly Concentrations through the Week
3.2. Seasonal Analysis
3.3. Hourly occurrence of Outbreak Events
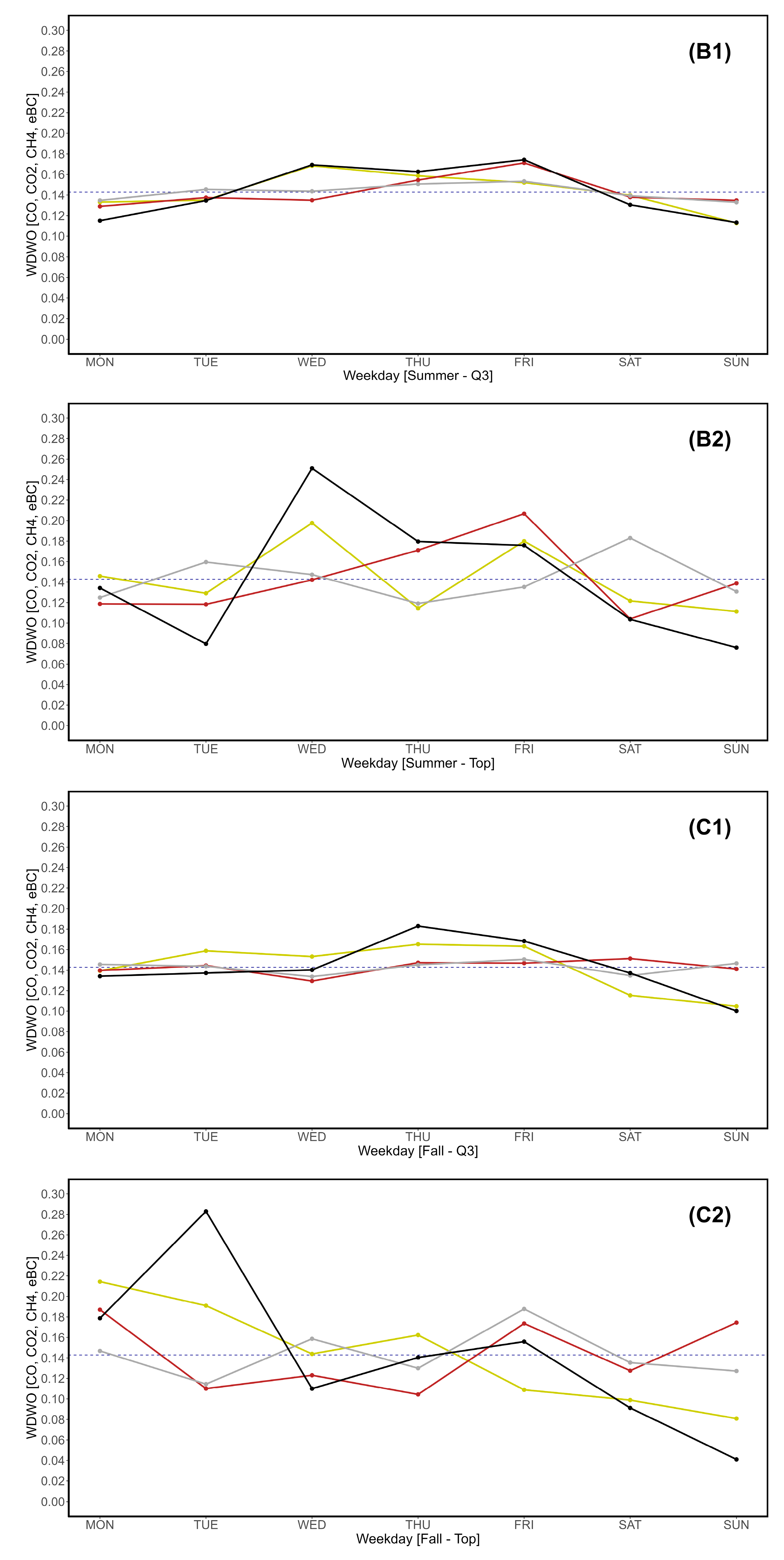
3.4. Weighed Distribution of Weekly Outbreaks (WDWO)
3.5. WD/WN Ratios Applied to WDWO
4. Discussion
5. Conclusions
Supplementary Materials
Author Contributions
Funding
Data Availability Statement
Acknowledgments
Conflicts of Interest
References
- Hossain, M.R.; Singh, S.; Sharma, G.D.; Apostu, S.A.; Bansal, P. Overcoming the shock of energy depletion for energy policy? Tracing the missing link between energy depletion, renewable energy development and decarbonization in the USA. Energy Policy 2023, 174, 113469. [Google Scholar] [CrossRef]
- Akram, R.; Ai, F.; Srivastava, M.; Sharma, R. Considering natural gas rents, mineral rents, mineral depletion, and natural resources depletion as new determinants of sustainable development. Resour. Policy 2024, 96, 105200. [Google Scholar] [CrossRef]
- Wei, F.; Han, J.; Xu, W. Exploring the nexus between structural capital, carbon neutrality and sustainable competitiveness: Evidence from natural resource exploitation in the post-COVID-19 era. Resour. Policy 2024, 88, 104392. [Google Scholar] [CrossRef]
- Xu, L.; Tang, S. Sustainable development: Maximizing productivity in natural resource markets for a more ecologically friendly future. Resour. Policy 2024, 89, 104580. [Google Scholar] [CrossRef]
- Alsaleh, M.; Abdul-Rahim, A.; Abdulwakil, M.M. The importance of worldwide governance indicators for transitions toward sustainable bioenergy industry. J. Environ. Manage. 2021, 294, 112960. [Google Scholar] [CrossRef]
- Abbass, K.; Qasim, M.Z.; Song, H.; Murshed, M.; Mahmood, H.; Younis, I. A review of the global climate change impacts, adaptation, and sustainable mitigation measures. Environ. Sci. Pollut. Res. 2022, 29, 42539–42559. [Google Scholar] [CrossRef] [PubMed]
- Mont, O.; Lehner, M.; Dalhammar, C. Sustainable consumption through policy intervention—A review of research themes. Front. Sustain. 2022, 3, 921477. [Google Scholar] [CrossRef]
- Tu, C.; Liang, Y.; Fu, Y. How does the environmental attention of local governments affect regional green development? Empirical evidence from local governments in China. Humanit. Soc. Sci. Commun. 2024, 11, 371. [Google Scholar] [CrossRef]
- Zazzeri, G.; Graven, H.; Xu, X.; Saboya, E.; Blyth, L.; Manning, A.J.; Chawner, H.; Wu, D.; Hammer, S. Radiocarbon Measurements Reveal Underestimated Fossil CH4 and CO2 Emissions in London. Geophys. Res. Lett. 2023, 50, e2023GL103834. [Google Scholar] [CrossRef]
- Siciliano, T.; De Donno, A.; Serio, F.; Genga, A. Source Apportionment of PM10 as a Tool for Environmental Sustainability in Three School Districts of Lecce (Apulia). Sustainability 2024, 16, 1978. [Google Scholar] [CrossRef]
- Nisbet, E.G.; Fisher, R.E.; Lowry, D.; France, J.L.; Allen, G.; Bakkaloglu, S.; Broderick, T.J.; Cain, M.; Coleman, M.; Fernandez, J.; Forster, G.; Griffiths, P.T.; Iverach, C.P.; Kelly, B.F.J.; Manning, M.R.; Nisbet-Jones, P.B.R.; Pyle, J.A.; Townsend-Small, A.; al-Shalaan, A.; Warwick, N.; Zazzeri, G. Methane Mitigation: Methods to Reduce Emissions, on the Path to the Paris Agreement. Rev. Geophys. 2020, 58, e2019RG000675. [Google Scholar] [CrossRef]
- Ducruet, C.; Polo Martin, B.; Sene, M.A.; Lo Prete, M.; Sun, L.; Itoh, H.; Pigné, Y. Ports and their influence on local air pollution and public health: A global analysis. Sci. Total Environ. 2024, 915, 170099. [Google Scholar] [CrossRef] [PubMed]
- Dlugokencky, E.J.; Nisbet, E.G.; Fisher, R.; Lowry, D. Global atmospheric methane: budget, changes and dangers. Philos. T. Roy. Soc. A 2011, 369, 2058–2072. [Google Scholar] [CrossRef]
- Nisbet, E.G.; Dlugokencky, E.J.; Manning, M.R.; Lowry, D.; Fisher, R.E.; France, J.L.; Michel, S.E.; Miller, J.B.; White, J.W.C.; Vaughn, B.; Bousquet, P.; Pyle, J.A.; Warwick, N.J.; Cain, M.; Brownlow, R.; Zazzeri, G.; Lanoisellé, M.; Manning, A.C.; Gloor, E.; Worthy, D.E.J.; Brunke, E.-G.; Labuschagne, C.; Wolff, E.W.; Ganesan, A.L. Rising atmospheric methane: 2007–2014 growth and isotopic shift. Global Biogeochem. Cy. 2016, 30, 1356–1370. [Google Scholar] [CrossRef]
- Nisbet, E.G.; Manning, M.R.; Dlugokencky, E.J.; Fisher, R.E.; Lowry, D.; Michel, S.E.; Myhre, C.L.; Platt, S.M.; Allen, G.; Bousquet, P.; Brownlow, R.; Cain, M.; France, J.L.; Hermansen, O.; Hossaini, R.; Jones, A.E.; Levin, I.; Manning, A.C.; Myhre, G.; Pyle, J.A.; Vaughn, B.H.; Warwick, N.J.; White, J.W.C. Very Strong Atmospheric Methane Growth in the 4 Years 2014–2017: Implications for the Paris Agreement. Global Biogeochem. Cy. 2019, 33, 318–342. [Google Scholar] [CrossRef]
- Thunis, P.; Clappier, A.; Pirovano, G.; Riffault, V.; Gilardoni, S. Source apportionment to support air quality management practices, A fitness-for-purpose guide (V 4.0), Publications Office of the European Union 2022. [CrossRef]
- Zhao, F.; Zeng, N. Continued increase in atmospheric CO2 seasonal amplitude in the 21st century projected by the CMIP5 Earth system models. Earth Syst. Dynam. 2014, 5, 423–439. [Google Scholar] [CrossRef]
- Dowd, E.; Wilson, C.; Chipperfield, M.P.; Gloor, E.; Manning, A.; Doherty, R. Decreasing seasonal cycle amplitude of methane in the northern high latitudes being driven by lower-latitude changes in emissions and transport. Atmos. Chem. Phys. 2023, 23, 7363–7382. [Google Scholar] [CrossRef]
- Balthasar, N.; Ohnmacht, T.; Z’Rotz, J.; Hostettler Macias, L.; Rérat, P. The effects of teleworking on CO2 emissions from commuting: baselining key data to investigate transformative change in living labs. Consumption and Society 2024, 20, 1–23. [Google Scholar] [CrossRef]
- Cleveland, W.S.; Graedel, T.E.; Kleiner, B.; Warner, J.L. Sunday and Workday Variations in Photochemical Air Pollutants in New Jersey and New York. Science 1974, 186, 1037–1038. [Google Scholar] [CrossRef]
- Elkus, B.; Wilson, K.R. Photochemical air pollution: Weekend-weekday differences. Atmos. Environ. 1977, 11, 509–515. [Google Scholar] [CrossRef]
- Karl, T.R. Day of the week variations of photochemical pollutants in the St. Louis area. Atmos. Environ. 1978, 12, 1657–1667. [Google Scholar] [CrossRef]
- Hernández-Paniagua, I.Y.; Lopez-Farias, R.; Piña-Mondragón, J.J.; Pichardo-Corpus, J.A.; Delgadillo-Ruiz, O.; Flores-Torres, A.; García-Reynoso, A.; Ruiz-Suárez, L.G.; Mendoza, A. Increasing Weekend Effect in Ground-Level O3 in Metropolitan Areas of Mexico during 1988–2016. Sustainability 2018, 10, 3330. [Google Scholar] [CrossRef]
- Lebron, F. A comparison of weekend–weekday ozone and hydrocarbon concentrations in the Baltimore-Washington metropolitan area. Atmos. Environ. 1975, 9, 861–863. [Google Scholar] [CrossRef]
- Qin, Y.; Tonnesen, G.S.; Wang, Z. Weekend/weekday differences of ozone, NOx, Co, VOCs, PM10 and the light scatter during ozone season in southern California. Atmos. Environ. 2004, 38, 3069–3087. [Google Scholar] [CrossRef]
- Elansky, N.F.; Shilkin, A.V.; Ponomarev, N.A.; Semutnikova, E.G.; Zakharova. Weekly patterns and weekend effects of air pollution in the Moscow megacity. Atmos. Environ. 2020, 224, 117303. [Google Scholar] [CrossRef]
- Wang, H.; Gong, F.-Y.; Newman, S.; Zeng, Z.-C. Consistent weekly cycles of atmospheric NO2, CO, and CO2 in a North American megacity from ground-based, mountaintop, and satellite measurements. Atmos. Environ. 2022, 268, 118809. [Google Scholar] [CrossRef]
- Carvalho, V.S.B.; Freitas, E.D.; Martins, L.D.; Martins, J.A.; Mazzoli, C.R.; de Fátima Andrade, M. Air quality status and trends over the Metropolitan Area of São Paulo, Brazil as a result of emission control policies. Environ. Sci. Pol. 2015, 47, 68–79. [Google Scholar] [CrossRef]
- Rivera, N.M. Air quality warnings and temporary driving bans: Evidence from air pollution, car trips, and mass-transit ridership in Santiago. J. of Environ. Econ. Manag. 2021, 108, 102454. [Google Scholar] [CrossRef]
- Akintomide Ajayi, S.; Anum Adam, C.; Dumedah, G.; Adebanji, A.; Ackaah, W. The impact of traffic mobility measures on vehicle emissions for heterogeneous traffic in Lagos City. Sci. Afr. 2023, 21, e01822. [Google Scholar] [CrossRef]
- Wilson, D. Quantifying and comparing fuel-cycle greenhouse-gas emissions: Coal, oil and natural gas consumption. Energy Policy 1990, 18, 550–562. [Google Scholar] [CrossRef]
- Scheraga, J.D.; Leary, N.A. Improving the efficiency of policies to reduce CO2 emissions. Energy Policy 1992, 20, 394–404. [Google Scholar] [CrossRef]
- Smith, I.M. CO2 and climatic change: An overview of the science. Energy Convers. Manag. 1993; 34, 729–735. [Google Scholar] [CrossRef]
- Foote, E. Circumstances Affecting the Heat of the Sun's Rays. Am. J. Sci. Arts. 1856, 22, 382–383. [Google Scholar]
- Bolin, B.; Eriksson, E. Changes in the carbon dioxide content of the atmosphere and sea due to fossil fuel combustion. Rossby Memorial Vol. 1959, 130–146. [Google Scholar]
- Danny Harvey, L.D. A guide to global warming potentials (GWPs). Energy Policy 1993, 21, 24–34. [Google Scholar] [CrossRef]
- Keeling, C.D.; Whorf, T.P.; Wahlen, M.; van der Plichtt, J. Interannual extremes in the rate of rise of atmospheric carbon dioxide since 1980. Nature 1995, 375, 666–670. [Google Scholar] [CrossRef]
- Edwards, D.P.; Emmons, L.K.; Hauglustaine, D.A.; Chu, D.A.; Gille, J.C.; Kaufman, Y.J.; Pétron, G.; Yurganov, L.N.; Giglio, L.; Deeter, M.N.; Yudin, V.; Ziskin, D.C.; Warner, J.; Lamarque, J.-F.; Francis, G.L.; Ho, S.P.; Mao, D.; Chen, J.; Grechko, E.I.; Drummond, J.R. Observations of carbon monoxide and aerosols from the Terra satellite: Northern Hemisphere variability. J. Geophys. Res. Atmospheres. [CrossRef]
- Marenco, A. Variations of CO and O3 in the troposphere: Evidence of O3 photochemistry. Atmos. Environ. 1986, 20, 911–918. [Google Scholar] [CrossRef]
- Prather, M.J. Lifetimes and time scales in atmospheric chemistry. Phil. Trans. R. Soc. A. 2007, 365, 1705–1726. [Google Scholar] [CrossRef]
- Khalil, M.A.K.; Rasmussen, R.A. Carbon Monoxide in the Earth's Atmosphere: Increasing Trend. Science 1984, 223(4644), 54-56. https://www.science.or.
- Zheng, B.; Chevallier, F.; Ciais, P.; Yin, Y.; Deeter, M.N.; Worden, H.M.; Wang, Y.; Zhang, Q.; He, K. Rapid decline in carbon monoxide emissions and export from East Asia between years 2005 and 2016. Environ. Res. Lett. 2018, 13, 044007. [Google Scholar] [CrossRef]
- Buchholz, R.R.; Worden, H.M.; Park, M.; Francis, G.; Deeter, M.N.; Edwards, D.P.; Emmons, L.K.; Gaubert, B.; Gille, J.; Martínez-Alonso, S.; Tang, W.; Kumar, R.; Drummond, J.R.; Clerbaux, C.; George, M.; Coheur, P.-F.; Hurtmans, D.; Bowman, K.W.; Luo, M.; Payne, V.H.; Worden, J.R.; Chin, M.; Levy, R.C.; Warner, J.; Wei, Z.; Kulawik, S.S. Air pollution trends measured from Terra: CO and AOD over industrial, fire-prone, and background regions. Remote Sens. Environ. 2021, 256, 112275. [Google Scholar] [CrossRef]
- Dennison, P.E.; Brewer, S.C.; Arnold, J.D.; Moritz, M.A. Large wildfire trends in the western United States, 1984–2011. Geophys. Res. Lett. 2014, 41, 2928–2933. [Google Scholar] [CrossRef]
- Malacaria, L.; Parise, D.; Lo Feudo, T.; Avolio, E.; Ammoscato, I.; Gullì, D.; Sinopoli, S.; Cristofanelli, P.; De Pino, M.; D’Amico, F.; Calidonna, C.R. Multiparameter detection of summer open fire emissions: the case study of GAW regional observatory of Lamezia Terme (Southern Italy). Fire 2024, 7, 198. [Google Scholar] [CrossRef]
- Myhre, G.; Shindell, D.; Bréon, F.M.; Collins, W.; Fuglestvedt, J.; Huang, J.; Koch, D.; Lamarque, J.F.; Lee, D.; Mendoza, B.; Nakajima, T.; Robock, A.; Stephens, G.; Takemura, T.; Zhan, H. Anthropogenic and Natural Radiative Forcing. In Climate Change 2013: The Physical Science Basis, Contribution of Working Group I to the Fifth Assessment Report of the Intergovernmental Panel on Climate Change. Cambridge, UK and New York, 2013.
- Saunois, M.; Stavert, A.R.; Poulter, B.; Bousquet, P.; Canadell, J.G.; Jackson, R.B.; Raymond, P.A.; Dlugokencky, E.J.; Houweling, S.; Patra, P.K.; Ciais, P.; Arora, V.K.; Bastviken, D.; Bergamaschi, P.; Blake, D.R.; Brailsford, G.; Bruhwiler, L.; Carlson, K.M.; Carrol, M.; Castaldi, S.; Chandra, N.; Crevoisier, C.; Crill, P.M.; Covey, K.; Curry, C.L.; Etiope, G.; Frankenberg, C.; Gedney, N.; Hegglin, M.I.; Höglund-Isaksson, L.; Hugelius, G.; Ishizawa, M.; Ito, A.; Janssens-Maenhout, G.; Jensen, K.M.; Joos, F.; Kleinen, T.; Krummel, P.B.; Langenfelds, R.L.; Laruelle, G.G.; Liu, L.; Machida, T.; Maksyutov, S.; McDonald, K.C.; McNorton, J.; Miller, P.A.; Melton, J.R.; Morino, I.; Müller, J.; Murguia-Flores, F.; Naik, V.; Niwa, Y.; Noce, S.; O’Doherty, S.; Parker, R.J.; Peng, C.; Peng, S.; Peters, G.P.; Prigent, C.; Prinn, R.; Ramonet, M.; Regnier, P.; Riley, W.J.; Rosentreter, J.A.; Segers, A.; Simpson, I.J.; Shi, H.; Smith, S.J.; Steele, L.P.; Thornton, B.F.; Tian, H.; Tohjima, Y.; Tubiello, F.N.; Tsuruta, A.; Viovy, N.; Voulgarakis, A.; Weber, T.S.; van Weele, M.; van der Werf, G.R.; Weiss, R.F.; Worthy, D.; Wunch, D.; Yin, Y.; Yoshida, Y.; Zhang, W.; Zhang, Z.; Zhao, Y.; Zheng, B.; Zhu, Q.; Zhu, Q.; Zhuang, Q. The Global Methane Budget 2000–2017. Earth Syst. Sci. Data 2020, 12, 1561–1623. [Google Scholar] [CrossRef]
- Szopa, S.; Naik, V.; Adhikary, B.; Artaxo, P.; Berntsen, T.; Collins, W.D.; Fuzzi, S.; Gallardo, L.; Kiendler-Scharr, A.; Klimont, Z.; Liao, H.; Unger, N.; Zanis, P. Short-Lived Climate Forcers. In: Climate Change 2021: The Physical Science Basis. Contribution of Working Group I to the Sixth Assessment Report of the Intergovernmental Panel on Climate Change, edited by: Masson-Delmotte, V., Zhai, P., Pirani, A., Connors, S.L., Péan, C., Berger, S., Caud, N., Chen,Y., Goldfarb, L., Gomis, M.I., Huang, M., Leitzell, K., Lonnoy, E., Matthews, J.B.R., Maycock, T.K., Waterfield, T., Yelekçi, O., Yu, R., and Zhou, B. Cambridge University Press, Cambridge, United Kingdom and New York, NY, USA, 2021, 817–922.
- Skeie, R.B.; Hodnebrog, Ø.; Myhre, G. Trends in atmospheric methane concentrations since 1990 were driven and modified by anthropogenic emissions. Commun. Earth Environ. 2023, 4, 317. [Google Scholar] [CrossRef]
- Chang, J.; Peng, S.; Ciais, P.; Saunois, M.; Dangal, S.R.S.; Herrero, M.; Havlík, P.; Tian, H.; Bousquet, P. Revisiting enteric methane emissions from domestic ruminants and their δ13CCH4 source signature. Nat. Commun. 2019, 10, 3420. [Google Scholar] [CrossRef]
- Beauchemin, K.A.; Kreuzer, M.; O’Mara, F.; McAllister, T.A. Nutritional management for enteric methane abatement: a review. Aust. J. Exp. Agric. 2008, 48, 21–27. [Google Scholar] [CrossRef]
- Herrero, M.; Henderson, B.; Havlík, P.; Thornton, P.K.; Conant, R.T.; Smith, P.; Wirsenius, S.; Hristov, A.N.; Gerber, P.; Gill, M.; Butterbach-Bahl, K.; Valin, H.; Garnett, T.; Stehfest, E. Greenhouse gas mitigation potentials in the livestock sector. Nat. Clim. Change 2016, 6, 452–461. [Google Scholar] [CrossRef]
- Lee, D.S.; Fahey, D.; Forster, P.M.; Newton, P.J.; Wit, R.C.N.; Lim, L.L.; Owen, B.; Sausen, R. Aviation and global climate change in the 21st century. Atmos. Environ. 2009, 43, 3520–3537. [Google Scholar] [CrossRef]
- Lee, D.S.; Fahey, D.W.; Skowron, A.; Allen, M.R.; Burkhardt, U.; Chen, Q.; Doherty, S.J.; Freeman, S.; Forster, P.M.; Fuglestvedt, J.; Gettelman, A.; DeLeón, R.R.; Lim, L.L.; Lund, M.T.; Millar, R.J.; Owen, B.; Penner, J.E.; Pitari, G.; Prather, M.J.; Sausen, R.; Wilcox, L.J. The contribution of global aviation to anthropogenic climate forcing for 2000 to 2018. Atmos. Environ. 2021, 244, 117834. [Google Scholar] [CrossRef]
- D’Amico, F.; Ammoscato, I.; Gullì, D.; Lo Feudo, T.; De Pino, M.; Cristofanelli, P.; Malacaria, L.; Parise, D.; Sinopoli, S.; De Benedetto, G.; Calidonna, C.R. Integrated analysis of methane cycles and trends at the WMO/GAW station of Lamezia Terme (Calabria, Southern Italy), Atmosphere 2024, 15, 946. , 15,. [CrossRef]
- Clairotte, M.; Suarez-Bertoa, R.; Zardini, A.A.; Giechaskiel, B.; Pavlovic, J.; Valverde, V.; Ciuffo, B.; Astorga, C. Exhaust emission factors of greenhouse gases (GHGs) from European road vehicles. Environ. Sci. Eur. 2020; 32, 125. [Google Scholar] [CrossRef]
- Laughner, J.L.; Neu, J.L.; Schimel, D.; Wennberg, P.O.; Barsanti, K.; Bowman, K.W.; Chatterjee, A.; Croes, B.E.; Fitzmaurice, H.L.; Henze, D.K.; Kim, J.; Kort, E.A.; Liu, Z.; Miyazaki, K.; Turner, A.J.; Anenberg, S.; Avise, J.; Cao, H.; Crisp, D.; de Gouw, J.; Eldering, A.; Fyfe, J.C.; Goldberg, D.L.; Gurney, K. R.; Hasheminassab, S.; Hopkins, F.; Ivey, C.E.; Jones, D.B.A.; Liu, J.; Lovenduski, N.S.; Martin, R.V.; McKinley, G.A.; Ott, L.; Poulter, B.; Ru, M.; Sander, S.P.; Swart, N.; Yung, Y.L.; Zeng, Z.-C. Societal shifts due to COVID-19 reveal large-scale complexities and feedbacks between atmospheric chemistry and climate change. Proc. Natl. Acad. Sci. 2021, 118, e2109481118. [Google Scholar] [CrossRef]
- McNorton, J.; Bousserez, N.; Agustí-Panareda, A.; Balsamo, G.; Cantarello, L.; Engelen, R.; Huijnen, V.; Inness, A.; Kipling, Z.; Parrington, M.; Ribas, R. Quantification of methane emissions from hotspots and during COVID-19 using a global atmospheric inversion. Atmos. Chem. Phys. 2022, 22, 5961–5981. [Google Scholar] [CrossRef]
- Peng, S.; Lin, X.; Thompson, R.L.; Xi, Y.; Liu, G.; Hauglustaine, D.; Lan, X.; Poulter, B.; Ramonet, M.; Saunois, M.; Yin, Y.; Zhang, Z.; Zheng, B.; Ciais, P. Wetland emission and atmospheric sink changes explain methane growth in 2020. Nature 2022, 612, 477–482. [Google Scholar] [CrossRef] [PubMed]
- Lighty, J.S.; Veranth, J.M.; Sarofim, A.F. Combustion aerosols: Factors governing their size and composition and implications to human health. J. Air Waste Manage. Assoc. 2000, 50, 1565–1618. [Google Scholar] [CrossRef]
- Horvath, H. Atmospheric light absorption: A review. Atmos. Environ. Part A 1993, 27, 293–317. [Google Scholar] [CrossRef]
- Chameides, W.L.; Bergin, M. Soot takes center stage. Science 2002, 297, 2214–2215. https://www.science.or.
- Bond, T.C.; Doherty, S.J.; Fahey, D.W.; Forster, P.M.; Berntsen, T.; DeAngelo, B.J.; Flanner, M.G.; Ghan, S.; Kärcher, B.; Koch, D.; Kinne, S.; Kondo, Y.; Quinn, P.K.; Sarofim, M.C.; Schultz, M.G.; Schulz, M.; Venkataraman, C.; Zhang, H.; Zhang, S.; Bellouin, N.; Guttikunda, S.K.; Hopke, P.K.; Jacobson, M.Z.; Kaiser, J.W.; Klimont, Z.; Lohmann, U.; Schwarz, J.P.; Shindell, D.; Storelvmo, T.; Warren, S.G.; Zender, C.S. Bounding the role of black carbon in the climate system: A scientific assessment. J. Geophys. Res. Atmospheres 2013, 118, 5380–5552. [Google Scholar] [CrossRef]
- Jacobson, M.Z. Strong radiative heating due to the mixing state of black carbon in atmospheric aerosols. Nature. 2001, 409, 695–697. [Google Scholar] [CrossRef] [PubMed]
- Ramanathan, V.; Carmichael, G. Global and regional climate changes due to black carbon. Nature Geosci. 2008, 1, 221–227. [Google Scholar] [CrossRef]
- Donateo, A.; Lo Feudo, T.; Marinoni, A.; Calidonna, C.R.; Contini, D.; Bonasoni, P. Long-term observations of aerosol optical properties at three GAW regional sites in the Central Mediterranean. Atmos. Res. 2020, 241, 104976. [Google Scholar] [CrossRef]
- Federico, S.; Pasqualoni, L.; De Leo, L.; Bellecci, C. A study of the breeze circulation during summer and fall 2008 in Calabria, Italy. Atmos. Res. 2010, 97, 1–13. [Google Scholar] [CrossRef]
- Federico, S.; Pasqualoni, L.; Sempreviva, A.M.; De Leo, L.; Avolio, E.; Calidonna, C.R.; Bellecci, C. The seasonal characteristics of the breeze circulation at a coastal Mediterranean site in South Italy. Adv. Sci. Res. 2010, 4, 47–56. [Google Scholar] [CrossRef]
- Cristofanelli, P.; Busetto, M.; Calzolari, F.; Ammoscato, I.; Gullì, D.; Dinoi, A.; Calidonna, C.R.; Contini, D.; Sferlazzo, D.; Di Iorio, T.; Piacentino, S.; Marinoni, A.; Maione, M.; Bonasoni, P. Investigation of reactive gases and methane variability in the coastal boundary layer of the central Mediterranean basin. Elem. Sci. Anth. 2017, 2017 5, 12. [Google Scholar] [CrossRef]
- Lo Feudo, T.; Calidonna, C.R.; Avolio, E.; Sempreviva, A.M. Study of the Vertical Structure of the Coastal Boundary Layer Integrating Surface Measurements and Ground-Based Remote Sensing. Sensors 2020, 20, 6516. [Google Scholar] [CrossRef] [PubMed]
- Gullì, D.; Avolio, E.; Calidonna, C.R.; Lo Feudo, T.; Torcasio, R.C.; Sempreviva, A.M. Two years of wind-lidar measurements at an Italian Mediterranean Coastal Site. In European Geosciences Union General Assembly 2017, EGU – Division Energy, Resources & Environment, ERE. Energy Procedia 2017, 125, 214–220. [Google Scholar] [CrossRef]
- Donateo, A.; Lo Feudo, T.; Marinoni, A.; Dinoi, A.; Avolio, E.; Merico, E.; Calidonna, C.R.; Contini, D.; Bonasoni, P. Characterization of In Situ Aerosol Optical Properties at Three Observatories in the Central Mediterranean. Atmosphere 2018, 9, 369. [Google Scholar] [CrossRef]
- Calidonna, C.R.; Avolio, E.; Gullì, D.; Ammoscato, I.; De Pino, M.; Donateo, A.; Lo Feudo, T. Five Years of Dust Episodes at the Southern Italy GAW Regional Coastal Mediterranean Observatory: Multisensors and Modeling Analysis. Atmosphere 2020, 11, 456. [Google Scholar] [CrossRef]
- Chu, P.M.; Hodges, J.T.; Rhoderick, G.C.; Lisak, D.; Travis, J.C. Methane-in-air standards measured using a 1.65μm frequency-stabilized cavity ring-down spectrometer. Proc. SPIE 6378, Chemical and Biological Sensors for Industrial and Environmental Monitoring II, 2006; 63780G. [Google Scholar] [CrossRef]
- Petzold, A.; Kramer, H.; Schönlinner, M. Continuous Measurement of Atmospheric Black Carbon Using a Multi-angle Absorption Photometer. Environ. Sci. Pollut. Res. 2002, 4, 78–82. [Google Scholar]
- Petzold, A.; Schloesser, H.; Sheridan, P.J.; Arnott, P.; Ogren, J.A.; Virkkula, A. Evaluation of multiangle absorption photometry for measuring aerosol light absorption. Aerosol Sci. Technol. 2005, 39, 40–51. [Google Scholar] [CrossRef]
- Petzold, A.; Schönlinner, M. Multi-angle absorption photometry—a new method for the measurement of aerosol light absorption and atmospheric black carbon. J. Aerosol Sci. 2004, 35, 421–441. [Google Scholar] [CrossRef]
- Guo, P.; Sun, Y.; Chen, Q.; Li, J.; Liu, Z. The Impact of Rainfall on Urban Human Mobility from Taxi GPS Data. Sustainability 2022, 14, 9355. [Google Scholar] [CrossRef]
- Szulejko, J.E.; Adelodun, A.A.; Kim, K.-H.; Seo, J.W.; Vellingiri, K.; Jeon, E.-C.; Hong, J.; Brown, R.J.C. Short and Long-Term Temporal Changes in Air Quality in a Seoul Urban Area: The Weekday/Sunday Effect. Sustainability 2018, 10, 1248. [Google Scholar] [CrossRef]
- Yang, J.; Fu, X.; Qiao, L.; Yao, L.; Zhang, F.; Li, W. Characteristics of Atmospheric Pollution in a Chinese Megacity: Insights from Three Different Functional Areas. Sustainability 2023, 15, 2429. [Google Scholar] [CrossRef]












| Total hours | CO, CO2, CH4 (hours) | CO, CO2, CH4 (%) | eBC (hours) |
eBC (%) |
Combined (hours) | Combined (%) |
|---|---|---|---|---|---|---|
| 61368 | 57926 | 94.39% | 58968 | 96.08% | 559601 | 91.18%2 |
| Day | CO (ppb) | CO2 (ppm) | ||||||
| Q1 | Mean | Q3 | 97.5% | Q1 | Mean | Q3 | 97.5% | |
| MON | 103.95 | 134.17 | 149.03 | 260.18 | 411.82 | 429.88 | 432.04 | 480.50 |
| TUE | 106.24 | 138.41 | 153.90 | 269.75 | 411.90 | 426.64 | 435.03 | 479.66 |
| WED | 106.34 | 139.78 | 156.82 | 276.91 | 412.08 | 426.11 | 435.11 | 483.54 |
| THU | 106.43 | 139.73 | 155.72 | 282.48 | 412.28 | 426.52 | 435.33 | 481.63 |
| FRI | 106.22 | 139.06 | 155.73 | 263.37 | 412.04 | 426.92 | 436.04 | 483.01 |
| SAT | 105.53 | 136.46 | 154.12 | 263.89 | 411.87 | 427.66 | 432.72 | 479.80 |
| SUN | 104.22 | 135 | 150.31 | 263.58 | 411.68 | 430.31 | 432.83 | 481.12 |
| Average | 105.56 | 137.51 | 153.66 | 268.60 | 411.95 | 427.72 | 434.16 | 481.32 |
| χ2 | 0.062831 | 0.23195 | 0.33497 | 1.5219 | 0.00055834 | 0.04028 | 0.03425 | 0.028361 |
| p-value | 1.001 | 1 | 0.9999 | 0.9573 | 1 | 1 | 1 | 1 |
| Day | CH4 (ppb) | eBC (μg /m3) | ||||||
| Q1 | Mean | Q3 | 97.5% | Q1 | Mean | Q3 | 97.5% | |
| MON | 1933.35 | 2009.44 | 2037.02 | 2354.75 | 0.20 | 0.50 | 0.63 | 1.78 |
| TUE | 1937.12 | 2013.36 | 2052.16 | 2340.72 | 0.20 | 0.52 | 0.66 | 1.89 |
| WED | 1939.30 | 2018.48 | 2056.81 | 2376.46 | 0.20 | 0.54 | 0.68 | 1.99 |
| THU | 1938.10 | 2016.33 | 2054.24 | 2356.72 | 0.21 | 0.56 | 0.71 | 2.04 |
| FRI | 1936.38 | 2019.41 | 2055.87 | 2380.99 | 0.24 | 0.57 | 0.74 | 1.89 |
| SAT | 1935.49 | 2013.56 | 2044.81 | 2361.95 | 0.22 | 0.52 | 0.67 | 1.76 |
| SUN | 1934.45 | 2013.90 | 2044.04 | 2361.65 | 0.19 | 0.48 | 0.62 | 1.66 |
| Average | 1936.31 | 2014.93 | 2049.28 | 2361.89 | 0.21 | 0.53 | 0.67 | 1.86 |
| χ2 | 0.013287 | 0.034817 | 0.16136 | 0.46693 | 0.0093821 | 0.012555 | 0.015767 | 0.059077 |
| p-value | 1 | 1 | 1 | 0.999 | 1.463 | 1.227 | 1.178 | 1 |
| Day | CO (ppb) | CO2 (ppm) | ||||||
| Q1 | Mean | Q3 | 97.5% | Q1 | Mean | Q3 | 97.5% | |
| MON | 113.81 | 155.05 | 138.62 | 235.88 | 413.09 | 431.04 | 425.03 | 475.34 |
| TUE | 115.53 | 159.02 | 142.00 | 246.98 | 413.38 | 432.10 | 425.75 | 476.10 |
| WED | 116.99 | 162.00 | 144.90 | 260.16 | 413.52 | 436.61 | 426.95 | 480.26 |
| THU | 116.81 | 158.35 | 143.12 | 254.64 | 413.64 | 430.90 | 426.46 | 478.35 |
| FRI | 115.44 | 156.75 | 142.79 | 254.66 | 413.79 | 432.23 | 426.11 | 477.09 |
| SAT | 114.37 | 158.27 | 142.29 | 249.49 | 413.71 | 430.37 | 425.75 | 477.94 |
| SUN | 112.33 | 152.56 | 139.08 | 247.34 | 412.91 | 429.88 | 425.22 | 478.69 |
| Average | 115.04 | 157.43 | 141.83 | 249.88 | 413.43 | 431.87 | 425.90 | 477.68 |
| Day | CH4 (ppb) | eBC (μg /m3) | ||||||
| Q1 | Mean | Q3 | 97.5% | Q1 | Mean | Q3 | 97.5% | |
| MON | 1932.47 | 2020.17 | 1998.09 | 2291.96 | 0.16 | 0.56 | 0.43 | 1.50 |
| TUE | 1936.10 | 2025.94 | 2001.63 | 2305.78 | 0.18 | 0.60 | 0.45 | 1.66 |
| WED | 1937.77 | 2043.60 | 2016.02 | 2382.10 | 0.18 | 0.64 | 0.48 | 1.67 |
| THU | 1938.46 | 2023.10 | 2002.94 | 2307.98 | 0.19 | 0.63 | 0.48 | 1.66 |
| FRI | 1935.97 | 2021.85 | 2004.55 | 2334.98 | 0.23 | 0.64 | 0.51 | 1.66 |
| SAT | 1934.21 | 2026.30 | 2005.43 | 2329.96 | 0.23 | 0.62 | 0.50 | 1.68 |
| SUN | 1931.49 | 2024.96 | 1999.52 | 2287.32 | 0.17 | 0.57 | 0.44 | 1.56 |
| Average | 1935.21 | 2026.56 | 2004.03 | 2320.01 | 0.19 | 0.61 | 0.47 | 1.63 |
| Day | CO (ppb) | CO2 (ppm) | ||||||
| Q1 | Mean | Q3 | 97.5% | Q1 | Mean | Q3 | 97.5% | |
| MON | 92.96 | 122.11 | 112.82 | 201.61 | 407.81 | 436.16 | 425.17 | 491.31 |
| TUE | 91.97 | 125.04 | 115.32 | 210.16 | 407.88 | 438.98 | 425.98 | 489.45 |
| WED | 91.79 | 128.77 | 117.09 | 229.79 | 407.63 | 439.03 | 425.93 | 494.09 |
| THU | 92.10 | 127.93 | 114.26 | 204.53 | 407.76 | 442.01 | 427.05 | 495.42 |
| FRI | 92.43 | 127.03 | 114.98 | 199.72 | 407.97 | 446.02 | 428.39 | 498.89 |
| SAT | 90.07 | 122.96 | 112.49 | 202.61 | 408.01 | 436.76 | 425.24 | 488.87 |
| SUN | 91.89 | 122.73 | 111.61 | 203.83 | 407.81 | 437.67 | 425.95 | 492.26 |
| Average | 91.89 | 125.22 | 114.08 | 207.46 | 407.84 | 439.52 | 426.24 | 492.90 |
| Day | CH4 (ppb) | eBC (μg /m3) | ||||||
| Q1 | Mean | Q3 | 97.5% | Q1 | Mean | Q3 | 97.5% | |
| MON | 1917.79 | 2030.74 | 1994.56 | 2315.50 | 0.24 | 0.59 | 0.48 | 1.44 |
| TUE | 1919.13 | 2044.44 | 2000.50 | 2334.25 | 0.22 | 0.62 | 0.48 | 1.49 |
| WED | 1917.80 | 2035.29 | 1996.58 | 2317.70 | 0.23 | 0.67 | 0.53 | 1.85 |
| THU | 1918.53 | 2041.35 | 1995.89 | 2310.85 | 0.22 | 0.65 | 0.50 | 1.62 |
| FRI | 1918.40 | 2042.36 | 1997.47 | 2302.64 | 0.24 | 0.69 | 0.52 | 1.56 |
| SAT | 1917.47 | 2029.94 | 1996.19 | 2348.31 | 0.22 | 0.60 | 0.47 | 1.45 |
| SUN | 1915.38 | 2033.39 | 1995.59 | 2320.33 | 0.21 | 0.60 | 0.46 | 1.47 |
| Average | 1917.78 | 2036.79 | 1996.68 | 2321.37 | 0.22 | 0.63 | 0.49 | 1.55 |
| Day | CO (ppb) | CO2 (ppm) | ||||||
| Q1 | Mean | Q3 | 97.5% | Q1 | Mean | Q3 | 97.5% | |
| MON | 100.18 | 135.75 | 123.09 | 215.60 | 411.19 | 439.35 | 447.03 | 485.43 |
| TUE | 104.15 | 140.01 | 128.02 | 227.49 | 411.52 | 442.07 | 431.87 | 478.49 |
| WED | 104.12 | 139.36 | 127.42 | 214.22 | 412.08 | 440.02 | 427.81 | 486.47 |
| THU | 104.74 | 140.41 | 128.18 | 220.50 | 412.01 | 441.18 | 428.00 | 477.71 |
| FRI | 103.20 | 138.71 | 126.36 | 210.69 | 411.90 | 441.39 | 428.89 | 479.19 |
| SAT | 101.89 | 132.45 | 122.22 | 201.42 | 411.77 | 438.16 | 436.34 | 482.07 |
| SUN | 102.26 | 130.50 | 120.69 | 195.57 | 411.98 | 439.32 | 447.30 | 481.59 |
| Average | 102.93 | 136.74 | 125.14 | 212.21 | 411.78 | 440.21 | 435.32 | 481.57 |
| Day | CH4 (ppb) | eBC (μg /m3) | ||||||
| Q1 | Mean | Q3 | 97.5% | Q1 | Mean | Q3 | 97.5% | |
| MON | 1940.13 | 2079.88 | 2029.05 | 2382.75 | 0.20 | 0.70 | 0.54 | 1.98 |
| TUE | 1945.30 | 2078.51 | 2031.13 | 2343.82 | 0.21 | 0.71 | 0.57 | 2.11 |
| WED | 1945.82 | 2081.40 | 2033.51 | 2394.04 | 0.22 | 0.71 | 0.54 | 1.75 |
| THU | 1945.22 | 2082.45 | 2033.34 | 2377.77 | 0.26 | 0.78 | 0.59 | 1.85 |
| FRI | 1945.78 | 2090.59 | 2036.65 | 2410.27 | 0.28 | 0.75 | 0.60 | 1.91 |
| SAT | 1945.17 | 2067.08 | 2025.76 | 2377.11 | 0.26 | 0.70 | 0.55 | 1.69 |
| SUN | 1946.04 | 2078.91 | 2032.16 | 2377.95 | 0.20 | 0.65 | 0.47 | 1.48 |
| Average | 1944.78 | 2079.83 | 2031.66 | 2380.53 | 0.23 | 0.71 | 0.55 | 1.82 |
| Day | CO (ppb) | CO2 (ppm) | ||||||
| Q1 | Mean | Q3 | 97.5% | Q1 | Mean | Q3 | 97.5% | |
| MON | 118.77 | 180.82 | 161.58 | 331.21 | 414.56 | 426.58 | 422.32 | 452.47 |
| TUE | 123.47 | 193.04 | 166.89 | 356.73 | 414.57 | 428.95 | 423.17 | 452.63 |
| WED | 126.48 | 191.33 | 169.62 | 359.95 | 415.14 | 428.59 | 423.71 | 456.90 |
| THU | 126.55 | 195.43 | 172.69 | 358.30 | 414.90 | 431.24 | 424.63 | 457.07 |
| FRI | 125.03 | 197.55 | 170.80 | 347.52 | 414.81 | 431.47 | 424.41 | 457.10 |
| SAT | 126.67 | 190.56 | 167.00 | 339.37 | 414.62 | 428.88 | 423.21 | 453.75 |
| SUN | 122.05 | 189.22 | 166.44 | 334.03 | 414.13 | 428.00 | 423.10 | 455.51 |
| Average | 124.14 | 191.14 | 167.86 | 346.73 | 414.68 | 429.10 | 423.51 | 455.06 |
| Day | CH4 (ppb) | eBC (μg /m3) | ||||||
| Q1 | Mean | Q3 | 97.5% | Q1 | Mean | Q3 | 97.5% | |
| MON | 1941.15 | 2027.64 | 2016.00 | 2405.69 | 0.18 | 0.68 | 0.54 | 2.18 |
| TUE | 1944.28 | 2056.49 | 2021.10 | 2373.83 | 0.18 | 0.73 | 0.56 | 2.28 |
| WED | 1948.13 | 2059.77 | 2028.18 | 2406.91 | 0.17 | 0.72 | 0.61 | 2.67 |
| THU | 1949.43 | 2069.25 | 2034.01 | 2421.81 | 0.18 | 0.82 | 0.65 | 2.75 |
| FRI | 1945.83 | 2074.72 | 2038.80 | 2450.45 | 0.23 | 0.89 | 0.67 | 2.43 |
| SAT | 1946.35 | 2047.75 | 2025.77 | 2391.88 | 0.19 | 0.78 | 0.58 | 2.21 |
| SUN | 1944.90 | 2042.27 | 2027.78 | 2428.05 | 0.18 | 0.68 | 0.53 | 2.09 |
| Average | 1945.72 | 2053.98 | 2027.38 | 2411.23 | 0.19 | 0.76 | 0.59 | 2.37 |
| Hours ≥ 3rd Q. | Average (3rd Q.) |
Max/Min (3rd Q.) |
Hours ≥ Top 2.5% |
Average (T2,5%) |
Max/Min (T2,5%) |
|
|---|---|---|---|---|---|---|
| CO (ppb) | ||||||
| Spring | 3773 | 539 | WED/SUN | 379 | 54 | THU/MON |
| Summer | 3078 | 440 | WED/SUN | 352 | 50 | FRI/SUN |
| Fall | 3579 | 511 | THU/SUN | 361 | 52 | MON/SUN |
| Winter | 3634 | 519 | FRI/MON | 366 | 52 | THU/SUN |
| CO2 (ppm) | ||||||
| Spring | 3773 | 539 | WED/SUN | 379 | 54 | THU/TUE |
| Summer | 3506 | 501 | FRI/MON | 352 | 50 | FRI/SAT |
| Fall | 3579 | 511 | SAT/WED | 361 | 52 | MON/TUE |
| Winter | 3634 | 519 | FRI/MON | 366 | 52 | THU/WED |
| CH4 (ppb) | ||||||
| Spring | 3773 | 539 | WED/MON | 379 | 54 | WED/MON |
| Summer | 3506 | 501 | FRI/SUN | 359 | 51 | SAT/THU |
| Fall | 3579 | 511 | FRI/WED | 361 | 52 | FRI/TUE |
| Winter | 3634 | 519 | FRI/MON | 366 | 52 | FRI/SAT |
| eBC(μg /m3) | ||||||
| Spring | 3773 | 539 | WED/MON | 379 | 54 | THU/MON |
| Summer | 3506 | 352 | FRI/SUN | 501 | 50 | WED/SUN |
| Fall | 3579 | 511 | THU/SUN | 361 | 52 | TUE/SUN |
| Winter | 3635 | 519 | FRI/MON | 366 | 52 | THU/M-SU1 |
| Seasons | Wdays | CO | CO2 | CH4 | eBC | ||||
| Q3 | Top | Q3 | Top | Q3 | Top | Q3 | Top | ||
| Fall | MON | 0.139 | 0.214 | 0.140 | 0.187 | 0.146 | 0.147 | 0.134 | 0.179 |
| TUE | 0.159 | 0.191 | 0.145 | 0.110 | 0.144 | 0.114 | 0.137 | 0.283 | |
| WED | 0.153 | 0.144 | 0.129 | 0.123 | 0.134 | 0.159 | 0.140 | 0.110 | |
| THU | 0.165 | 0.162 | 0.147 | 0.104 | 0.145 | 0.130 | 0.183 | 0.140 | |
| FRI | 0.163 | 0.109 | 0.147 | 0.174 | 0.151 | 0.188 | 0.168 | 0.156 | |
| SAT | 0.115 | 0.099 | 0.151 | 0.127 | 0.135 | 0.135 | 0.137 | 0.091 | |
| SUN | 0.105 | 0.081 | 0.141 | 0.174 | 0.147 | 0.127 | 0.100 | 0.041 | |
| SD | 0.022 | 0.046 | 0.007 | 0.032 | 0.006 | 0.023 | 0.025 | 0.071 | |
| Range | 0.143 | 0.168 | 0.145 | 0.155 | 0.145 | 0.165 | 0.158 | 0.242 | |
| Spring | MON | 0.126 | 0.089 | 0.132 | 0.134 | 0.131 | 0.086 | 0.111 | 0.095 |
| TUE | 0.149 | 0.138 | 0.143 | 0.116 | 0.138 | 0.131 | 0.136 | 0.163 | |
| WED | 0.168 | 0.167 | 0.170 | 0.164 | 0.168 | 0.200 | 0.168 | 0.151 | |
| THU | 0.148 | 0.171 | 0.143 | 0.166 | 0.145 | 0.134 | 0.153 | 0.169 | |
| FRI | 0.143 | 0.153 | 0.152 | 0.145 | 0.144 | 0.156 | 0.163 | 0.166 | |
| SAT | 0.149 | 0.150 | 0.137 | 0.143 | 0.143 | 0.151 | 0.150 | 0.151 | |
| SUN | 0.118 | 0.133 | 0.124 | 0.132 | 0.132 | 0.143 | 0.119 | 0.106 | |
| SD | 0.015 | 0.025 | 0.014 | 0.017 | 0.011 | 0.032 | 0.020 | 0.028 | |
| Range | 0.153 | 0.146 | 0.156 | 0.150 | 0.156 | 0.168 | 0.148 | 0.141 | |
| Summer | MON | 0.133 | 0.146 | 0.129 | 0.119 | 0.135 | 0.125 | 0.115 | 0.134 |
| TUE | 0.135 | 0.129 | 0.138 | 0.118 | 0.145 | 0.160 | 0.135 | 0.080 | |
| WED | 0.168 | 0.198 | 0.135 | 0.142 | 0.144 | 0.147 | 0.169 | 0.251 | |
| THU | 0.159 | 0.114 | 0.155 | 0.171 | 0.151 | 0.119 | 0.163 | 0.180 | |
| FRI | 0.152 | 0.180 | 0.171 | 0.207 | 0.153 | 0.135 | 0.174 | 0.176 | |
| SAT | 0.140 | 0.122 | 0.138 | 0.104 | 0.139 | 0.183 | 0.131 | 0.104 | |
| SUN | 0.113 | 0.111 | 0.135 | 0.139 | 0.133 | 0.131 | 0.113 | 0.076 | |
| SD | 0.017 | 0.031 | 0.014 | 0.033 | 0.007 | 0.021 | 0.024 | 0.059 | |
| Range | 0.151 | 0.166 | 0.158 | 0.174 | 0.146 | 0.162 | 0.151 | 0.192 | |
| Winter | MON | 0.110 | 0.117 | 0.129 | 0.130 | 0.119 | 0.114 | 0.103 | 0.093 |
| TUE | 0.143 | 0.137 | 0.136 | 0.158 | 0.137 | 0.113 | 0.124 | 0.118 | |
| WED | 0.130 | 0.164 | 0.133 | 0.115 | 0.139 | 0.114 | 0.122 | 0.207 | |
| THU | 0.159 | 0.200 | 0.160 | 0.167 | 0.157 | 0.156 | 0.175 | 0.226 | |
| FRI | 0.171 | 0.158 | 0.165 | 0.140 | 0.168 | 0.202 | 0.215 | 0.150 | |
| SAT | 0.150 | 0.120 | 0.140 | 0.128 | 0.145 | 0.108 | 0.147 | 0.117 | |
| SUN | 0.137 | 0.105 | 0.137 | 0.161 | 0.136 | 0.192 | 0.112 | 0.089 | |
| SD | 0.018 | 0.031 | 0.013 | 0.018 | 0.015 | 0.038 | 0.037 | 0.050 | |
| Range | 0.153 | 0.169 | 0.152 | 0.149 | 0.153 | 0.165 | 0.178 | 0.176 | |
| Season | Year | CO | CO2 | CH4 | eBC | ||||
| Q3 | Top | Q3 | Top | Q3 | Top | Q3 | Top | ||
| Fall | 2016 | 1.30 | 1.03 | 0.99 | 4.04 | 0.84 | 1.07 | 1.14 | 5.02 |
| 2017 | 1.06 | 1.37 | 0.95 | 0.97 | 0.93 | 1.46 | 0.96 | 1.57 | |
| 2018 | 1.10 | 1.24 | 0.97 | 0.80 | 1.13 | 1.27 | 1.44 | 1.59 | |
| 2019 | 1.16 | 4.55 | 1.25 | 2.25 | 1.28 | 1.09 | 1.49 | 1.53 | |
| 2020 | 2.08 | 3.38 | 1.00 | 0.64 | 0.99 | 2.12 | 2.20 | 2.66 | |
| 2021 | 1.59 | 0.77 | 0.79 | 0.75 | 0.83 | 0.35 | 1.27 | 1.50 | |
| 2022 | 2.59 | 23.73 | 0.87 | 0.32 | 1.32 | 2.69 | 1.56 | 0.00 | |
| Avg | 1.56 | 5.15 | 0.97 | 1.40 | 1.05 | 1.44 | 1.44 | 1.98 | |
| SD | 0.54 | 7.69 | 0.13 | 1.22 | 0.19 | 0.71 | 0.37 | 1.43 | |
| Spring | 2016 | 1.01 | 1.09 | 1.15 | 1.81 | 1.12 | 1.42 | 1.42 | 2.56 |
| 2017 | 1.26 | 2.44 | 1.61 | 2.38 | 1.46 | 0.99 | 1.33 | 2.19 | |
| 2018 | 0.92 | 0.43 | 1.10 | 2.03 | 0.97 | 1.27 | 0.80 | 0.48 | |
| 2019 | 1.04 | 0.44 | 1.05 | 0.59 | 1.03 | 1.31 | 1.07 | 0.78 | |
| 2020 | 1.01 | 0.58 | 0.80 | 0.44 | 0.72 | 0.27 | 0.59 | 0.63 | |
| 2021 | 1.17 | 1.33 | 0.89 | 0.80 | 0.92 | 1.19 | 1.00 | 1.67 | |
| 2022 | 1.30 | 8.81 | 1.74 | 1.39 | 1.44 | 1.21 | 1.97 | 2.10 | |
| Avg | 1.10 | 2.16 | 1.19 | 1.35 | 1.09 | 1.09 | 1.17 | 1.49 | |
| SD | 0.13 | 2.79 | 0.33 | 0.70 | 0.25 | 0.36 | 0.42 | 0.79 | |
| Summer | 2016 | 1.00 | 1.63 | 0.83 | 0.85 | 0.80 | 0.47 | 0.71 | 3.05 |
| 2017 | 1.40 | 1.59 | 0.99 | 1.18 | 1.19 | 1.07 | 1.73 | 3.40 | |
| 2018 | 1.34 | 1.52 | 1.26 | 1.26 | 1.18 | 1.23 | 1.31 | 1.29 | |
| 2019 | 1.04 | 1.06 | 0.99 | 0.96 | 1.05 | 0.76 | 0.96 | 0.83 | |
| 2020 | 1.09 | 1.50 | 1.14 | 2.58 | 1.09 | 0.96 | 1.12 | 1.58 | |
| 2021 | 1.12 | 0.92 | 1.11 | 1.45 | 0.85 | 1.17 | 1.61 | 0.79 | |
| 2022 | 1.71 | 1.85 | 1.19 | 0.68 | 1.45 | 0.68 | 1.62 | 2.81 | |
| Avg | 1.24 | 1.44 | 1.07 | 1.28 | 1.09 | 0.91 | 1.29 | 1.96 | |
| SD | 0.24 | 0.30 | 0.13 | 0.58 | 0.20 | 0.26 | 0.35 | 1.02 | |
| Winter | 2016 | 0.72 | 1.39 | 0.67 | 0.76 | 0.56 | 0.38 | 0.69 | 3.37 |
| 2017 | 1.69 | 2.79 | 1.46 | 1.26 | 1.46 | 0.66 | 2.42 | 2.97 | |
| 2018 | 0.71 | 0.77 | 0.87 | 0.63 | 0.91 | 1.06 | 0.98 | 1.39 | |
| 2019 | 1.00 | 1.95 | 0.98 | 1.12 | 0.97 | 1.42 | 1.14 | 0.65 | |
| 2020 | 1.02 | 1.21 | 0.98 | 1.58 | 0.98 | 1.14 | 0.98 | 1.05 | |
| 2021 | 0.96 | 1.76 | 1.38 | 1.97 | 1.60 | 1.03 | 1.26 | 2.31 | |
| 2022 | 1.18 | 1.03 | 1.32 | 0.52 | 1.13 | 1.61 | 1.27 | 1.57 | |
| Avg | 1.04 | 1.56 | 1.09 | 1.12 | 1.09 | 1.04 | 1.25 | 1.90 | |
| SD | 0.31 | 0.63 | 0.27 | 0.49 | 0.33 | 0.39 | 0.51 | 0.94 | |
Disclaimer/Publisher’s Note: The statements, opinions and data contained in all publications are solely those of the individual author(s) and contributor(s) and not of MDPI and/or the editor(s). MDPI and/or the editor(s) disclaim responsibility for any injury to people or property resulting from any ideas, methods, instructions or products referred to in the content. |
© 2024 by the authors. Licensee MDPI, Basel, Switzerland. This article is an open access article distributed under the terms and conditions of the Creative Commons Attribution (CC BY) license (http://creativecommons.org/licenses/by/4.0/).
