Submitted:
29 August 2024
Posted:
01 September 2024
You are already at the latest version
Abstract
Keywords:
1. Introduction
2. Overview of the DC-SRF-II Photocathode Gun and the Beamline
3. Beam Aberration due to Multipole Fields
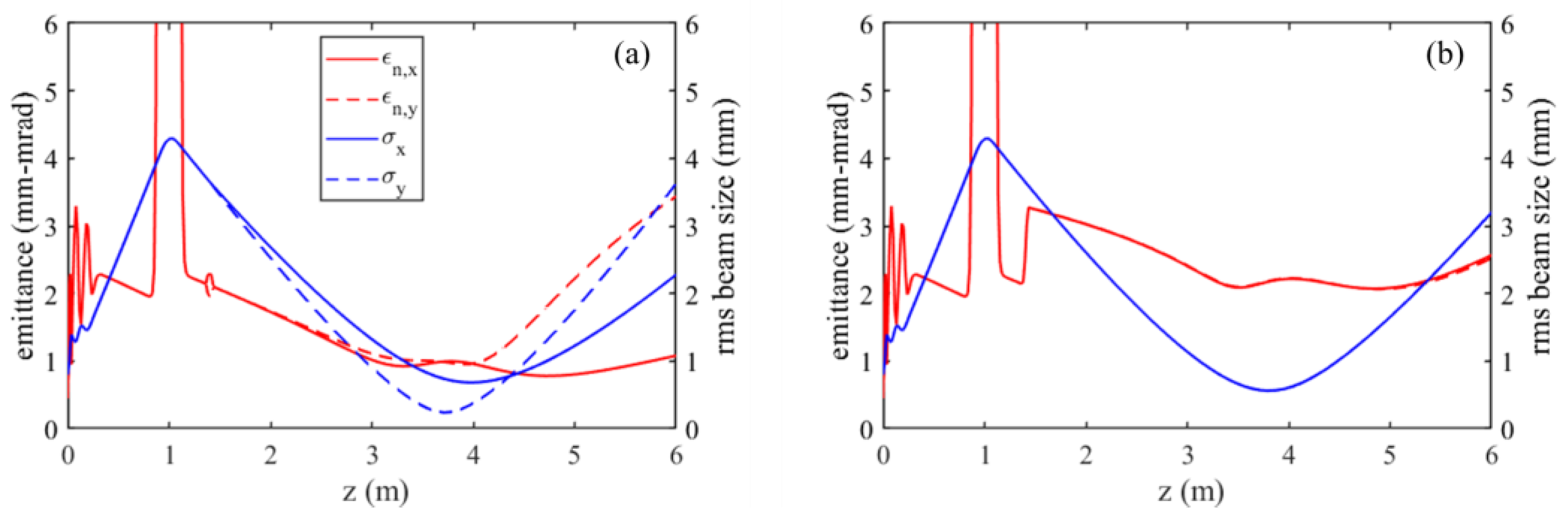
3.1. Emittance Growth and Beam Profile Evolution due to Multipole Fields
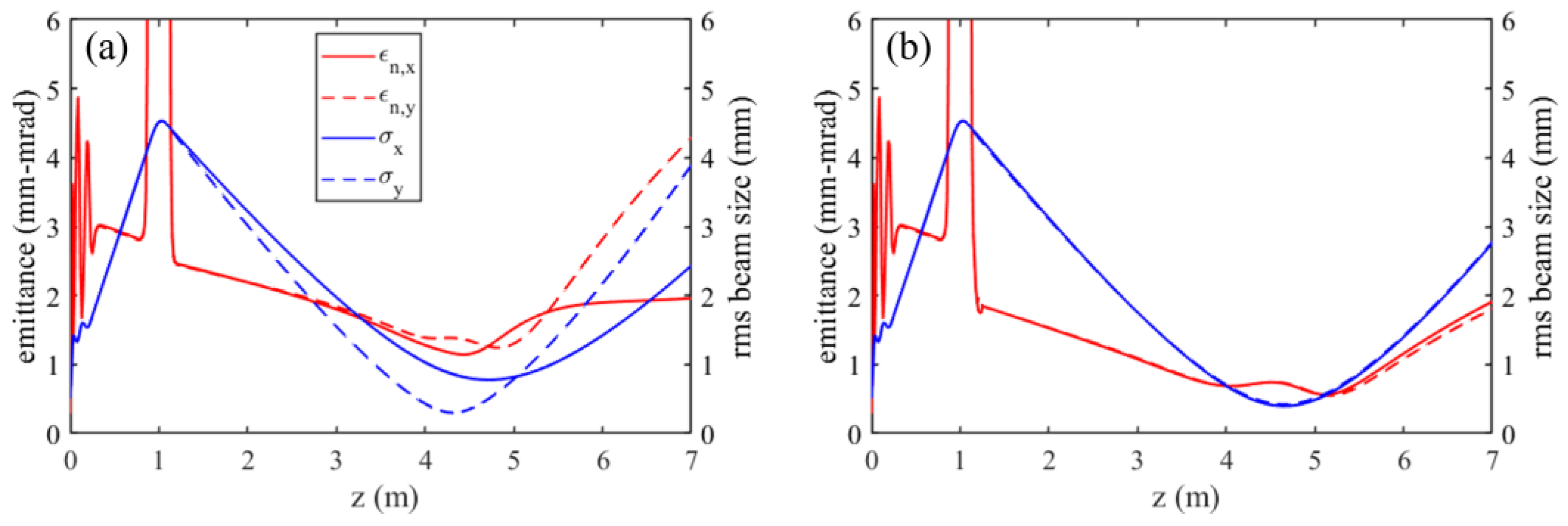
3.2. Simulation with Space-Charge Forces
4. Multipole Characterization and Correction
4.1. Equivalence of Distributed Multipole Fields
4.2. Simulation of Multipole Characterization and Correction
4.3. Experiments of Multipole Characterization and Correction
5. Conclusions
Author Contributions
Funding
Institutional Review Board Statement
Informed Consent Statement
Data Availability Statement
Acknowledgments
Conflicts of Interest
References
- Ackermann, W.; Asova, G.; Ayvazyan, V.; et al. Operation of a free-electron laser from the extreme ultraviolet to the water window. Nature Photonics 2007, 1, 336–342. [Google Scholar] [CrossRef]
- Emma, P.; Akre, R.; Arthur, J.; et al. First lasing and operation of an ångstrom-wavelength free-electron laser. Nature Photonics 2010, 4, 641–647. [Google Scholar] [CrossRef]
- Ishikawa, T.; Aoyagi, H.; Asaka, T.; et al. A compact X-ray free-electron laser emitting in the sub-ångström region. Nature Photonics 2012, 6, 540–544. [Google Scholar] [CrossRef]
- Kang, H.-S.; Min, C.-K.; Heo, H.; et al. Hard X-ray free-electron laser with femtosecond-scale timing jitter. Nature Photonics 2017, 11, 708–713. [Google Scholar] [CrossRef]
- Decking, W.; Abeghyan, S.; Abramian, P.; et al. A MHz-repetition-rate hard X-ray free-electron laser driven by a superconducting linear accelerator. Nature Photonics 2020, 14, 391–397. [Google Scholar] [CrossRef]
- Zhao, Z.; Wang, D.; Gu, Q.; et al. SXFEL: A Soft X-ray Free Electron Laser in China. Synchrotron Radiation News 2017, 30, 29–33. [Google Scholar] [CrossRef]
- Pellegrini, C. The development of XFELs. Nature Reviews Physics 2020, 2, 330–331. [Google Scholar] [CrossRef]
- Neil, G. R.; Bohn, C. L.; Benson, S. V.; et al. Sustained Kilowatt Lasing in a Free-Electron Laser with Same-Cell Energy Recovery. Physical Review Letters 2000, 84, 662–665. [Google Scholar] [CrossRef]
- Neil, G. R.; Behre, C.; Benson, S. V.; et al. The JLab high power ERL light source. Nuclear Instruments and Methods in Physics Research Section A: Accelerators, Spectrometers, Detectors and Associated Equipment 2006, 557, 9–15.
- Gulliford, C.; Bartnik, A.; Bazarov, I.; et al. Demonstration of low emittance in the Cornell energy recovery linac injector prototype. Physical Review Special Topics - Accelerators and Beams 2013, 16, 073401. [Google Scholar] [CrossRef]
- Hartemann, F. V.; Brown, W. J.; Gibson, D. J.; Anderson, S. G.; Tremaine, A. M.; Springer, P. T.; Wootton, A. J.; Hartouni, E. P.; Barty, C. P. J. High-energy scaling of Compton scattering light sources. Physical Review Special Topics - Accelerators and Beams 2005, 8, 100702. [Google Scholar] [CrossRef]
- Gibson, D. J.; Albert, F.; Anderson, S. G.; et al. Design and operation of a tunable MeV-level Compton-scattering-based γ-ray source. Physical Review Special Topics - Accelerators and Beams 2010, 13, 070703. [Google Scholar] [CrossRef]
- Ovodenko, A.; Agustsson, R.; Babzien, M.; et al. High duty cycle inverse Compton scattering X-ray source. Applied Physics Letters 2016, 109, 253504. [Google Scholar] [CrossRef]
- Deitrick, K. E.; Krafft, G. A.; Terzić, B.; Delayen, J. R. High-brilliance, high-flux compact inverse Compton light source. Physical Review Accelerators and Beams 2018, 21, 080703. [Google Scholar] [CrossRef]
- Li, R.; Tang, C.; Du, Y.; Huang, W.; Du, Q.; Shi, J.; Yan, L.; Wang, X. Experimental demonstration of high quality MeV ultrafast electron diffraction. Review of Scientific Instruments 2009, 80, 083303. [Google Scholar] [CrossRef]
- Weathersby, S. P.; Brown, G.; Centurion, M.; et al. Mega-electron-volt ultrafast electron diffraction at SLAC National Accelerator Laboratory. Review of Scientific Instruments 2015, 86, 073702. [Google Scholar] [CrossRef] [PubMed]
- Wu, J.; Tang, M.; Zhao, L.; et al. Ultrafast atomic view of laser-induced melting and breathing motion of metallic liquid clusters with MeV ultrafast electron diffraction. Proceedings of the National Academy of Sciences 2022, 119, e2111949119. [Google Scholar] [CrossRef]
- Galayda, J. N. The Linac Coherent Light Source-II Project. In Proceedings of the 5th International Particle Accelerator Conference, IPAC'14, Dresden, Germany, 15-20 June 2014.
- Zhao, Z. T.; Wang, D.; Yang, Z. H.; Yin, L. SCLF: An 8-GeV CW SCRF Linac-Based X-Ray FEL Facility in Shanghai. In Proceedings of the 38th International Free Electron Laser Conference, FEL'17,, Santa Fe, NM, USA, 20-25 August 2017.
- Sannibale, F. Overview of Electron Source Development for High Repetition Rate FEL Facilities. In Proceedings of the North American Particle Accelerator Conference, NAPAC’16, Chicago, IL, USA, 9-14 October 2016. [Google Scholar]
- Gulliford, C.; Bartnik, A.; Bazarov, I.; Dunham, B.; Cultrera, L. Demonstration of cathode emittance dominated high bunch charge beams in a DC gun-based photoinjector. Applied Physics Letters 2015, 106, 094101. [Google Scholar] [CrossRef]
- Nishimori, N.; Nagai, R.; Hajima, R.; Yamamoto, M.; Honda, Y.; Miyajima, T.; Uchiyama, T. Operational experience of a 500 kV photoemission gun. Physical Review Accelerators and Beams 2019, 22, 053402. [Google Scholar] [CrossRef]
- Janssen, D.; Büttig, H.; Evtushenko, P.; et al. First operation of a superconducting RF-gun. Nuclear Instruments and Methods in Physics Research Section A: Accelerators, Spectrometers, Detectors and Associated Equipment 2003, 507, 314–317.
- Teichert, J.; Arnold, A.; Ciovati, G.; et al. Successful user operation of a superconducting radio-frequency photoelectron gun with Mg cathodes. Physical Review Accelerators and Beams 2021, 24, 033401. [Google Scholar] [CrossRef]
- Petrushina, I.; Litvinenko, V. N.; Jing, Y.; et al. High-Brightness Continuous-Wave Electron Beams from Superconducting Radio-Frequency Photoemission Gun. Physical Review Letters 2020, 124, 244801. [Google Scholar] [CrossRef]
- Sannibale, F.; Filippetto, D.; Papadopoulos, C. F.; et al. Advanced photoinjector experiment photogun commissioning results. Physical Review Special Topics - Accelerators and Beams 2012, 15, 103501. [Google Scholar] [CrossRef]
- Wells, R. P.; Ghiorso, W.; Staples, J.; Huang, T. M.; Sannibale, F.; Kramasz, T. D. Mechanical design and fabrication of the VHF-gun, the Berkeley normal-conducting continuous-wave high-brightness electron source. Review of Scientific Instruments 2016, 87, 023302. [Google Scholar] [CrossRef]
- Sannibale, F.; Filippetto, D.; Qian, H.; Mitchell, C.; Zhou, F.; Vecchione, T.; Li, R. K.; Gierman, S.; Schmerge, J. High-brightness beam tests of the very high frequency gun at the Advanced Photo-injector EXperiment test facility at the Lawrence Berkeley National Laboratory. Review of Scientific Instruments 2019, 90, 033304. [Google Scholar] [CrossRef]
- Akre, R.; Dowell, D.; Emma, P.; et al. Commissioning the Linac Coherent Light Source injector. Physical Review Special Topics - Accelerators and Beams 2008, 11, 030703. [Google Scholar] [CrossRef]
- Krasilnikov, M.; Stephan, F.; Asova, G.; et al. Experimentally minimized beam emittance from anL-band photoinjector. Physical Review Special Topics - Accelerators and Beams 2012, 15, 100701. [Google Scholar] [CrossRef]
- Dowell, D. H.; Zhou, F.; Schmerge, J. Exact cancellation of emittance growth due to coupled transverse dynamics in solenoids and rf couplers. Physical Review Accelerators and Beams 2018, 21, 010101. [Google Scholar] [CrossRef]
- Zheng, L.; Shao, J.; Du, Y.; et al. Overestimation of thermal emittance in solenoid scans due to coupled transverse motion. Physical Review Accelerators and Beams 2018, 21, 122803. [Google Scholar] [CrossRef]
- Zheng, L.; Shao, J.; Du, Y.; et al. Experimental demonstration of the correction of coupled-transverse-dynamics aberration in an rf photoinjector. Physical Review Accelerators and Beams 2019, 22, 072805. [Google Scholar] [CrossRef]
- Bartnik, A.; Gulliford, C.; Bazarov, I.; Cultera, L.; Dunham, B. Operational experience with nanocoulomb bunch charges in the Cornell photoinjector. Physical Review Special Topics - Accelerators and Beams 2015, 18, 083401. [Google Scholar] [CrossRef]
- Schietinger, T.; Pedrozzi, M.; Aiba, M.; et al. Commissioning experience and beam physics measurements at the SwissFEL Injector Test Facility. Physical Review Accelerators and Beams 2016, 19, 100702. [Google Scholar] [CrossRef]
- Krasilnikov, M.; Isaev, I.; Amatuni, G.; et al. Electron Beam Asymmetry Compensation with Gun Quadrupoles at PITZ. In Proceedings of the 38th International Free Electron Laser Conference, FEL’17, Santa Fe, NM, USA, 20-25 August 2017. [Google Scholar]
- Dowell, D. H. Correcting emittance growth due to stray sextupole fields. arXiv:1810.00086, arXiv:1810.00086.
- Gordon, M.; Li, W. H.; Andorf, M. B.; et al. Four-dimensional emittance measurements of ultrafast electron diffraction optics corrected up to sextupole order. Physical Review Accelerators and Beams 2022, 25, 084001. [Google Scholar] [CrossRef]
- Liu, Y. Q.; Chen, M.; Huang, S.; Lin, L.; Liu, K. X.; Quan, S. W.; Wang, F.; Zhao, S. Engineering Design of Low-Emittance DC-SRF Photocathode Injector. In Proceedings of the 39th International Free Electron Laser Conference, FEL'19,, Hamburg, Germany, 26-30 August 2019.
- Zhao, S.; Huang, S.; Lin, L.; Liu, Y.; Jia, H.; Qin, W.; Quan, S.; Liu, K. Longitudinal phase space improvement of a continuous-wave photoinjector toward X-ray free-electron laser application. Nuclear Instruments and Methods in Physics Research Section A: Accelerators, Spectrometers, Detectors and Associated Equipment 2021, 1018, 165796. [Google Scholar] [CrossRef]
- Jia, H.; Li, T.; Wang, T.; et al. High Performance Operation of a Direct-Current and Superconducting Radio-Frequency Combined Photocathode Gun. arXiv:2406.00659, arXiv:2406.00659.
- Tan, T.; Jia, H.; Zhao, S.; et al. Sub-micron normalized emittance measurement for a MeV continuous-wave electron gun. Nuclear Instruments and Methods in Physics Research Section A: Accelerators, Spectrometers, Detectors and Associated Equipment 2023, 1045, 167552.
- CST Studio suite computer simulation technology, http://www.cst.com/.
- General Particle Tracer, http://www.pulsar.nl/gpt/.
- Carlsten, B. E. New photoelectric injector design for the Los Alamos National Laboratory XUV FEL accelerator. Nuclear Instruments and Methods in Physics Research Section A: Accelerators, Spectrometers, Detectors and Associated Equipment 1989, 285, 313–319.
- Serafini, L.; Rosenzweig, J. B. Envelope analysis of intense relativistic quasilaminar beams in rf photoinjectors: A theory of emittance compensation. Physical Review E 1997, 55, 7565–7590. [Google Scholar] [CrossRef]
















| Parameters | Values | Units |
| Charge | 20 | pC |
| Laser duration (FWHM) | 34 | ps |
| Laser size (RMS) | 0.38 | mm |
| DC voltage | 100 | kV |
| RF peak field on axis | 21.7 | MV/m |
| Beam energy | 2.35 | MeV |
Disclaimer/Publisher’s Note: The statements, opinions and data contained in all publications are solely those of the individual author(s) and contributor(s) and not of MDPI and/or the editor(s). MDPI and/or the editor(s) disclaim responsibility for any injury to people or property resulting from any ideas, methods, instructions or products referred to in the content. |
© 2024 by the authors. Licensee MDPI, Basel, Switzerland. This article is an open access article distributed under the terms and conditions of the Creative Commons Attribution (CC BY) license (http://creativecommons.org/licenses/by/4.0/).