Submitted:
29 August 2024
Posted:
01 September 2024
You are already at the latest version
Abstract
Differential beamforming has attracted much research since it can utilize the array with small aperture size to form frequency-invariant beampatterns and achieve high directional gains. It has recently been applied to the linear loudspeaker array to produce a broadside frequency-invariant radiation pattern. However, designing steerable frequency-invariant beampatterns for the linear loudspeaker array has yet to be explored. This paper proposes a method to design the steerable differential beamformer with the linear loudspeaker array. We first determine the target differential beampatterns according to the desired direction, the main lobe width, and the beampattern order. Then, we transform the target beampattern into the modal domain for representation. The Jacobi-Anger expansion is subsequently used to design the beamformer so that the resulting beam pattern matches the target differential beam pattern. Furthermore, based on the criterion of minimizing the mean square error between the synthesized beam pattern and the ideal one, a multi-constraint optimization problem is formulated to calculate the optimal desired weighting vector. Simulations and experimental results show that the proposed method can achieve steerable frequency-invariant beamforming over 300 Hz – 4 kHz.
Keywords:
1. Introduction
2. Problem Formulation
3. Methods
3.1. Target Radiation Pattern with the Mainlobe Steering
- which assumes the microphone spacing is much smaller than the wavelength, and
- are real coefficients. To allow mainlobe steering to the desired direction
- , two conditions should be satisfied, that and . In the vector form,
3.2. Formulating the Target Radiation Pattern in the Modal Domain
3.2.1.N. is Even
3.2.2.N. is odd
3.3. Beamformer Design
3.3.1. Modal Matching Method with Maximum WNG
3.3.2. Modal Matching Method with WNG Constraint
4. Simulations
4.1. Performance Study and Comparison
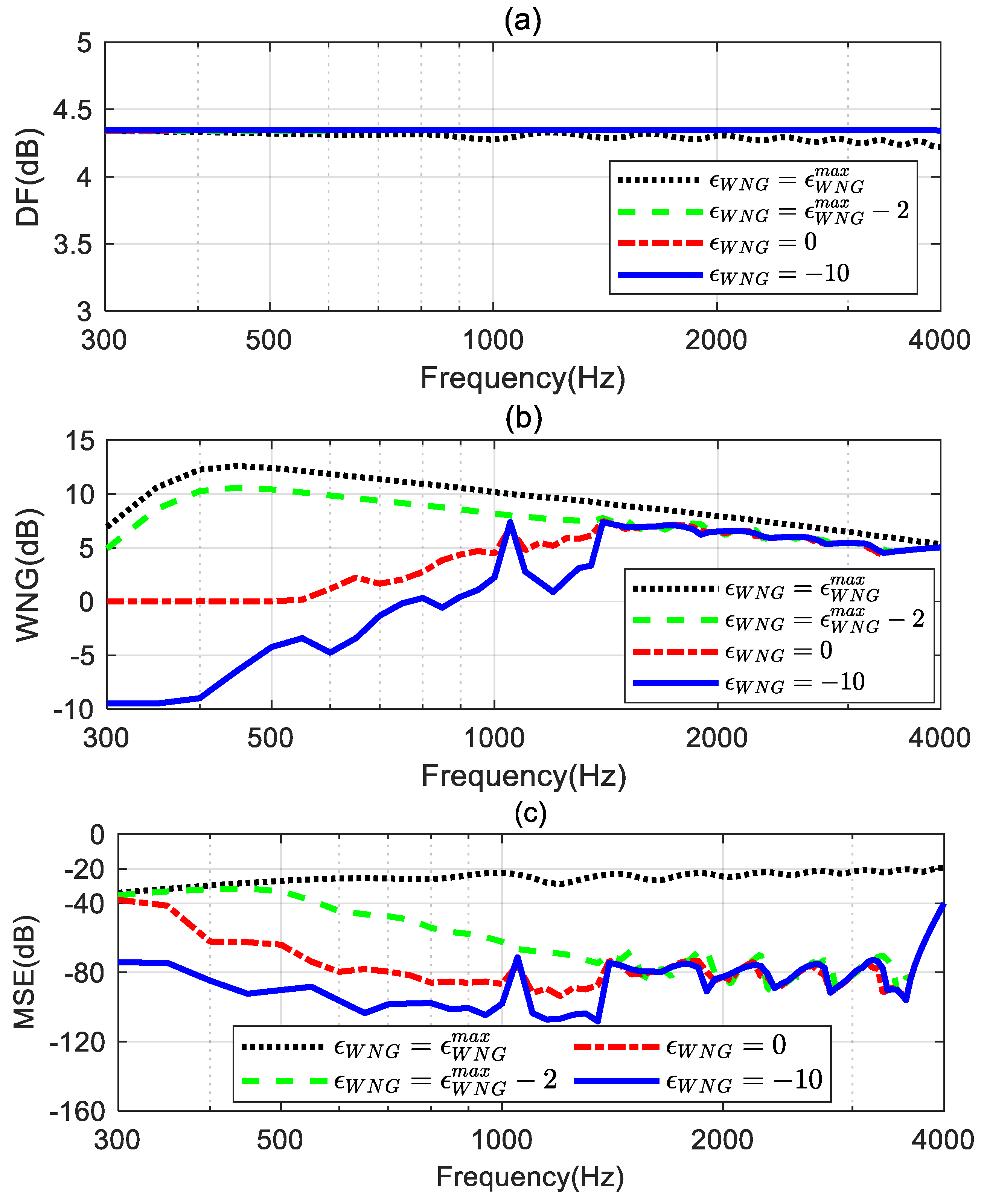
4.2. Impact of the Parameter
4.3. Impact of Loudspeaker Mismatch
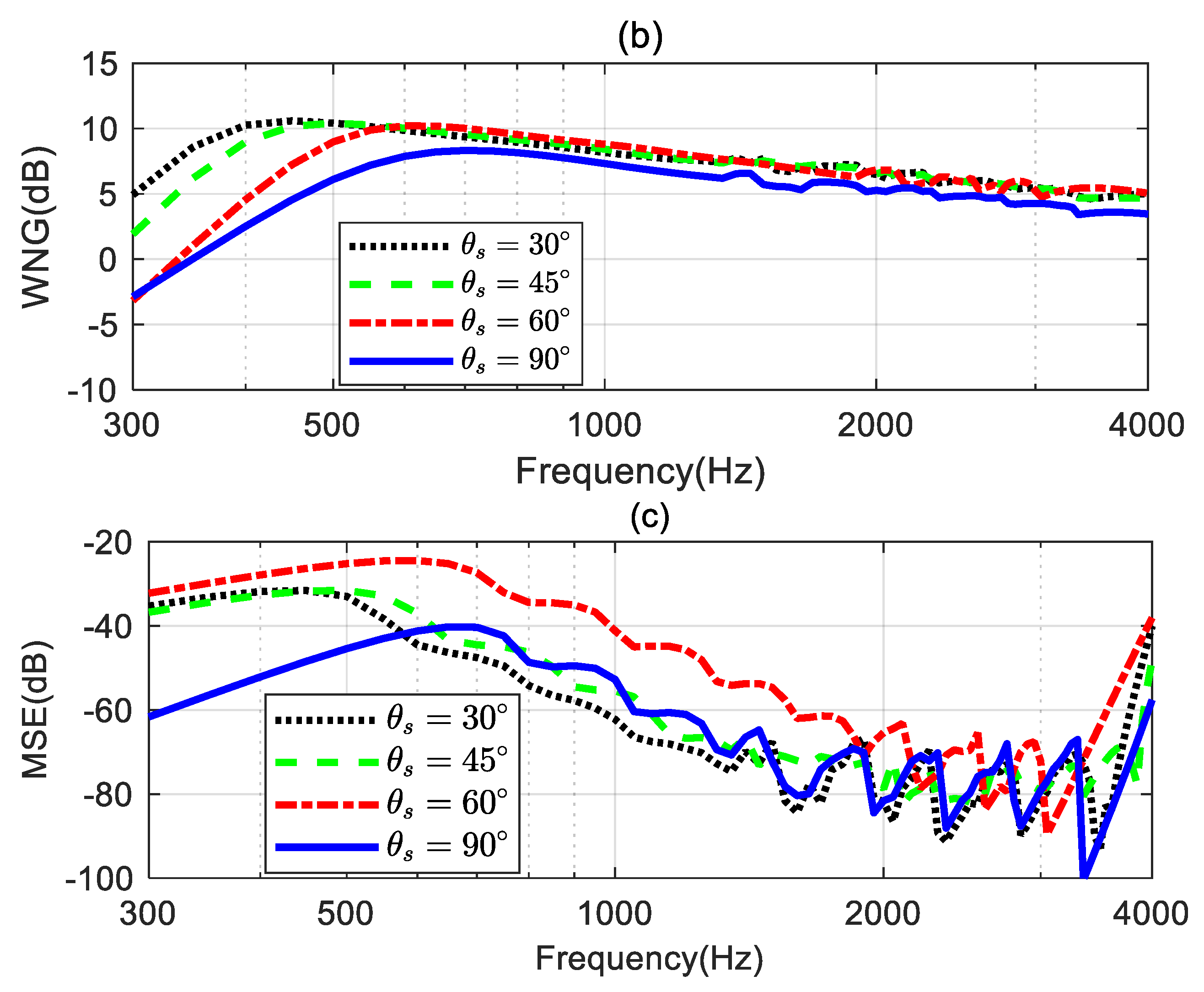
4.4. Validation of the Steering Flexibility
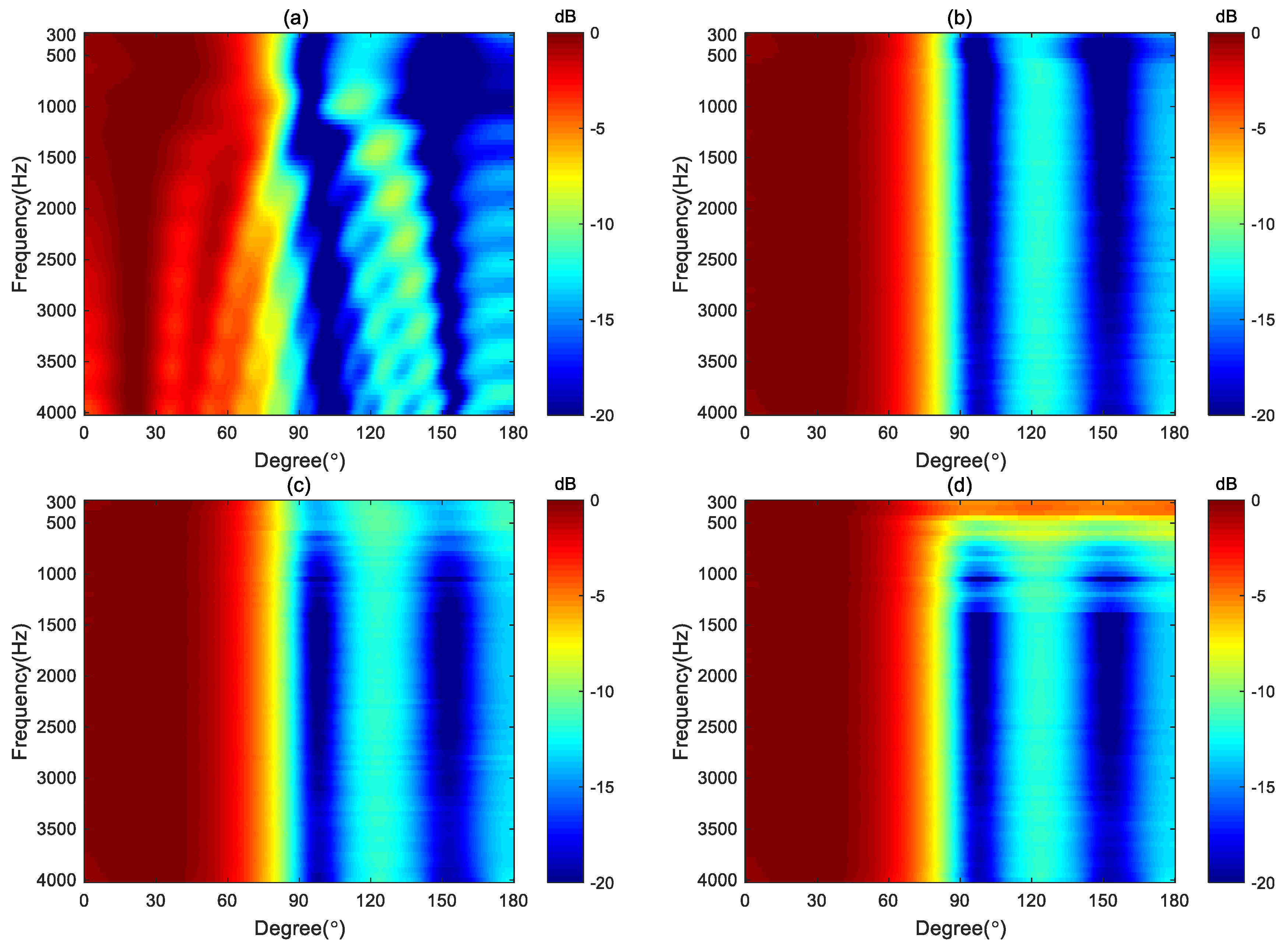
4.5. Comparison with Other Steerable Beamforming Methods
5. Experiment and Discussion
6. Conclusions
Author Contributions
Funding
Data Availability Statement
Conflicts of Interest
References
- Don H. Johnson, D.E.D. Array Signal Processing Concepts and Techniques; Prentice-Hall: New Jersey, USA, 1993.
- G.W.Elko. "Superdirectional microphone arrays" in Acoustic Signal Processing for Telecommunication; Springer-Verlag: Berlin, Germany, 2000.
- Van Trees, H.L. Optimum array processing: Part IV of detection, estimation, and modulation theory; John Wiley & Sons: New Jersey, USA, 2002.
- Liu, W.; Weiss, S. Wideband Beamforming Concepts and Techniques John Wiley& Sons: New Jersey, USA, 2010.
- Benesty, J.; Cohen, I.; Chen, J. Fundamentals of signal enhancement and array signal processing; John Wiley & Sons: New Jersey, USA, 2017.
- Yan, S. Broadband array processing; Springer-Verlag: Berlin, Germany, 2019.
- Benesty, J.; Chen, J.; Huang, Y. Microphone array signal processing; Springer Science & Business Media: Berlin, Germany, 2008.
- Chen, H.; Ser, W. Design of Robust Broadband Beamformers With Passband Shaping Characteristics Using Tikhonov Regularization. IEEE Transactions on Audio, Speech, and Language Processing 2009, 17, 665-681. [CrossRef]
- Cohen, I.; Benesty, J.; Chen, J. Differential Kronecker product beamforming. IEEE/ACM Transactions on Audio, Speech,Language Processing 2019, 27, 892-902.
- Yu, G.; Qiu, Y.; Wang, N. A Robust Wavenumber-Domain Superdirective Beamforming for Endfire Arrays. IEEE Transactions on Signal Processing 2021, 69, 4890-4905. [CrossRef]
- Hao, X.; Wang, Y.; Zhang, Y.; Yang, Y. An optimization method for frequency-invariant beamforming with arbitrary sensor arrays. Applied Acoustics 2023, 207. [CrossRef]
- Zhang, J.; Gong, P.; Wu, Y.; Li, L.; Yu, L. Frequency-invariant beamformer design via ADPM approach. Signal Processing 2023, 204. [CrossRef]
- Mabande, E.; Kellermann, W. Towards superdirective beamforming with loudspeaker arrays. In Proceedings of the Conf. Rec. International Congress on Acoustics, Madrid, Spain, 2-7 September, 2007.
- Boone, M.M.; Cho, W.-H.; Ih, J.-G. Design of a highly directional endfire loudspeaker array. J. Audio Eng. Soc. 2009, 57, 309-325.
- Bai, M.R.; Hsieh, Y.H. Point focusing using loudspeaker arrays from the perspective of optimal beamforming. The Journal of the Acoustical Society of America 2015, 137, 3393. [CrossRef]
- Zhao, S.; Qiu, X.; Burnett, I. Acoustic contrast control in an arc-shaped area using a linear loudspeaker array. The Journal of the Acoustical Society of America 2015, 137, 1036-1039.
- Gölles, L.; Zotter, F.; Merkel, L. Miniature line array for immersive sound reinforcement. In Proceedings of the Audio Engineering Society Conference: AES 2023 International Conference on Spatial and Immersive Audio, 2023.
- Pan, K.; Huang, J.; Cheng, J.; Shen, Y. Loudspeaker array beamforming for sound projection in a half-space with an impedance boundary. The Journal of the Acoustical Society of America 2023, 153, 1626-1636.
- Benesty, J.; Chen, J. Study and Design of Differential Microphone Arrays Springer-Berlin: Heidelberg,Germany, 2012.
- Chen, J.; Benesty, J.; Pan, C. On the design and implementation of linear differential microphone arrays. J. Acoust. Soc. Am 2014, 136, 3097-3113. [CrossRef]
- Pan, C.; Chen, J.; Benesty, J. Theoretical Analysis of Differential Microphone Array Beamforming and an Improved Solution. IEEE/ACM Transactions on Audio, Speech, and Language Processing 2015, 23, 2093-2105. [CrossRef]
- Pan, C.; Chen, J.; Benesty, J. Reduced-order robust superdirective beamforming with uniform linear microphone arrays. IEEE/ACM Transactions on Audio, Speech, Language Processing 2016, 24, 1548-1559.
- Zhao, L.; Benesty, J.; Chen, J. Design of robust differential microphone arrays with the Jacobi–Anger expansion. Applied Acoustics 2016, 110, 194-206. [CrossRef]
- Chen, Z.; Chen, H.; Tu, Q. Sensor Imperfection Tolerance Analysis of Robust Linear Differential Microphone Arrays. IEEE/ACM Transactions on Audio, Speech, and Language Processing 2021, 29, 2915-2929. [CrossRef]
- Wang, J.; Yang, F.; Hu, X.; Yang, J. Theoretical Analysis of Maclaurin Expansion based Linear Differential Microphone Arrays and Improved Solutions. IEEE/ACM Transactions on Audio, Speech, and Language Processing 2024, 1-14. [CrossRef]
- Wang, Y.; Yang, Y.; He, Z.; Ma, Y.; Li, B. Robust Superdirective Frequency-Invariant Beamforming for Circular Sensor Arrays. IEEE Signal Processing Letters 2017, 24, 1193-1197. [CrossRef]
- Huang, G.; Chen, J.; Benesty, J. Insights Into Frequency-Invariant Beamforming With Concentric Circular Microphone Arrays. IEEE/ACM Trans. Audio Speech Lang. Proc 2018, 26, 2305-2318. [CrossRef]
- Itzhak, G.; Benesty, J.; Cohen, I. Multistage approach for steerable differential beamforming with rectangular arrays. Speech Communication 2022, 142, 61-76. [CrossRef]
- Albertini, D.; Bernardini, A.; Borra, F.; Antonacci, F.; Sarti, A. Two-Stage Beamforming With Arbitrary Planar Arrays of Differential Microphone Array Units. IEEE/ACM Transactions on Audio, Speech, and Language Processing 2023, 31, 590-602. [CrossRef]
- Wang, J.; Yang, F.; Li, J.; Sun, H.; Yang, J. Mode matching-based beamforming with frequency-wise truncation order for concentric circular differential microphone arrays. The Journal of the Acoustical Society of America 2023, 154, 3931-3940. [CrossRef]
- Shi, Q.; Wang, J.; Yang, F.; Yang, J. A note on the design of frequency-invariant beamforming with uniform concentric circular microphone array. Applied Acoustics 2024, 217. [CrossRef]
- Wang, X.; Benesty, J.; Chen, J.; Huang, G.; Cohen, I. Beamforming with Cube Microphone Arrays Via Kronecker Product Decompositions. IEEE/ACM Transactions on Audio, Speech, and Language Processing 2021, 29, 1774-1784. [CrossRef]
- Itzhak, G.; Cohen, I. Differential constant-beamwidth beamforming with cube arrays. Speech Communication 2023, 149, 98-107. [CrossRef]
- Zhao, X.; Huang, G.; Chen, J.; Benesty, J. Design of 2D and 3D Differential Microphone Arrays With a Multistage Framework. IEEE/ACM Transactions on Audio, Speech, and Language Processing 2023, 31, 2016-2031. [CrossRef]
- Zhao, X.; Luo, X.; Huang, G.; Chen, J.; Benesty, J. Differential Beamforming with Null Constraints for Spherical Microphone Arrays. In Proceedings of the 2024 IEEE International Conference on Acoustics, Speech and Signal Processing (ICASSP), Seoul, Korea, 14-19 April 2024, 2024; pp. 776-780.
- Borra, F.; Bernardini, A.; Antonacci, F.; Sarti, A. Uniform Linear Arrays of First-Order Steerable Differential Microphones. IEEE/ACM Transactions on Audio, Speech, and Language Processing 2019, 27, 1906-1918. [CrossRef]
- Tu, Q.; Chen, H. On Mainlobe Orientation of the First- and Second-Order Differential Microphone Arrays. IEEE/ACM Transactions on Audio, Speech, and Language Processing 2019, 27, 2025-2040. [CrossRef]
- Jin, J.; Huang, G.; Wang, X.; Chen, J.; Benesty, J.; Cohen, I. Steering Study of Linear Differential Microphone Arrays. IEEE/ACM Transactions on Audio, Speech, and Language Processing 2021, 29, 158-170. [CrossRef]
- Yu, G. Eigenbeam-space transformation based steerable differential beamforming for linear arrays. Signal Processing 2023, 212. [CrossRef]
- Luo, X.; Jin, J.; Huang, G.; Chen, J.; Benesty, J. Design of Steerable Linear Differential Microphone Arrays With Omnidirectional and Bidirectional Sensors. IEEE Signal Processing Letters 2023, 30, 463-467. [CrossRef]
- Luo, X.; Jin, J.; Huang, G.; Chen, J.; Benesty, J. Design of Fully Steerable Differential Beamformers With Linear Superarrays. IEEE/ACM Transactions on Audio, Speech, and Language Processing 2024, 32, 3076-3089. [CrossRef]
- Choi, J.-W.; Kim, Y.; Ko, S.; Kim, J. A differential approach for the implementation of superdirective loudspeaker array. In Proceedings of the Audio Engineering Society Convention 128, London, UK., 2010.
- Kim, Y.-H.; Choi, J.-W. Sound visualization and manipulation; John Wiley & Sons: 2013.
- Choi, J.W. Generation of a Near-field Sound Zone Using Broadside Differential Array. In Proceedings of the 2021 Immersive and 3D Audio: from Architecture to Automotive (I3DA), Bologna, Italy, 08-10 Sept, 2021.
- Wang, J.; Zhang, W.; Pan, C.; Chen, J.; Benesty, J. On the design of differential loudspeaker arrays with broadside radiation patterns. JASA Express Letters 2021, 1, 084804. [CrossRef]
- Zhang, Y.; Mao, J.; Cai, Y.; Ye, C. Sound reproduction with a circular loudspeaker array using differential beamforming method. In Proceedings of the 2022 Asia-Pacific Signal and Information Processing Association Annual Summit and Conference (APSIPA ASC), Chiang Mai, Thailand, 2022; pp. 143-148.
- Miotello, F.; Bernardini, A.; Albertini, D.; Antonacci, F.; Sarti, A. Steerable First-Order Differential Loudspeaker Arrays with Monopole and Dipole Elements. In Proceedings of the Convention of the European Acoustics Association, Forum Acusticum, Turin, Italy, 2023; pp. 11-15.
- Zhang, Y.; Mao, J.; Cai, Y.; Ye, C.; Zhu, Q. Broadband frequency-invariant broadside beamforming with a differential loudspeaker array. In Proceedings of the 2023 31st European Signal Processing Conference (EUSIPCO), Helsinki, Finnland, 2023; pp. 1728-1732.
- Zhang, Y.; Wei, H.; Zhu, Q. Design of Robust Broadband Frequency-Invariant Broadside Beampatterns for the Differential Loudspeaker Array. Applied Sciences 2024, 14. [CrossRef]
- Grant, M.C.; Boyd, S.P. The CVX Users’ Guide; CVX Research, Inc.: 2020.
- Gradshteyn, I.S.; Ryzhik, I.M. Table of integrals, series, and products; Academic press: 2014.
- Bitzer, J.; Simmer, K.U. Superdirective microphone arrays. In Microphone arrays: Signal processing techniques and applications; Springer: 2001; pp. 19-38.
















Disclaimer/Publisher’s Note: The statements, opinions and data contained in all publications are solely those of the individual author(s) and contributor(s) and not of MDPI and/or the editor(s). MDPI and/or the editor(s) disclaim responsibility for any injury to people or property resulting from any ideas, methods, instructions or products referred to in the content. |
© 2024 by the authors. Licensee MDPI, Basel, Switzerland. This article is an open access article distributed under the terms and conditions of the Creative Commons Attribution (CC BY) license (http://creativecommons.org/licenses/by/4.0/).