Preprint
Article

This version is not peer-reviewed.

Aurelia aurita as a Model for Assessing Food Additives: Comparative Results Across Trophic Levels

Submitted:

16 August 2024

Posted:

21 August 2024

You are already at the latest version

Abstract
The industry currently generates numerous substances, such as food additives, whose environmental impacts, particularly in marine environments, remain inadequately assessed. This study employs Aurelia aurita for the first time as a model organism to evaluate the toxicity of such compounds. For this, the main goal is to evaluate the toxicity of two food additives, 2-Methyl-1Phenylpropan-2-ol (S1) and 1-Phenylethan-1-ol (S2), on A. aurita ephyrae, comparing the results with other organisms representing different trophic levels, specifically the alga Phaeodactylum tricornutum and the crustacean Artemia salina. Acute toxicity tests were conducted on each organism. Mortality rates were measured for Artemia, growth inhibition for the algae, and mortality and pulsation frequency for ephyrae. LC50 values were determined using probit regression analysis with R software. Tests for algae and Artemia followed ISO guideline and international standardized protocols. For A. aurita, a modified protocol by Mercado et al. (2023) was used. The tested additives showed a toxicity around 600 mg/L for A. salina. For the algae, S1 was significantly more toxic (LC50 ≈ 100 mg/L) compared to S2 (LC50 ≈ 450 mg/L). Similarly, in A. aurita, S1 exhibited high toxicity (LC50 ≈ 10 mg/L) while S2 had a lower toxicity (LC50 ≈ 80 mg/L). Pulsation frequency data for A. aurita revealed that S1 initially increased pulsation rates at lower concentrations (maximum at 10 mg/L), followed by a significant decrease at higher concentrations. Conversely, S2 showed a steady decrease in pulsation rates up to 10 mg/L, with a slight increase at concentrations of 15, 20, and 25 mg/L. The results demonstrate varying sensitivity to the toxic effects of the two compounds across different trophic levels, with A. aurita ephyrae being the most sensitive. This suggests the potential efficacy of jellyfish as novel ecotoxicological models due to their heightened sensitivity, enabling detection of lower contaminant concentrations in test samples. Further research is required to enhance the efficiency of ecotoxicological assays using these models.
Keywords: 
;  ;  ;  ;  

1. Introduction

The 21st century is marked by exponential growth in industrial and technological development, leading to a significant increase in the production and use of chemical compounds. This, coupled with the unsustainable rise in the global human population, has resulted in a concerning consequence: the excessive increase of anthropogenic pollutants in the environment [1]. Among these pollutants, chemical additives stand out, which are widely used across various industrial and domestic sectors [2].
Additives are compounds designed to control potentially harmful organisms such as bacteria, fungi, algae, and insects among other applications. They are present in everyday products such as pesticides, herbicides, disinfectants, and preservatives, and are used in various fields including agriculture, human medicine, veterinary medicine, the food industry, and environmental management. All of them are also used to improve the physical, chemical, or biological properties of different products. They are found as we mentioned earlier in food, cosmetics, plastics, and many other daily-use items [3].
Modern additives are designed to target specific organisms; however, they often are toxic to many other living organisms that are not the intended target. Moreover, the target organisms often coexist in their natural habitat with other more sensitive species [4]. Chemical additives can have carcinogenic, toxic, or endocrine-disrupting properties. Additionally, some of them are not biodegradable, posing a danger to the environment in cases of emissions, spills, and leaks [5].
The marine ecosystems are probably the most affected ecosystems by the current concerning situation, due to the incessant increase in anthropogenic pressure, resulting from the increased release of new pollutants through various activities, many of which are directly discharged into seas and oceans, in addition to indirect emissions such as pollutant discharges into non-endorheic river basins. In this context, which poses a serious threat to the biodiversity and functionality of these systems both locally and globally, the lack of adequate infrastructure for wastewater treatment and irresponsible disposal of industrial and urban waste are key factors in the accumulation of this pollution in the waters [6,7]. When these substances enter the waters, due to their high resistance to biodegradation, they disperse through seas and oceans, not limited to direct discharge areas, but also transported over long distances by ocean currents [8]. Furthermore, the accumulation of chemicals and biocides in marine sediments and water columns has emerged as a critical problem, with potentially severe impacts endangering the health of multiple organisms and disrupting marine ecosystems [9]. Moreover, there is growing concern about the secondary effects of these chemicals on human health, especially through bioaccumulation and biomagnification in the marine food chain [3].
Due to the presence and potential impact of marine pollutants on both humans and wildlife, the importance of monitoring and testing the fate and effects of these chemicals has long been recognized [10,11]. This is one of the main goal of ecotoxicology assays. However, in ecotoxicology there is always an urgent need to identify new model organisms for their use in the development of sensitive and reliable test methods for laboratory testing. Gelatinous zooplankton are not typically included in routine ecotoxicological studies, despite the growing recognition over the past few decades of their crucial role in maintaining the balance of marine ecosystems.
Jellyfish, which form part of this gelatinous zooplankton, play a critical role in marine ecosystems by preying on planktonic organisms such as crustaceans, copepods, and fish larvae. They, in turn, are consumed by species like sea turtles, sunfish, and seabirds. As predators, jellyfish can significantly alter plankton composition and affect fishery yields through dietary overlap and direct predation. Jellyfish blooms are episodic events driven by complex physical, behavioral, and physiological processes, often exacerbated by human activities like overfishing, eutrophication, and changes in estuarine circulation. These factors have prompted the exploration of using the ephyra stage of the Scyphozoan jellyfish Aurelia aurita (common moon jellyfish) as an innovative model organism in marine ecotoxicology [12].
Given the reasons mentioned above, the ephyrae of A. aurita have been selected to test the compounds 2-Methyl-1-Phenylpropan-2-ol (S1) and 1-Phenylethan-1-ol (S2), which are commonly used as additive in the food industry as well as in the perfume industry. To compare the effects and sensitivity of these food additives on scyphomedusae, the compounds will also be tested on two additional marine organisms, Phaeodactylum tricornutum (diatom) and Artemia salina (crustacean). The primary objective of these assays is to evaluate the toxicity of the tested compounds in marine invertebrates and their potential impact on the marine food chain.

2. Materials and Methods

To evaluate the toxicity of the tested substances, an acute toxicity test will be conducted. This method involves exposing test organisms to varying doses of the substance over a short duration, typically 24, 48, and/or 72 hours. Following this exposure period, the survival, mortality and other parameters like the pulsation frequency for A. aurita will be recorded, in order to calculate the lethal concentration 50 (LC50), which represents the concentration of the compound that affects 50% of the test organisms [13]. The LC50 value will be expressed as the weight of the substance per unit volume (mg/L or ppm). A lower LC50 value indicates higher toxicity, signifying that the species is more sensitive to the tested compound. To ensure standardization of the toxicity assays, specific protocols as outlined in the ISO (International Standarization Organisation) guidelines for various species will be followed for A. salina and P. tricornutum. For A. aurita will be used the methodology proposed by Faimali et al. (2014) and Mercado et al. (2023) [12,14].

2.1. Artemia salina Acute Test

The assay was based in the commercial Artoxkit M™ (Microbiotests Inc., Gent, Belgium). and conducted according its standard operational procedure. All tests used cysts from a single batch. Artificial seawater was prepared using the preconcentrated media supplied with the kit. This water was used for the incubation of the cysts, the dilution of the compounds, and the execution of the toxicity assays. All tests were conducted with Artemia nauplii at the instar II-III stage, aged between 24 to 48 hours post-hatching. A small quantity of cysts was placed in a beaker with standard saline water at 25 °C and incubated in a chamber at 25 °C (± 2 °C) for 30 hours, ensuring continuous aeration via an air stone and constant illumination provided by a 4000-lux growth lamp.
Serial dilutions of the test compounds were prepared in the artificial seawater in concentration series of 1000, 700, 500, 300, and 100 ppm. Depending on the initial test results, further dilutions or new concentrations were prepared to achieve mortality results close to the LC50, thus aiming for more precise results. Once the different concentrations of the compounds were prepared, they were placed in 24-well microplates (Nunc®) with a capacity of 3 mL per well. The plates were covered to prevent evaporation and sealed with Parafilm™ to ensure airtightness. One plate was used for each compound, and a control blank was included for each plate.
Each well was filled with 1 mL of dilution, using the first two wells as washing wells to avoid over-diluting the sample and thus minimize errors when transferring the Artemia nauplii to the plates. Twenty nauplii were added to each concentration using a transfer pipette and incubated at 25 °C (± 2 °C) in darkness for 24 hours. After this period, an initial mortality count was conducted using a binocular magnifying glass, followed by a subsequent incubation period to reach 48 hours, at which point a second mortality count was performed. In all cases, control mortality did not exceed 10%.

2.2. Phaeodactylum Tricornutum Acute Test

The assay was conducted following the Marine Algaltoxkit™ protocol by Microbiotests Inc. (Gent, Belgium), designed according to the ISO 10253:2017 guideline. The kit includes all necessary materials for the assays, including vials with the inoculum of Phaeodactylum tricornutum, which were stored at +5 °C (± 2 °C) in darkness until use. Algal growth medium was prepared from the pre-concentrates provided in the kit (final concentrations in the medium: NaCl 6.4 g/L, KCl 840 mg/L, CaCl2·2H2O 1670 mg/L, MgCl2·6H2O 4600 mg/L, MgSO4·7H2O 5580 mg/L, NaHCO3 170 mg/L, H3BO3 30 mg/L). This medium was enriched with a nutrient solution provided in the kit to facilitate algal growth. The medium was used for incubation, compound dilution, and toxicity testing. Prior to the assay, a pre-incubation of the Phaeodactylum tricornutum inoculum was conducted. The 25 mL vial was emptied into a 50 mL beaker, and the vial was rinsed twice with 7.5 mL of the medium to retrieve as much inoculum as possible. The beaker was sealed with Parafilm® and the final 40 mL dilution was incubated for 72 hours at 20 °C (± 2 °C) under 4000 lux illumination as specified by the ISO standard. After the incubation period, measurements were taken with a benchtop UV/VIS spectrophotometer (Jenway™ model 6305) at 670 nm using 100 mm glass cuvettes, ensuring a 10-second agitation prior to measurement, confirming a cell concentration of 1·106 cells/mL. With the culture at the required density, 75 mL Erlenmeyer flasks were used, each containing 50 mL of the toxicant dilution and algal inoculum to achieve an initial density of 1·10⁴ cells/mL.
Serial dilutions of the toxicants were prepared in the artificial seawater for algal growth, with concentration series of 500, 250, 125, 62.5, and 31.25 mg/L Based on the initial test results, further dilutions or concentrations were adjusted to achieve mortality results close to the LC50, aiming for more precise outcomes.

2.3. Aurelia aurita Acute Test

As we mentioned earlier, this assay is an adaptation of the guidelines from the protocol by Faimali et al. (2014) and Mercado et al. (2023) [12,14]. The ephyrae of A. aurita were supplied by the Oceanogràfic of Valencia (Valencia, Spain). They were used 24 hours post-strobilation; thus, no prior preservation was necessary. All tests utilized ephyrae generated from the same polyp population and within the same size range (see Figure 1).
Dilutions were prepared based on the LC50 values obtained from A. salina assays. However, due to the high sensitivity of A. aurita to the compounds, lower concentrations (below 50 mg/L) were tested 50, 25, 15, 10 and 2 mg/L. The dilutions were tested using 20 mL capacity cell culture multiwell plates with lids to prevent evaporation. The plates were sealed with Parafilm® to ensure airtightness and prevent salinity variations. Each well was filled with 10 mL of the compound dilution, and two ephyrae were transferred to each well. The wells were sealed with Parafilm® and maintained in a thermostatic refrigerator at 20 °C (± 2 °C) under dark conditions.
After 24 and 48 hours two parameters were evaluated: On one hand, the pulsation frequency. Defined as the number of pulsations performed by an ephyra within a defined time unit (60 seconds) and measured as the percentage alteration of pulsations compared to the control. On the other hand, the mortality rate being the percentage of ephyrae mortality at each concentration relative to the control.
Finally, a Probit analysis was performed on the obtained data to determine the LC50 and LC10 values [15].

2.4. Tested Additives

Both additives were provided by Enamine Ltd (Latvia) with a certified purity of 95%. To ensure the stability of the compounds across time and concentrations, the prepared dilutions were analyzed using high performance liquid chromatography (HPLC) as Chen et al. (2014) and Trenholm et al. (2008) suggested [16,17]. Main chemical characteristics are presented in Table 1.
The compound S1 (2-Methyl-1-phenylpropan-2-ol) has demonstrated functionalities as a food additive, cleaning product, and in perfumery. Currently, despite being considered a toxic compound in cases of inhalation and ingestion in humans (H322 and H302), it is in the process of registration under the ecotoxicity section of the REACH regulation, due to insufficient and inconclusive information for classification and, therefore, authorization. Currently, there is no consensus on the classification of compound S1. According to Article 10 of REACH, ECHA records indicate that it is synthesized or imported into the EU in quantities between 10 to 100 tonnes per year and its use in food, medicines, pesticides, or biocidal products is not recommended.
The compound S2 (1-Phenylethan-1-ol) as we mentioned above, was designed as an additive for perfumes, cleaning products, cosmetics, and pharmaceuticals, according to ECHA.
The toxicity ranges selected for classifying the degree of toxicity for the three models were chosen based on the Regulation (EC) No 1272/2008 on the classification, labelling and packaging of substances and mixtures (CLP Regulation). The EC50 values were ranked into four toxicity categories (cat): cat 1, high toxic substances with E(L)C50 ≤ 1 mg/L; cat 2, from >1 to ≤ 10 mg/L (medium toxicity); cat 3, from >10 to ≤ 100 mg/L (low toxicity); and cat 4 for non-toxic substances with E(L)C50 >100 mg/L. This classification has already been used by other authors in similar studies [18]. Results were summarized in Table 2.

2.5. Environmental Risk Assesment (ERA)

The environmental risk characterization for chemicals in the EU relies on the ratio of the predicted environmental concentration (PEC) to the predicted no-effect concentration (PNEC). This approach is detailed in the guidance on information requirements and chemical safety assessment (ECHA, 2008) and formalized within the European Union System for the Evaluation of Substances (EUSES) (EU, 2008) [19,20]. Considering the environmental concentrations, we assess the risk following the mentioned approach. The PNECs were calculated from the LC10 values using an assessment factor of 1000. This analysis could be considered as a firsts approach for the environmental risk assessment [21].

3. Results

The toxicity assay results revealed distinct sensitivity levels among the three tested organisms. The LC50 values were determined for each species, providing insight into their respective tolerances to the compounds studied. The LC50 for A. salina was calculated at 577.90 mg/L for the S1 and 623.30 mg/L for the S2, while P. tricornutum exhibited an LC50 of 89.0 mg/L and 452.9 mg/L for the S1 and S2 respectively. Notably, A. aurita showed the highest sensitivity with an LC50 of 2.5 mg/L for the S1 and 77 mg/L. These findings highlight the varying toxicological impacts on different marine organisms. The different concentrations of each additive tested with HPLC remained constant over time, ensuring that the amount of the studied compound was as calculated. This consistency confirms the reliability of the measured concentrations throughout the study.
The results of the analysis of variance (ANOVA) showed in Table 3 indicated that there are significant differences in the LC50 among the three tested organisms for the S1 and S2 compounds (p < 2e-16). The sum of squares (Sum Sq) and the mean squares (Mean Sq) for the Organism factor were high for both additives while mean square was close to 0. These results suggest that the observed differences in LC50 among the organisms are not due to chance, with a highly significant p-value (p < 0.001).
As shown in Figure 2, the LC50 values for three model species exposed to the additives, higlights the highest sensitivity of A. aurita to both additives, demonstrating the lowest LC50 values. In contrast, A. salina showed the least sensitivity, with the highest LC50 values among the three species. On the contrary, P. tricornutum exhibited intermediate sensitivity. These findings indicate that the jellyfish is the most vulnerable to the toxic effects of the additives, whereas crustacean is the most resistant.
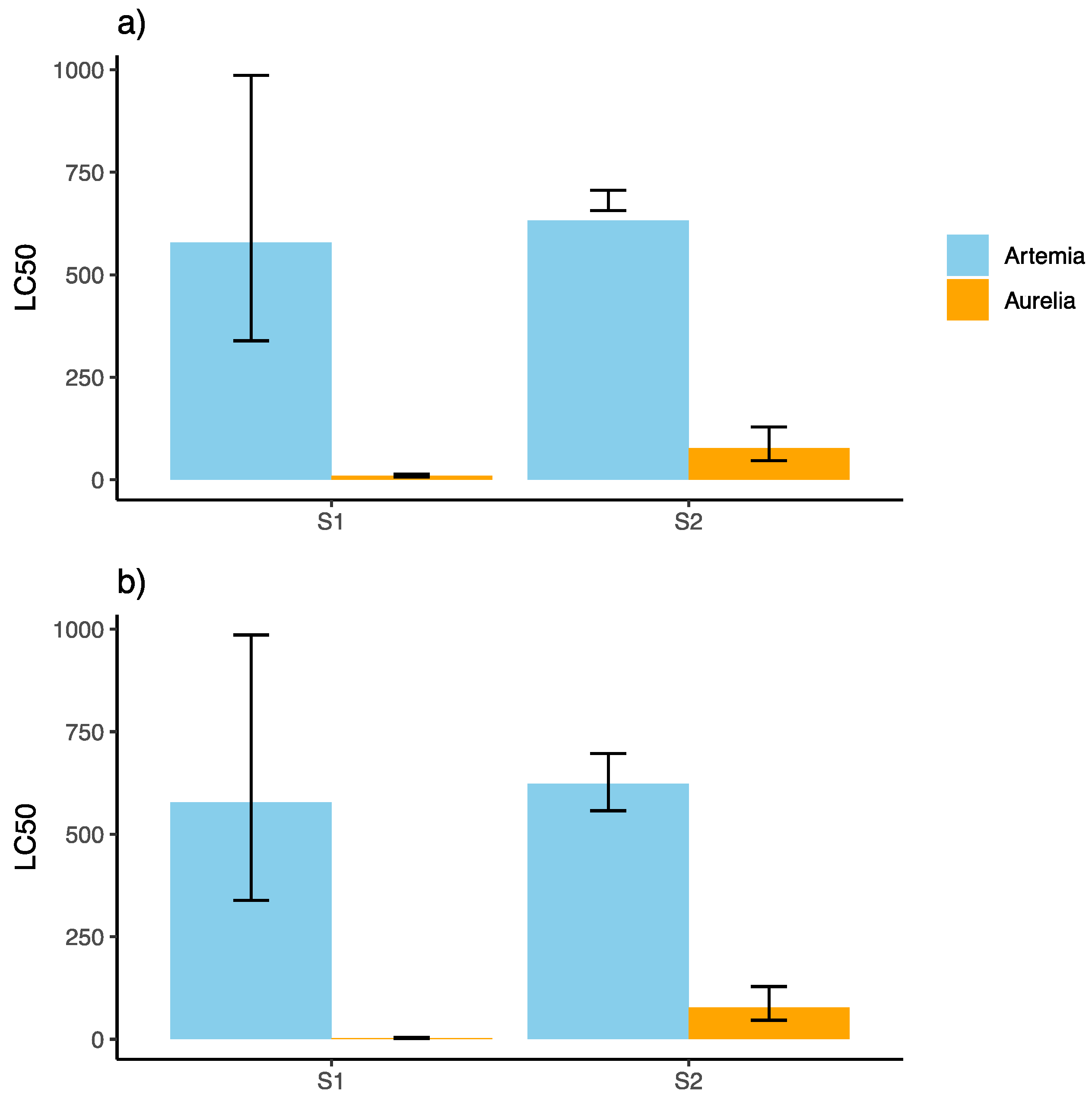
Comparing the effects of the compounds on the two-model species, A. salina and A. aurita, at exposure times of 24 and 48 hours shows no differences between the 24-hour and 48-hour time points for both compounds in each organism. This indicates that the toxic effects of the compounds are primarily observed within the first 24 hours of exposure. Therefore, the toxic effects of the compounds are established predominantly within the initial 24-hour period, and prolonging exposure to 48 hours does not significantly alter the toxicity (Figure 3).
However, the LC50 values for P. tricornutum were not compared to the 24 and 48-hour LC50 values of A. salina and A. aurita because the testing protocol for the algal species uses a 72-hour endpoint. Consequently, the effect of time was not considered for the algae in this study. The protocol's focus on a 72-hour exposure period for algae precluded a direct comparison with the shorter exposure times used for the other species.
According to the adapted classification, the species that experienced some level of toxicity from both compounds was A. aurita, while the studied alga showed toxicity to compound S1. In contrast, for the crustacean A. salina, neither of the two compounds showed toxicity (see Table 2 and Table 4).
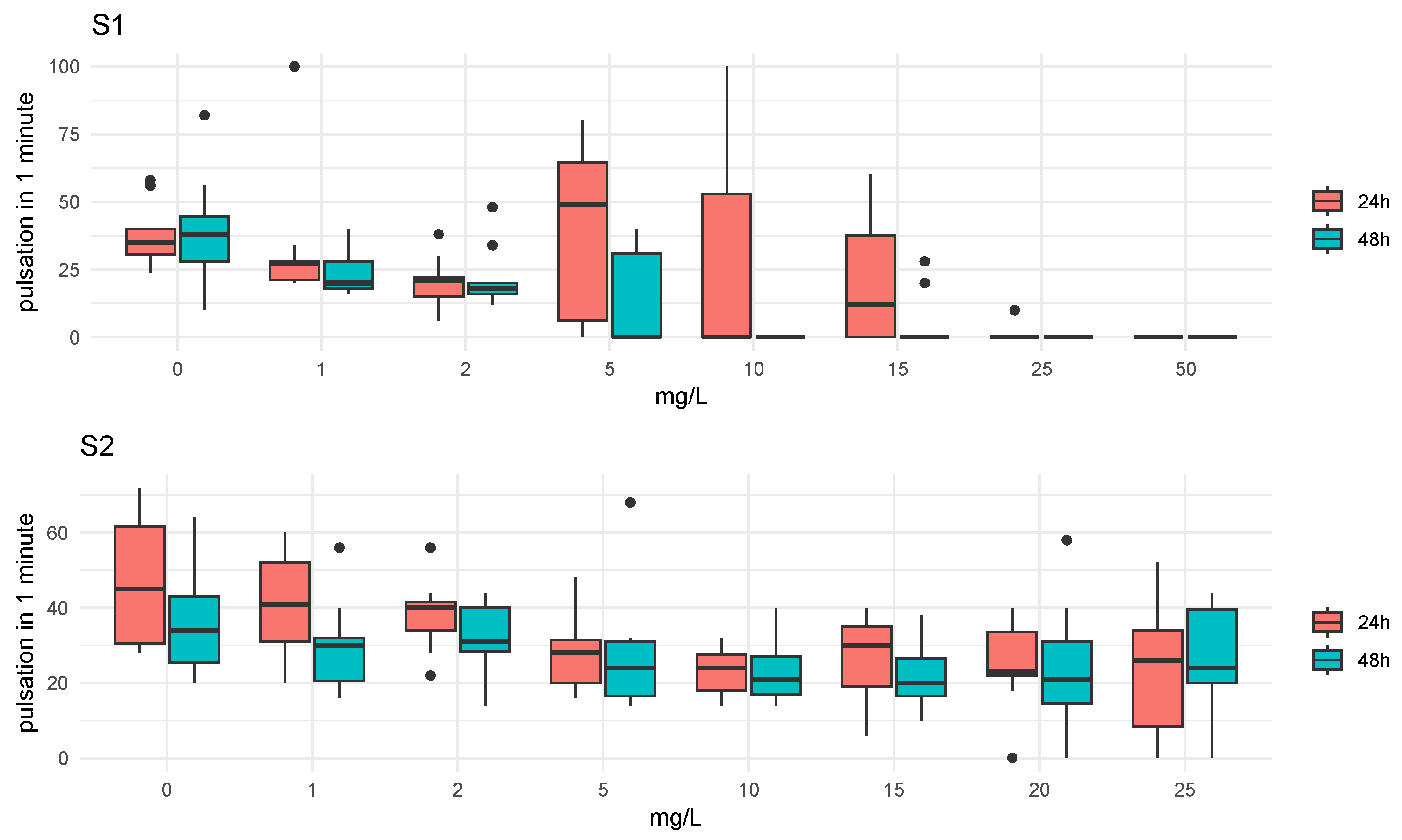
The analysis of the pulsation rate (pr) in relation to each concentration and exposure time for compounds S1 and S2 is illustrated in the boxplot diagrams (Figure 4). For compound S1, differences in were observed between different concentrations at both 24 hours and 48 hours of exposure. The medians of pr exhibit a decreasing trend with increasing concentrations reaching de minimum values from concentrations above 5 mg/L. Similarly, for compound S2, notable differences were detected between various concentrations over the two exposure times, with the pr generally declining as concentration increases. The ANOVA test results recorded in Table 4, indicate that both concentration and time have significant main effects. Specifically, the concentration factor showed a highly significant effect (F = 13.059, p < 0.001), suggesting that variations in concentration lead to substantial differences in the outcome. Similarly, time had a significant impact (F = 14.133, p < 0.001), indicating that changes over time significantly affect the dependent variable. However, the interaction between concentration and time was not significant (F = 0.954, p = 0.472), implying that the combined effect of these two factors does not differ significantly from the effects of each factor individually. This analysis underscores the importance of both concentration and time in influencing the results, while suggesting that their interaction does not contribute additional variance in the dependent variable.
Table 5. Analysis of variance for the pulsation rate.
Table 5. Analysis of variance for the pulsation rate.
Df Sum Sq Mean Sq F value Pr(>F)
Concentration 8 29191 3649 13.059 <4.08 10 16 * * *
Exposure time 1 3949 3949 14.133 0.000205 ***
Concentration:time 8 2134 267
0***  0.001**    0.01*  0.05.

4. Discussion

The compound S1 is recognized for its established applications as a food additive, cleaning product, and fragrance ingredient. Currently, despite being classified as toxic upon inhalation and ingestion in humans (H322 and H302) [22]. it is undergoing registration under the ecotoxicity section of the REACH regulation due to a lack of sufficient and conclusive information for a definitive classification and authorization . In our study, the tests conducted suggests that S1 could be classified as "Low toxic" to P. tricornutum and "Medium-toxic" to A. aurita. However, A. salina was not affected by this compound. These results highlight that the toxicity of S1 is highly dependent on the susceptibility of individual species, suggesting we can be underestimating the toxicity of this additive if only is tested with the more resistant organisms. For small mammals such as rats and guinea pigs, the LD50 ranges from 980 to 1300 mg/L, which is higher than the concentrations recorded for invertebrates [22]. As other authors have noted in their works, our findings support the need for more comprehensive ecotoxicity studies assessing organisms from different trophic levels within the food chain [23,24]. As we have previously mentioned, there is a possibility that we have underestimated the toxic potential of certain compounds, such as the studied additives, which are currently present in the marine environment and ecosystems in general.
On the contrary for compound S2 there are several studies related with. It has demonstrated varying levels of toxicity across different organisms and this is supported by our tests results. For A. aurita, the LC50 value was found to be 77 mg/L, indicating “Low toxic”. In contrast, S2 was “Non-toxic” to A. artemia and P. tricornutum, with LC50 values of 623 mg/L and 452 mg/L, respectively. However, other researchers reported LC50 values of 100 mg/L and 345 mg/L in the fish species Danio rerio and Leuciscus idus. For invertebrates, the mean LC50 value was 45.3 mg/L, while cyanobacteria exhibited a mean LC50 value of 200 mg/L. Notably, a separate study involving P. tricornutum recorded an LC50 value of 257.14 mg/L, which is significantly lower than our finding of 452 mg/L [25].This substantial difference in the toxicity values for the additive suggests that there are species-specific and methodological factors influencing the outcomes.
Considering that the additive S2 is an intermediate product in the petrochemical industry, with concentrations in wastewater ranging from 114 to 237 mg/L, the importance of establishing toxicity limits becomes even more critical (see Figure 5). The use of 1-phenylethanol in the perfume industry, coupled with its presence as an intermediate in the petroleum industry, increases the possibility to be present in the marine environment [26,27,28,29]. The discrepancies about its toxicity highlight the necessity of establishing standardized toxicity limits for better classification and assessment of substance toxicity in marine environments. A comprehensive evaluation encompassing a diverse array of marine organisms is crucial for accurately determining the ecological risks posed by chemical compounds like S2. Following the precautionary principle, the release of this compound into the environment should be restricted or minimized until definitive results are obtained.
From a chemical standpoint, both compounds have a phenyl group attached to a carbon chain with alcohol groups as substituents. The difference between them is that S2 has the phenyl and alcohol groups attached to the same carbon atom (C1 of the ethane). On the other hand, S1 has the substituents attached to adjacent atoms (phenyl group on C1 of the propane and alcohol group on C2). The proximity of the electron-donating alcohol group to the aromatic ring may reduce the reactivity of compound S2. In contrast, in compound S1, the alcohol group being further away from the phenyl group has a lesser effect on the reactivity of the phenyl group. Therefore, a priori we can reason that compound S1 is more reactive than compound S2. And thus, our data support that S1 is more toxic compared to the S2 compound.
The analysis of ERA reveals that S2 compound, the Hazard Quotient (HQ) values are significantly greater than 1, indicating a high risk to the environment [19,20,21]. Nevertheless, we have used the PEC from Dao et al. (2014) [27] which estimated the concentration from a pretreatment wastewater and thus, we can assume less concentration in the marine environment. Given the potential environmental impact of these compounds, it is crucial to further study their reactivity and toxicity. Understanding these properties is essential to ensure the environmental health of our ecosystems, as even slight variations in chemical behavior could lead to significant ecological consequences. Continued research in this area will help mitigate any potential risks these compounds may pose.
Table 5. Data from ERA analysis.
Table 5. Data from ERA analysis.
Organism LC10 (mg/L) Average PEC (mg/L)* PNEC (mg/L)** HQ (PEC/PNEC)
A. salina 140.9 175.5 0.1409 1266.85
P. tricornutum 28.8 175.5 0.0288 6232.63
A. aurita 22 175.5 0.022 8204.54
*Data obtained from Dao et al. (2014)[27] 237-114 mg/L of S2. ** PNEC calculated using assessment factor of 1000.
In any case, both additives have exhibited toxic effects on the secondary consumer model A. aurita. It is crucial to consider these findings for the protection of our marine ecosystems. As highlighted in several studies, there is a direct correlation between trophic diversity and the diversity of ecosystem services. Therefore, the loss of secondary consumers due to underestimation of the effects of any pollutant or compound in our biosphere may result in the loss of intermediate trophic levels and, consequently, the degradation of ecosystem services.
To better understand the toxic effects of these additives or any other compound, we have explored the potential of using the scyphozoan A. aurita as a model for ecotoxicology assays. As noted by Faimaly et al. (2014), A. aurita was more sensitive to Sodium Dodecyl Sulphate than A. salina, Amphibalanus, and Americamysis [12]. Additionally, Mercado et al. (2023) further supports the work of Faimaly by testing the potential of A. aurita as a new model for ecotoxicology [14].

5. Conclusions

Our study has demonstrated that 2-Methyl-1-phenylpropan-2-ol (S1) is toxic or medium-toxic to the alga P. tricornutum and the scyphozoan A. aurita, but not to A. salina. In contrast, 1-Phenylethan-1-ol (S2) was only toxic to the cnidarian and non-toxic to the other two organisms. In both cases, the scyphozoan proved to be the most sensitive organism, corroborating findings from previous studies. This suggests that A. aurita could serve as an important model for toxicity testing with secondary consumers, enhancing assay sensitivity and preventing the underestimation of the toxic potential of substances. Therefore, our work supports the validity of the ephyras as a model for toxicity assays.
Additionally, our results highlight the urgent need to establish universal toxicity criteria to reduce the environmental impact of industrial substances that enter wastewater and subsequently the marine environment. Implementing these criteria is crucial for better protecting marine ecosystems from potentially harmful chemicals.

Author Contributions

Conceptualization, B.M., L.R-P. and O.A-S.; methodology, B.M., L.R-P., N.D-G. and O.A-S.; validation, B.M., R.B-H. and O.A-S.; biological assays, B.M., B.V. and O.A-S; chemical analysis, N.D-G.; investigation and resources, B.M., B.V. and O.A-S; data curation, B.M., L.R-P., N.D-G., R.B-H. and O.A-S ; writing—original draft preparation, B.M., L.R-P. and O.A-S.; writing—review and editing and visualization, B.M., L.R-P., N.D-G., R.B-H. and O.A-S.; supervision, B.M. and O.A-S. All authors have read and agreed to the published version of the manuscript.

Funding

This research received no external funding

Institutional Review Board Statement

Not applicable.

Informed Consent Statement

Not applicable.

Data Availability Statement

O.A-S. (Ph.D.), on behalf of the rest of the coauthors, with this document, I warrantee and sign that the datasets generated and used during the current study are available from the corresponding author upon reasonable request.

Acknowledgments

Authors wish to thank Oceanogràfic de València laboratories (València, Spain) for the A. aurita ephyra used in the study.

Conflicts of Interest

The authors declare no conflicts of interest.

References

  1. United Nations UNEP in 2021, Planetary Action; 2022;
  2. Sánchez-Bayo, F.; Wyckhuys, K.A.G. Worldwide Decline of the Entomofauna: A Review of Its Drivers. Biological Conservation 2019, 232, 8–27. [CrossRef]
  3. Rochman, C.M.; Browne, M.A.; Halpern, B.S.; Hentschel, B.T.; Hoh, E.; Karapanagioti, H.K.; Rios-Mendoza, L.M.; Takada, H.; Teh, S.; Thompson, R.C. Classify Plastic Waste as Hazardous. Nature 2013, 494, 169–171. [CrossRef]
  4. Arvelo, F.; Sojo, F. Contaminación, disruptores endocrinos y cáncer. Investigación Clínica 2016, 57.
  5. Philip Wexler Biocides. Encyclopedia of Toxicology (3rd Edition); 2014; ISBN 978-0-12-386455-0.
  6. Derraik, J.G.B. The Pollution of the Marine Environment by Plastic Debris: A Review. Marine Pollution Bulletin 2002, 44, 842–852. [CrossRef]
  7. Jambeck, J.R.; Geyer, R.; Wilcox, C.; Siegler, T.R.; Perryman, M.; Andrady, A.; Narayan, R.; Law, K.L. Plastic Waste Inputs from Land into the Ocean. Science 2015, 347, 768–771. [CrossRef]
  8. Van Emmerik, T.; Kieu-Le, T.-C.; Loozen, M.; Van Oeveren, K.; Strady, E.; Bui, X.-T.; Egger, M.; Gasperi, J.; Lebreton, L.; Nguyen, P.-D.; et al. A Methodology to Characterize Riverine Macroplastic Emission Into the Ocean. Front. Mar. Sci. 2018, 5, 372. [CrossRef]
  9. Ekubo, A.A.; Abowei, J.F.N. Review of Some Water Quality Management Principles in Culture Fisheries. 2011.
  10. Price, G.D.; Pearce, N.J.G. Biomonitoring of Pollution by Cerastoderma Edule from the British Isles: A Laser Ablation ICP-MS Study. Marine Pollution Bulletin 1997, 34, 1025–1031. [CrossRef]
  11. Pearce, J.B.; Despres-Patanjo, L. A Review of Monitoring Strategies and Assessments of Estuarine Pollution. Aquatic Toxicology 1988, 11, 323–343. [CrossRef]
  12. Faimali, M.; Garaventa, F.; Piazza, V.; Costa, E.; Greco, G.; Mazzola, V.; Beltrandi, M.; Bongiovanni, E.; Lavorano, S.; Gnone, G. Ephyra Jellyfish as a New Model for Ecotoxicological Bioassays. Marine Environmental Research 2014, 93, 93–101. [CrossRef]
  13. EPA Environmental Protection Agency Annual Report and Accounts; Ireland, 2022;
  14. Mercado, B.; Valero, N.; Roca-Pérez, L.; Bernabeu-Berni, E.; Andreu-Sánchez, O. Investigation of Metal Toxicity on Microalgae Phaeodactylum Tricornutum, Hipersaline Zooplankter Artemia Salina, and Jellyfish Aurelia Aurita. Toxics 2023, 11, 716. [CrossRef]
  15. Litchfield JR, J.T.; Wilcoxon, F. A SIMPLIFIED METHOD OF EVALUATING DOSE-EFFECT EXPERIMENTS. The Journal of pharmacology and experimental therapeutics 1949, 96, 99–113.
  16. Chen, Z.-F.; Ying, G.-G.; Lai, H.-J.; Chen, F.; Su, H.-C.; Liu, Y.-S.; Peng, F.-Q.; Zhao, J.-L. Determination of Biocides in Different Environmental Matrices by Use of Ultra-High-Performance Liquid Chromatography–Tandem Mass Spectrometry. Anal Bioanal Chem 2012, 404, 3175–3188. [CrossRef]
  17. Trenholm, R.A.; Vanderford, B.J.; Drewes, J.E.; Snyder, S.A. Determination of Household Chemicals Using Gas Chromatography and Liquid Chromatography with Tandem Mass Spectrometry. Journal of Chromatography A 2008, 1190, 253–262. [CrossRef]
  18. Hernández-Moreno, D.; Blázquez, M.; Andreu-Sánchez, O.; Bermejo-Nogales, A.; Fernández-Cruz, M.L. Acute Hazard of Biocides for the Aquatic Environmental Compartment from a Life-Cycle Perspective. Science of The Total Environment 2019, 658, 416–423. [CrossRef]
  19. Andreani, T.; Nogueira, V.; Gavina, A.; Fernandes, S.; Rodrigues, J.L.; Pinto, V.V.; Ferreira, M.J.; Silva, A.M.; Pereira, C.M.; Pereira, R. Ecotoxicity to Freshwater Organisms and Cytotoxicity of Nanomaterials: Are We Generating Sufficient Data for Their Risk Assessment? Nanomaterials 2020, 11, 66. [CrossRef]
  20. Vurm, R.; Tajnaiová, L.; Kofroňová, J. The Influence of Herbicides to Marine Organisms Aliivibrio Fischeri and Artemia Salina. Toxics 2021, 9, 275. [CrossRef]
  21. Jani, P.; Halbert, G.W.; Langridge, J.; Florence, A.T. Nanoparticle Uptake by the Rat Gastrointestinal Mucosa: Quantitation and Particle Size Dependency. Journal of Pharmacy and Pharmacology 2011, 42, 821–826. [CrossRef]
  22. Jenner, P.M.; Hagan, E.C.; Taylor, J.M.; Cook, E.L.; Fitzhugh, O.G. Food Flavourings and Compounds of Related Structure I. Acute Oral Toxicity. Food and Cosmetics Toxicology 1964, 2, 327–343. [CrossRef]
  23. Pavlaki, M.D.; Araújo, M.J.; Cardoso, D.N.; Silva, A.R.R.; Cruz, A.; Mendo, S.; Soares, A.M.V.M.; Calado, R.; Loureiro, S. Ecotoxicity and Genotoxicity of Cadmium in Different Marine Trophic Levels. Environmental Pollution 2016, 215, 203–212. [CrossRef]
  24. Castro-Castellon, A.T.; Horton, A.A.; Hughes, J.M.R.; Rampley, C.; Jeffers, E.S.; Bussi, G.; Whitehead, P. Ecotoxicity of Microplastics to Freshwater Biota: Considering Exposure and Hazard across Trophic Levels. Science of The Total Environment 2022, 816, 151638. [CrossRef]
  25. Dou, X.; Meng, F.; Duan, W.; Liu, Q.; Li, H.; Du, S.; Peng, X. Growth Inhibition and Oxidative Stress in Two Species of Marine Diatoms Exposed to 1-Phenylethanol. J. Ocean. Limnol. 2019, 37, 1342–1352. [CrossRef]
  26. Engelhardt, G. In Vivo Micronucleus Test in Mice with 1-Phenylethanol. Arch Toxicol 2006, 80, 868–872. [CrossRef]
  27. Dao, L.; Grigoryeva, T.; Laikov, A.; Devjatijarov, R.; Ilinskaya, O. Full-Scale Bioreactor Pretreatment of Highly Toxic Wastewater from Styrene and Propylene Oxide Production. Ecotoxicol Environ Saf 2014, 108, 195–202. [CrossRef]
  28. Lemmer, S.; Klomp, R.; Ruemekorf, R.; Scholz, R. Preconcentration of Wastewater through the Niro Freeze Concentration Process. Chemical Engineering & Technology 2001, 24, 485–488. [CrossRef]
  29. Repsol Licenses POSM Technology Available online: https://everchem.com/repsol-licenses-posm-technology/ (accessed on 4 August 2024).
Figure 1. Aurelia aurita ephyrae after the strobilation.
Figure 1. Aurelia aurita ephyrae after the strobilation.
Preprints 115438 g001
Figure 2. values of LC50 for all the organisms tested in each additive.
Figure 2. values of LC50 for all the organisms tested in each additive.
Preprints 115438 g002
Figure 3. values of LC50 for A. salina y A. aurita at a) 24h and b) 48h for the two additives.
Figure 3. values of LC50 for A. salina y A. aurita at a) 24h and b) 48h for the two additives.
Preprints 115438 g003
Figure 4. Pulsation data for each compound (S1 and S2) at both exposure time (24-hour and 48-hour).
Figure 4. Pulsation data for each compound (S1 and S2) at both exposure time (24-hour and 48-hour).
Preprints 115438 g004
Figure 5. Comparison of LC50 values for the S2 compound. The grey bars represent data extracted from Dou et al. (2019) [25], while the blue bars indicate data obtained in this study. The dashed lines correspond to the maximum environmental concentration values reported by Dao et al. (2014) [27].
Figure 5. Comparison of LC50 values for the S2 compound. The grey bars represent data extracted from Dou et al. (2019) [25], while the blue bars indicate data obtained in this study. The dashed lines correspond to the maximum environmental concentration values reported by Dao et al. (2014) [27].
Preprints 115438 g005
Table 1. Chemical characteristics of each compound.
Table 1. Chemical characteristics of each compound.
Preprints 115438 i001
Table 2. LC50 and LC10 and the 95% confidence limit (C.L.) of each organism model for each tested compound.
Table 2. LC50 and LC10 and the 95% confidence limit (C.L.) of each organism model for each tested compound.
Compound Organism LC50 (mg/L) C.L. 95%
Lower Upper
S1 A. salina 577.9 338.8 985.8
P. tricornutum 89.0 72.95 108.4
A. aurita 2.5 1.4 4.3
S2 A. salina 623.3 557.3 697.0
P. tricornutum 452.9 155.1 1323.3
A. aurita 77 46.3 128.2
Compound Organism LC10 (mg/L) C.L. 95%
Lower Upper
S1 A. salina 130.7 66.6 194.0
P. tricornutum 69.2 56.76 84.3
A. aurita 0.29 0.17 0.51
S2 A. salina 140.9 77.9 254.7
P. tricornutum 28.8 9.9 84.3
A. aurita 22 13.2 36.7
Table 3. Analysis of variance for the LC50 of each compound.
Table 3. Analysis of variance for the LC50 of each compound.
Df Sum Sq Mean Sq F value Pr(>F)
S1 Organism 2 1926530 963265 3295947 < 2 10 16 * * *
Residuals 27 8 0
S2 Organism 2 1562053 781027 5199973 < 2 10 16 * * *
Residuals 27 4 0
0***  0.001**    0.01*  0.05.
Table 4. Toxicity classification of each additive according each LC50 and the categorical criteria used. Colour codes for the different toxic categories: cat 1, high toxic substances with E(L)C50 ≤ 1 mg/L (red); cat 2 (orange), from >1 to ≤ 10 mg/L (medium toxicity); cat 3 (yellow), from >10 to ≤ 100 mg/L (low toxicity); and cat 4 for non-toxic substances (green) with E(L)C50 >100 mg/L.
Table 4. Toxicity classification of each additive according each LC50 and the categorical criteria used. Colour codes for the different toxic categories: cat 1, high toxic substances with E(L)C50 ≤ 1 mg/L (red); cat 2 (orange), from >1 to ≤ 10 mg/L (medium toxicity); cat 3 (yellow), from >10 to ≤ 100 mg/L (low toxicity); and cat 4 for non-toxic substances (green) with E(L)C50 >100 mg/L.
Ref Compound CL50 – 48-hour
A. salina
CL50 – 72-hour
P. tricornutum
CL50- 48-hour
A. aurita
S1 2-Methyl-1-
phenylpropan-2-ol
Non-toxic Low Toxic Medium-toxic
S2 1-Feniletan-1-ol Non-toxic Non-toxic Low Toxic
Disclaimer/Publisher’s Note: The statements, opinions and data contained in all publications are solely those of the individual author(s) and contributor(s) and not of MDPI and/or the editor(s). MDPI and/or the editor(s) disclaim responsibility for any injury to people or property resulting from any ideas, methods, instructions or products referred to in the content.
Copyright: This open access article is published under a Creative Commons CC BY 4.0 license, which permit the free download, distribution, and reuse, provided that the author and preprint are cited in any reuse.
Prerpints.org logo

Preprints.org is a free preprint server supported by MDPI in Basel, Switzerland.

Subscribe

Disclaimer

Terms of Use

Privacy Policy

Privacy Settings

© 2026 MDPI (Basel, Switzerland) unless otherwise stated