Submitted:
16 August 2024
Posted:
19 August 2024
You are already at the latest version
Abstract
Keywords:
1. Introduction
Notation
2. Motivating Examples
2.1. Multi-Agent Systems Running Consensus Algorithms
- A has a positive eigenvalue equal to , and it is a simple eigenvalue of A.
- The left and right eigenvectors relative to the eigenvalue are positive.
2.2. Some Examples of Modern Applications
2.3. Problem Statement
3. Problem Solution
3.1. Solution for Path Graphs
3.2. Solution for Star Graphs
4. A Recursive General Solution Tree Graphs
- Each is a Perron vector for each .
- The first component of each satisfies:
5. A Distributed Algorithm for the General Solution
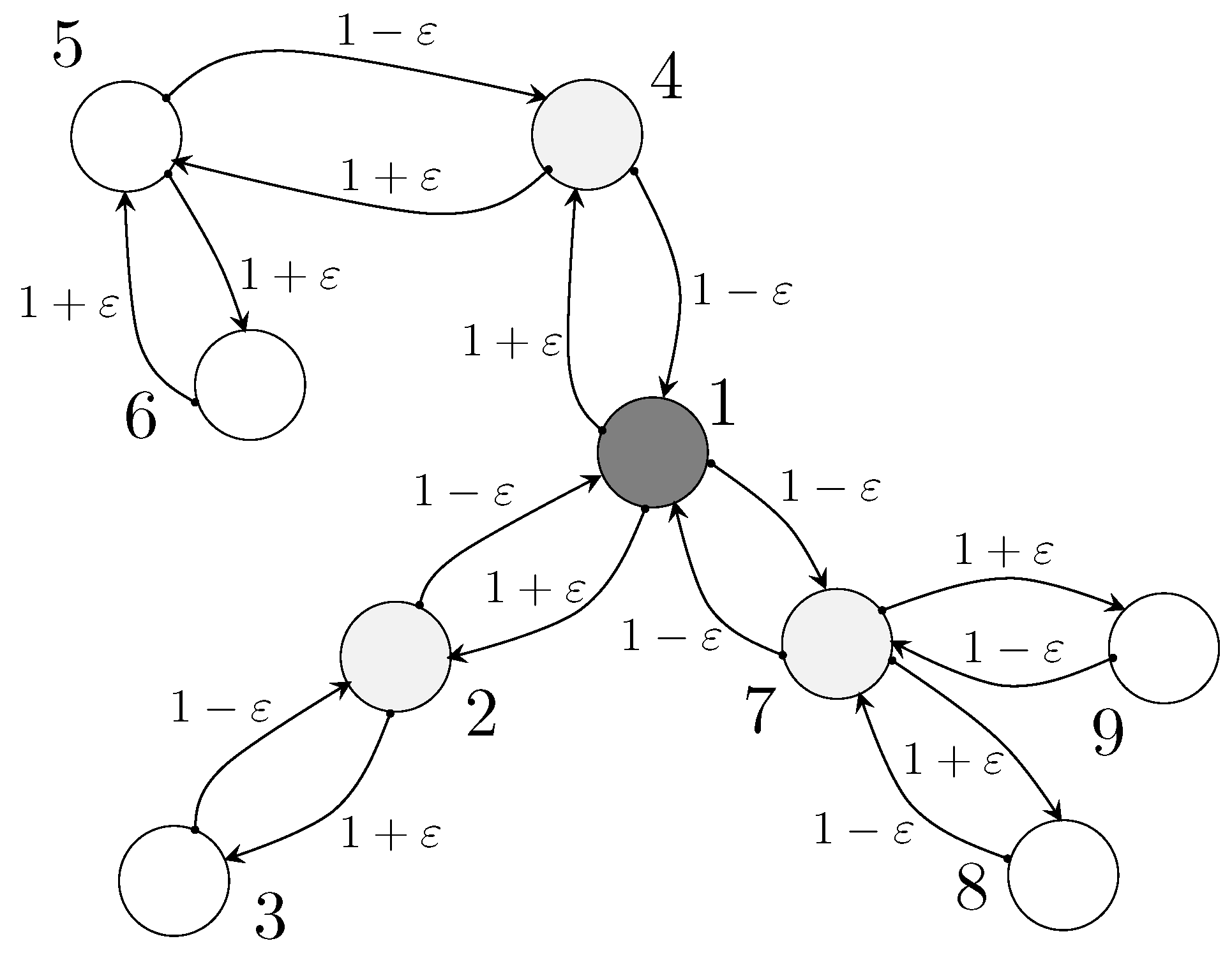
5.1. An Illustrative Example
5.2. Algorithm Description
- if v has received less than coefficients from its neighbors, node v must stay idle.
- if v has received coefficients from its neighbors, node v must computeand send it to the remaining neighbor.
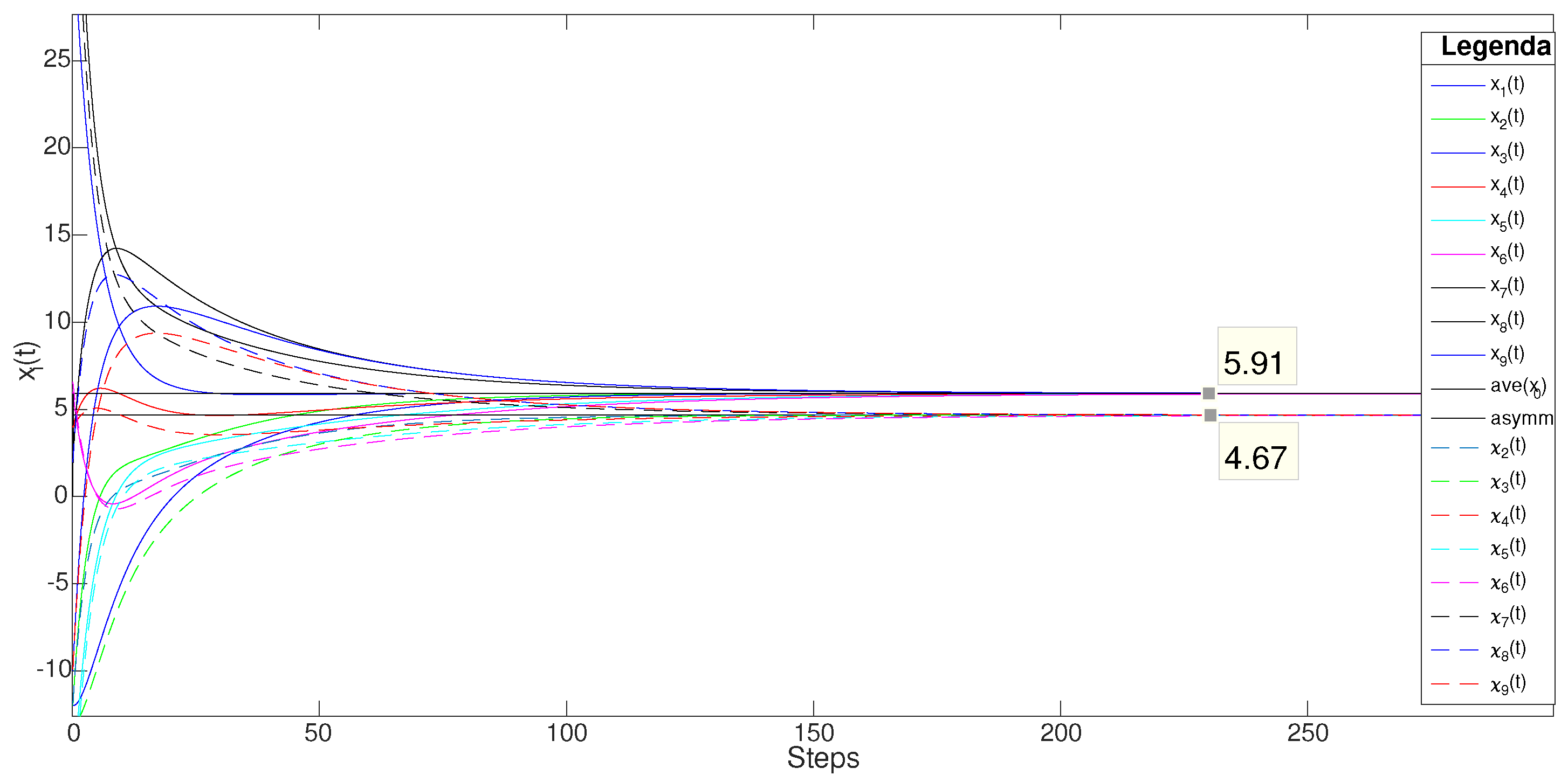
6. Simulation Results
7. Conclusions
References
- Bullo, F. Lectures on Network Systems, 1 ed.; 2022.
- Olfati-Saber, R.; Fax, A.J.; Murray, R. Consensus and Cooperation in Networked Multi-Agent Systems. Proceedings of the IEEE 2007, 95, 215–233. [Google Scholar] [CrossRef]
- Rezaee, H.; Abdollahi, F. Average consensus over high-order multiagent systems. IEEE Transactions on Automatic Control 2015, 60, 3047–3052. [Google Scholar] [CrossRef]
- Kia, S.S.; Van Scoy, B.; Cortes, J.; Freeman, R.A.; Lynch, K.M.; Martinez, S. Tutorial on dynamic average consensus: The problem, its applications, and the algorithms. IEEE Control Systems Magazine 2019, 39, 40–72. [Google Scholar] [CrossRef]
- Garin, F.; Schenato, L. A survey on distributed estimation and control applications using linear consensus algorithms. In Networked control systems; Springer, 2010; pp. 75–107.
- Patterson, S.; Bamieh, B.; El Abbadi, A. Convergence rates of distributed average consensus with stochastic link failures. IEEE Transactions on Automatic Control 2010, 55, 880–892. [Google Scholar] [CrossRef]
- Cai, K.; Ishii, H. Average consensus on general digraphs. In Proceedings of the 2011 50th IEEE Conference on Decision and Control and European Control Conference. IEEE; 2011; pp. 1956–1961. [Google Scholar]
- Guyeux, C.; Haddad, M.; Hakem, M.; Lagacherie, M. Efficient distributed average consensus in wireless sensor networks. Computer Communications 2020, 150, 115–121. [Google Scholar] [CrossRef]
- Sun, S.; Chen, F.; Ren, W. Distributed average tracking in weight-unbalanced directed networks. IEEE Transactions on Automatic Control 2020, 66, 4436–4443. [Google Scholar] [CrossRef]
- Sen, A.; Sahoo, S.R.; Kothari, M. Distributed average tracking with incomplete measurement under a weight-unbalanced digraph. IEEE Transactions on Automatic Control 2022, 67, 6025–6037. [Google Scholar] [CrossRef]
- Du, M.; Meng, D.; Wu, Z.G. Distributed averaging problems over directed signed networks. IEEE Transactions on Control of Network Systems 2021, 8, 1442–1453. [Google Scholar] [CrossRef]
- Shafi, S.Y.; Arcak, M.; El Ghaoui, L. Graph weight allocation to meet Laplacian spectral constraints. IEEE Transactions on Automatic Control 2011, 57, 1872–1877. [Google Scholar] [CrossRef]
- Hao, H.; Barooah, P. Improving convergence rate of distributed consensus through asymmetric weights. In Proceedings of the 2012 American Control Conference (ACC). IEEE; 2012; pp. 787–792. [Google Scholar]
- Gao, L.; Zhao, J.; Di, Z.; Wang, D. Asymmetry between odd and even node weight in complex networks. Physica A: Statistical Mechanics and its Applications 2007, 376, 687–691. [Google Scholar] [CrossRef]
- Parlangeli, G. Laplacian Eigenvalue Allocation Through Asymmetric Weights in Acyclic Leader-Follower Networks. IEEE Access 2023, 11, 126409–126419. [Google Scholar] [CrossRef]
- Parlangeli, G. Prescribed-time average consensus through data-driven leader motion. IEEE Access 2024. [Google Scholar] [CrossRef]
- Valcher, M.E.; Parlangeli, G. On the effects of communication failures in a multi-agent consensus network. In Proceedings of the 2019 23rd International Conference on System Theory, Control and Computing (ICSTCC). IEEE; 2019; pp. 709–720. [Google Scholar]
- Parlangeli, G. A Supervisory Algorithm Against Intermittent and Temporary Faults in Consensus-Based Networks. IEEE Access 2020, 8, 98775–98786. [Google Scholar] [CrossRef]
- Dibaji, S.M.; Pirani, M.; Flamholz, D.B.; Annaswamy, A.M.; Johansson, K.H.; Chakrabortty, A. A systems and control perspective of CPS security. Annual reviews in control 2019, 47, 394–411. [Google Scholar] [CrossRef]
- Kenyeres, M.; Kenyeres, J. Average Consensus with Perron Matrix for Alleviating Inaccurate Sensor Readings Caused by Gaussian Noise in Wireless Sensor Networks. In Proceedings of the Software Engineering and Algorithms: Proceedings of 10th Computer Science On-line Conference 2021, Vol.; pp. 12021391–405.
- Meyer, C.D. Uncoupling the Perron eigenvector problem. Linear Algebra and its applications 1989, 114, 69–94. [Google Scholar] [CrossRef]
- Liu, Z.; Guo, L. Synchronization of multi-agent systems without connectivity assumptions. Automatica 2009, 45, 2744–2753. [Google Scholar] [CrossRef]
- Sardellitti, S.; Giona, M.; Barbarossa, S. Fast distributed average consensus algorithms based on advection-diffusion processes. IEEE Transactions on Signal Processing 2009, 58, 826–842. [Google Scholar] [CrossRef]
- Chen, Y.; Tron, R.; Terzis, A.; Vidal, R. Corrective consensus with asymmetric wireless links. In Proceedings of the 2011 50th IEEE Conference on Decision and Control and European Control Conference. IEEE; 2011; pp. 6660–6665. [Google Scholar]
- Song, Z.; Taylor, D. Asymmetric Coupling Optimizes Interconnected Consensus Systems. arXiv preprint arXiv:2106.13127, arXiv:2106.13127 2021.
- Parlangeli, G.; Valcher, M.E. Leader-controlled protocols to accelerate convergence in consensus networks. IEEE Transactions on Automatic Control 2018, 63, 3191–3205. [Google Scholar] [CrossRef]
- Parlangeli, G.; Valcher, M.E. Accelerating consensus in high-order leader-follower networks. IEEE Control Systems Letters 2018, 2, 381–386. [Google Scholar] [CrossRef]
- Mirzaev, I.; Gunawardena, J. Laplacian dynamics on general graphs. Bulletin of mathematical biology 2013, 75, 2118–2149. [Google Scholar] [CrossRef] [PubMed]
- Dietzenbacher, E. Aggregation in multisector models: using the Perron vector. Economic Systems Research 1992, 4, 3–24. [Google Scholar] [CrossRef]
- Schenato, L.; Fiorentin, F. Average TimeSynch: A consensus-based protocol for clock synchronization in wireless sensor networks. Automatica 2011, 47, 1878–1886. [Google Scholar] [CrossRef]
- Shi, F.; Yang, S.X.; Mukherjee, M.; Jiang, H.; da Costa, D.B.; Wong, W.K. Parameter-sharing-based average-consensus time synchronization in IoT networks. IEEE Internet of Things Journal 2022, 10, 8215–8227. [Google Scholar] [CrossRef]
- Wu, J.; Li, X. Collective synchronization of Kuramoto-oscillator networks. IEEE Circuits and Systems Magazine 2020, 20, 46–67. [Google Scholar] [CrossRef]
- Duan, Y.; He, X.; Zhao, Y. Distributed algorithm based on consensus control strategy for dynamic economic dispatch problem. International Journal of Electrical Power & Energy Systems 2021, 129, 106833. [Google Scholar]
- Macii, D.; Rinaldi, S. Time synchronization for smart grids applications: Requirements and uncertainty issues. IEEE Instrumentation & Measurement Magazine 2022, 25, 11–18. [Google Scholar]
- Bullo, F.; Cortés, J.; Martínez, S. Distributed Control of Robotic Networks; Princeton University Press, 2009. Applied Mathematics Series.
- Parlangeli, G. A distributed algorithm for the assignment of the Laplacian spectrum for path graphs. Mathematics 2023, 11, 2359. [Google Scholar] [CrossRef]
- Usmani, R.A. Inversion of a tridiagonal Jacobi matrix. Linear Algebra and its Applications 1994, 212, 413–414. [Google Scholar] [CrossRef]
- Kenyeres, J.; Kenyeres, M.; Rupp, M.; Farkas, P. WSN implementation of the average consensus algorithm. In Proceedings of the 17th European Wireless 2011-Sustainable Wireless Technologies. VDE; 2011; pp. 1–8. [Google Scholar]




Disclaimer/Publisher’s Note: The statements, opinions and data contained in all publications are solely those of the individual author(s) and contributor(s) and not of MDPI and/or the editor(s). MDPI and/or the editor(s) disclaim responsibility for any injury to people or property resulting from any ideas, methods, instructions or products referred to in the content. |
© 2024 by the authors. Licensee MDPI, Basel, Switzerland. This article is an open access article distributed under the terms and conditions of the Creative Commons Attribution (CC BY) license (https://creativecommons.org/licenses/by/4.0/).