Submitted:
03 September 2024
Posted:
03 September 2024
You are already at the latest version
Abstract
Keywords:
1. Introduction
2. Materials and Methods
Blood Collection and Patients
Platelet Count, Mean Platelet Volume (MPV) and Platelet Large Cell Ratio (PLC-R)
Reticulated Platelets (RP)
Platelet forward Scattering (FSC)
Platelet Function
Interleukin 6 (IL6)
Statistics
3. Results
4. Discussion
Author Contributions
Funding
Institutional Review Board Statement
Informed Consent Statement
Acknowledgments
Conflicts of Interest
Appendix A
| Control | CHD | ACS | |
| n | 66 | 55 | 95a |
| Age (mean ± SD), years | 62 ± 13 | 65 ± 11 | 62 ± 10 p(CHD) = 0.052 |
| Male/female, n/n | 30/36 | 37/18* | 78/17*** p(CHD) = 0.038 |
| Hypertension, n (%) | 47 (71%) | 51 (93%)** | 84 (88%)** p(CHD) = 0.398 |
| Diabetes mellitus, n (%) | 10 (15%) | 15 (27%) | 22 (23%) p(CHD) = 0.573 |
| Hypercholesterolemia, n (%) | 22 (33%) | 27 (49%) | 30 (32%) p(CHD) = 0.033 |
References
- Yee DL, Sun CW, Bergeron AL, Dong JG, Bray PF. Aggregometry detects platelet hyperreactivity in healthy individuals. Blood 2005; 106: 2723–2729. [CrossRef]
- Yakushkin VV, Zyuryaev IT, Khaspekova SG, Sirotkina OV, Ruda MYa, Mazurov AV. Glycoprotein IIb-IIIa content and platelet aggregation in healthy volunteers and patients with acute coronary syndrome. Platelets 2011; 22: 243-251. [CrossRef]
- De Gaetano G, Santimone I, Gianfagna F, Iacoviello L, Cerletti C. Variability of platelet indices and function: acquired and genetic factors. In: Gresele P, Born GVR, Patrono C, Page CP, editors. Handbook of experimental pharmacology 2010. Antiplatelet agents. Springer-Verlag, Berlin: Heidelberg; 2012. p. 395-434.
- Wisman PP, Roest M, Asselbergs FW, de Groot PG, Moll FL, van der Graaf Y, de Borst GJ. Platelet-reactivity tests identify patients at risk of secondary cardiovascular events: a systematic review and meta-analysis. Thromb Haemost 2014; 12: 736-747. [CrossRef]
- Aradi D, Kirtane A, Bonello L, Gurbel PA, Tantry US, Huber K, Freynhofer MK, ten Berg J6, Janssen P, Angiolillo DJ, Siller-Matula JM, Marcucci R, Patti G, Mangiacapra F, Valgimigli M, Morel O, Palmerini T, Price MJ, Cuisset T, Kastrati A, Stone GW, Sibbing D. Bleeding and stent thrombosis on P2Y12-inhibitors: collaborative analysis on the role of platelet reactivity for risk stratification after percutaneous coronary intervention. Eur Heart J 2015; 36: 1762-1771. [CrossRef]
- Reny, JL, Fontana P, Hochholzer W, Neumann FJ., ten Berg J, Janssen PW, Geisler, T., Gawaz M, Marcucci R, Gori, A. M., Cuisset T, Alessi MC, Berdagué P, Gurbel PA., Yong G, Angiolillo DJ, Aradi D, Beigel R, Campo, G., Combescure C. Vascular risk levels affect the predictive value of platelet reactivity for the occurrence of MACE in patients on clopidogrel. Thromb Haemos. 2016; 115: 823-825. [CrossRef]
- Larsen PD, Holley AS, Sasse A, Al-Sinan A, Fairley S, Harding SA. Comparison of multiplate and verifyNow platelet function tests in predicting clinical outcome in patients with acute coronary syndromes. Thromb Res 2017; 152: 14-19. [CrossRef]
- Freynhofer MK, Gruber SC, Grove EL, Weiss TW, Wojta J, Huber K. Antiplatelet drugs in patients with enhanced platelet turnover: biomarkers versus platelet function testing. Thromb Haemost 2015; 114: 459–468. [CrossRef]
- Handtke S, Thiele T. Large and small platelets – (When) do they differ? J Thromb Haemost 2020; 18: 1256-1267. [CrossRef]
- Bodrova VV, Shustova ON, Khaspekova SG, Mazurov AV. Laboratory markers of platelet production and turnover. Biochemistry (Moscow) 2023; 88 (Suppl. 1): S39-S51. [CrossRef]
- Hannawi B, Hannawi Y, Kleiman NS. Reticulated platelets: changing focus from basics to outcomes. J Thromb Haemost 2018; 118: 1517-1527. [CrossRef]
- Thompson C.B., Jakubowsky J.A. The pathophysiology and clinical relevance of platelet heterogeneity. Blood 1988; 72: 1-8.
- Leytin V., Shapiro H., Novikov I., Radney J. Flow cytometric analysis of the platelet surface area and surface density of glycoprotein IIb-IIIa of unactivated human platelets of various sizes. Biochem Biophys Res Commun 1996; 226: 94–100. [CrossRef]
- Guthikonda S, Alviar CL, Vaduganathan M, Arikan M, Tellez A, DeLao T, Granada JF, Dong J-F, Kleiman NS, Lev EI. Role of reticulated platelets and platelet size heterogeneity on platelet activity after dual antiplatelet therapy with aspirin and clopidogrel in patients with stable coronary artery disease. J Am Coll Cardiol 2008; 52: 743-749. [CrossRef]
- Mangalpally K, Siqueiros-Garcia A, Vaduganathan M, Dong J-F, Kleiman NS, Guthikonda S. Platelet activation patterns in platelet size sub-populations: differential responses to aspirin in vitro. J Thromb Thrombolysis 2010; 30: 251–26211. [CrossRef]
- Khaspekova SG, Zyuryaev IT, Yakushkin VV, Sirotkina OV, Zaytseva NO, Ruda MYa, Panteleev MA, Mazurov AV. Relationships of glycoproteins IIb-IIIa and Ib content with mean platelet volume and their genetic polymorphisms. Blood Coagul Fibrinolysis 2014; 25: 128-134. [CrossRef]
- Connor D, Rabbolini D, Morel-Kopp M-C, Fixter K, Donikian D, Kondo M, Chan O, Jarvis S, Chen W, Brighton T, Chen V, Ward C, Joseph J. The utility of flow cytometric platelet forward scatter as an alternative to mean platelet volume. Platelets 2022; 22: 1-7. [CrossRef]
- Guthikonda S, Lev EI, Patel R, Delao T, Bergeron AL, Dong J-F, Kleiman NS. Reticulated platelets and uninhibited COX-1 and COX-2 decrease the antiplatelet effects of aspirin. J Thromb Haemost 2007; 5: 490-496. [CrossRef]
- Bodrova VV, Shustova ON, Khaspekova SG, Mazurov AV. Platelet reticulated forms, size indexes and functional activity. Interactions in healthy volunteers. Platelets 2022; 33: 398-403. [CrossRef]
- Hille L, Lenz M, Vlachos A, Grüning B, Hein L, Neumann F-J, Nührenberg TG, Trenk D. Ultrastructural, transcriptional, and functional differences between human reticulated and non-reticulated platelets. J Thromb Haemost 2020; 18: 2034-2046. [CrossRef]
- Lador A, Leshem LD, Spectre G, Abelow A, Kornowski R, Lev EI. Characterization of surface antigens of reticulated immature platelets. J Thromb Thrombolysis 2017; 44: 291-297. [CrossRef]
- McBane RD, Gonzalez C, Hodge DO, Wysokinski WE. Propensity for young reticulated platelet recruitment into arterial thrombi. J Thromb Thrombolysis 2014; 37: 148-154. [CrossRef]
- Armstrong PC, Hoefer T, Knowles RB, Tucker AT, Hayman MA, Ferreira PM, Chan MV, Warner TD. Newly formed reticulated platelets undermine pharmacokinetically short-lived antiplatelet therapies. Arterioscler Thromb Vasc Biol 2017; 37: 949-956. [CrossRef]
- Cesari F, Marcucci R, Caporale R, Paniccia R, Romano E, Gensini G-F, Abbate R, Gori A-M. Relationship between high platelet turnover and platelet function in high-risk patients with coronary artery disease on dual antiplatelet therapy. J Thromb Haemost 2008; 99: 930-935. [CrossRef]
- Sansanayudh N, Numthavaj P, Muntham D, Yamwong S, McEvoy M, Attia J, Sritara P, Thakkinstian A. Prognostic effect of mean platelet volume in patients with coronary artery disease. A systematic review and meta-analysis. Thromb Haemost 2015; 114: 1299–1309. [CrossRef]
- Zhaol Y, Lai R, Zhang Y, Shi D. The prognostic value of reticulated platelets in patients with coronary artery disease: a systematic review and meta-analysis. Front Cardiovasc Med 2020; 7: 57-61. [CrossRef]
- Kaushansky K. Thrombopoiesis. Semin Hematol, 2015; 52: 4-11. [CrossRef]
- Baatout S. Interleukin-6 and megakaryocytopoiesis: an update. Ann Hematol 1996; 73; 157-162. [CrossRef]
- Senaran H, Ileri M, Altinbaş A, Koşar A, Yetkin E, Oztürk M, Karaaslan Y, Kirazli S. Thrombopoietin and mean platelet volume in coronary artery disease. Clin Cardiol 2001; 24: 405–408. [CrossRef]


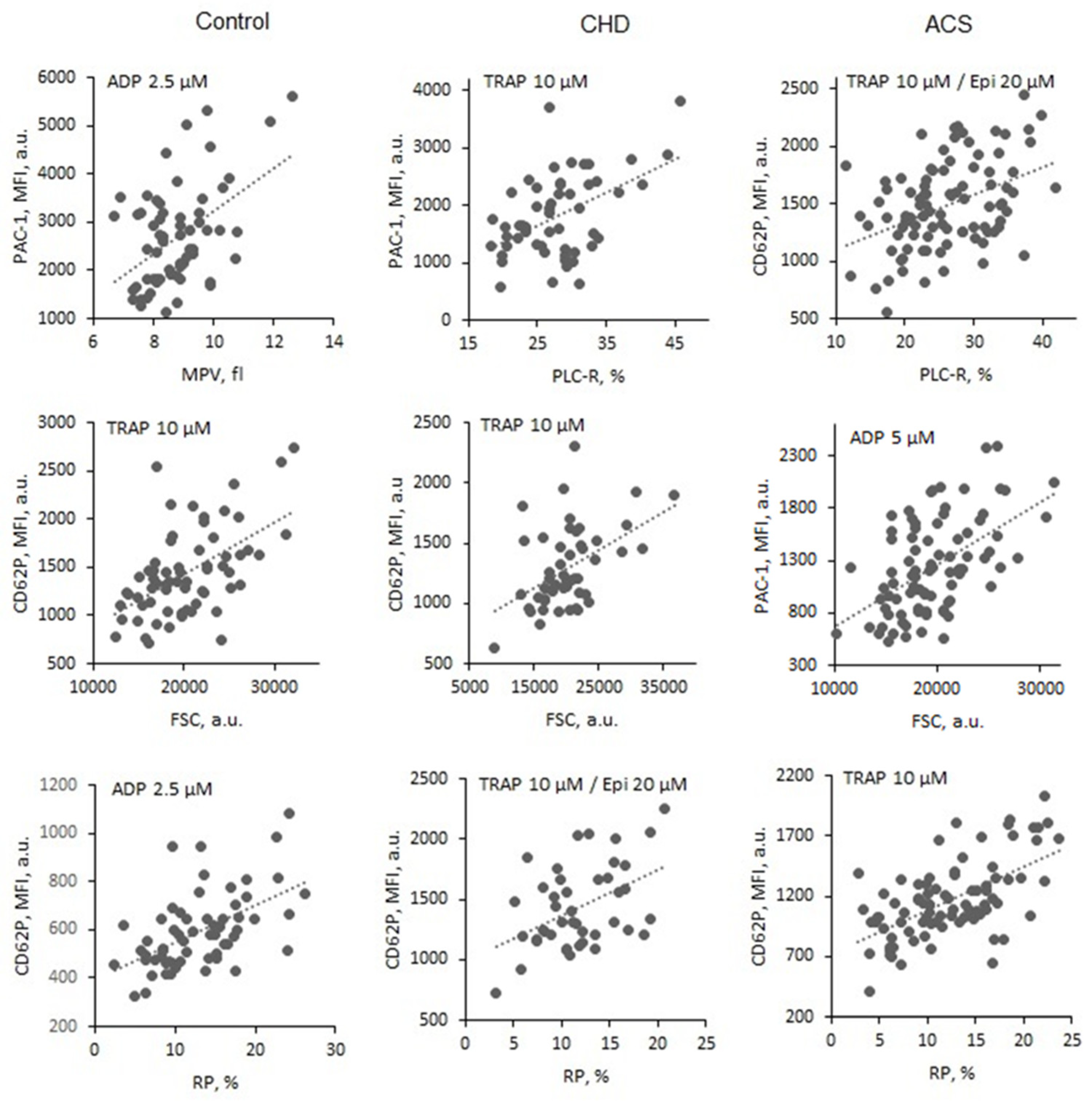
| MPV, fl | PLC-R, % | FSC, a.u. | RP, % | |
|---|---|---|---|---|
| Control | 8.7 ± 1.1 | 27.2 ± 7.6 | 20320 ± 4556 | 12.8 ± 5.5 |
| r (MPV) | - | 0.904 | 0.779 | 0.506 |
| r (PLC-R) | 0.841 | 0.537 | ||
| r (FSC) | 0.694 | |||
| CHD | 8.7 ± 0.8 | 27.8 ± 6.1 | 20144 ± 4997 | 11.6 ± 4.1 |
| r (MPV) | - | 0.891 | 0.538 | 0.348 |
| r (PLC-R) | 0.642 | 0.480 | ||
| r (FSC) | 0.467 | |||
| ACS | 8.4 ± 0.8* | 25.9 ± 6.6 | 19753 ± 4060 | 12.2 ± 5.2 |
| r (MPV) | - | 0.922 | 0.628 | 0.278 |
| r (PLC-R) | 0.779 | 0.486 | ||
| r (FSC) | 0.650 |
| Agonist | Index | Control | CHD p(control) < 0.001a |
ACS p(control) < 0.001b |
|---|---|---|---|---|
| Activated GP IIb-IIIa (PAC-1 binding) | ||||
| TRAP 10 µM | MFI, a.u. | 2830 ± 1124 | 1802 ± 718 | 1405 ± 462*** |
| PAC-1+, % | 88 ± 7 | 68 ± 15 | 59 ± 12*** | |
| TRAP 10 µM Epi 20 µM |
MFI, a.u | n.d. | 2784 ± 971 | 2531 ± 704 |
| PAC-1+, % | n.d. | 87 ± 8 | 85 ± 7 | |
| ADP 20 µM | MFI, a.u | 3186 ± 1184 | 1934 ± 780 | 1425 ± 507*** |
| PAC-1+, % | 90 ± 5 | 61 ± 19 | 48 ± 12*** | |
| ADP 20 µM Epi 20 µM |
MFI, a.u | n.d. | 2883 ± 1008 | 2572 ± 805* |
| PAC-1+, % | n.d. | 86 ± 9 | 83 ± 8 | |
| ADP, 5 µM | MFI, a.u | 2940 ± 1103 | 1705 ± 694 | 1237 ± 445*** |
| PAC-1+, % | 87 ± 6 | 55 ± 20 | 37 ± 11*** | |
| ADP 5 µM Epi 20 µM |
MFI, a.u | n.d. | 2686 ± 989 | 2280 ± 725** |
| PAC-1+, % | n.d. | 84 ± 10 | 78 ± 10*** | |
| ADP 2.5 µM | MFI, a.u | 2690 ± 1044 | n.d. | n.d. |
| PAC-1+, % | 83 ± 8 | n.d. | n.d. | |
| P-selectin (CD62P binding) | ||||
| TRAP 10 µM | MFI, a.u. | 1443 ± 455 | 1277 ± 334 | 1166 ± 317* |
| CD62P+, % | 90 ± 8 | 89 ± 6 | 87 ± 8 | |
| TRAP 10 µM Epi 20 µM |
MFI, a.u | n.d. | 1484 ± 373 | 1491 ± 381 |
| CD62P+, % | n.d | 93 ± 4 | 92 ± 5 | |
| ADP 20 µM | MFI, a.u | 723 ± 202 | 537 ± 177 | 427 ± 97*** |
| CD62P+, % | 57 ± 15 | 35 ± 17 | 21 ± 10*** | |
| ADP 20 µM Epi, 20 µM |
MFI, a.u | n.d. | 784 ± 265 | 648 ± 171*** |
| CD62P, % | n.d. | 61 ± 17 | 52 ± 16*** | |
| ADP 5 µM | MFI, a.u | 643 ± 179 | 496 ± 153 | 393 ± 84*** |
| CD62P+, % | 50 ± 16 | 31 ± 16 | 18 ± 10*** | |
| ADP 5 µM Epi 20 µM |
MFI, a.u | n.d. | 720 ± 238 | 594 ± 149*** |
| CD62P+, % | n.d. | 57 ± 18 | 47 ± 16*** | |
| ADP 2.5 µM | MFI, a.u | 594 ± 156 | n.d. | n.d. |
| CD62P+, % | 46 ± 15 | n.d. | n.d. | |
| Agonist | MPV | P-LCR | FSC | RP, % |
|---|---|---|---|---|
| PAC-1, MFI | ||||
| TRAP 10 µM | 0.356** | 0.385** | 0.412*** | 0.450*** |
| ADP 20 µM | 0.460*** | 0.473*** | 0.528*** | 0.536*** |
| ADP 5 µM | 0.450*** | 0.471*** | 0.492*** | 0.520*** |
| ADP 2.5 µM | 0.471*** | 0.473*** | 0.485*** | 0.519*** |
| CD62P, MFI | ||||
| TRAP, 10 µM | 0.320** | 0.458*** | 0.546*** | 0.557*** |
| ADP 20 µM | 0.300* | 0.321** | 0.448*** | 0.546*** |
| ADP 5 µM | 0.330** | 0.330** | 0.431*** | 0.551*** |
| ADP 2.5 µM | 0.321** | 0.385** | 0.413*** | 0.547*** |
| CHD (ASA + clopidogrel) | ||||
| Agonist | MPV | P-LCR | FSC | RP, % |
| PAC-1, MFI | ||||
| TRAP 10 µM | 0.290* | 0.484*** | 0.410** | 0.141 |
| TRAP 10 µM+ Epi 20 µM | 0.233 | 0.475*** | 0.370** | 0.235 |
| ADP 20 µM | 0.217 | 0.447*** | 0.360** | 0.163 |
| ADP 20 µM + Epi 20 µM | 0.190 | 0.445*** | 0.319* | 0.186 |
| ADP 5 µM | 0.208 | 0.445*** | 0.376** | 0.176 |
| ADP 5 µM + Epi 20 µM | 0.184 | 0.437*** | 0.316* | 0.151 |
| CD62P, MFI | ||||
| TRAP 10 µM | 0.264* | 0.489*** | 0.477*** | 0.408** |
| TRAP 10 µM+ Epi 20 µM | 0.235 | 0.495*** | 0.474*** | 0.457*** |
| ADP 20 µM | 0.209 | 0.201 | 0.221 | 0.097 |
| ADP 20 µM + Epi 20 µM | 0.196 | 0.233 | 0.218 | 0.151 |
| ADP 5 µM | 0.216 | 0.198 | 0.248 | 0.077 |
| ADP 5 µM + Epi 20 µM | 0.203 | 0.224 | 0.255 | 0.144 |
| ACS (ASA + ticagrelor) | ||||
| Agonis | MPV | P-LCR | FSC | RP, % |
| PAC-1, MFI | ||||
| TRAP 10 µM | 0.073 | 0.261* | 0.507*** | 0.459*** |
| TRAP 10 µM+ Epi 20 µM | 0.004 | 0.172 | 0.376*** | 0.319** |
| ADP 20 µM | 0.119 | 0.283** | 0.504*** | 0.451*** |
| ADP 20 µM + Epi 20 µM | 0.052 | 0.235* | 0.440*** | 0.411*** |
| ADP 5 µM | 0.094 | 0.282** | 0.527*** | 0.477*** |
| ADP 5 µM + Epi 20 µM | 0.052 | 0.234* | 0.447*** | 0.388*** |
| CD62P, MFI | ||||
| TRAP 10 µM | 0.156 | 0.369*** | 0.487*** | 0.600*** |
| TRAP 10 µM+ Epi 20 µM | 0.161 | 0.418*** | 0.541*** | 0.605*** |
| ADP 20 µM | 0.244* | 0.116 | 0.052 | 0.061 |
| ADP 20 µM + Epi 20 µM | 0.175 | 0.171 | 0.190 | 0.157 |
| ADP 5 µM | 0.270* | 0.142 | 0.074 | 0.058 |
| ADP 5 µM + Epi 20 µM | 0.209* | 0.183 | 0.146 | 0.124. |
Disclaimer/Publisher’s Note: The statements, opinions and data contained in all publications are solely those of the individual author(s) and contributor(s) and not of MDPI and/or the editor(s). MDPI and/or the editor(s) disclaim responsibility for any injury to people or property resulting from any ideas, methods, instructions or products referred to in the content. |
© 2024 by the authors. Licensee MDPI, Basel, Switzerland. This article is an open access article distributed under the terms and conditions of the Creative Commons Attribution (CC BY) license (http://creativecommons.org/licenses/by/4.0/).