Submitted:
09 August 2024
Posted:
09 August 2024
You are already at the latest version
Abstract
Keywords:
1. Introduction

2. Model Formulation

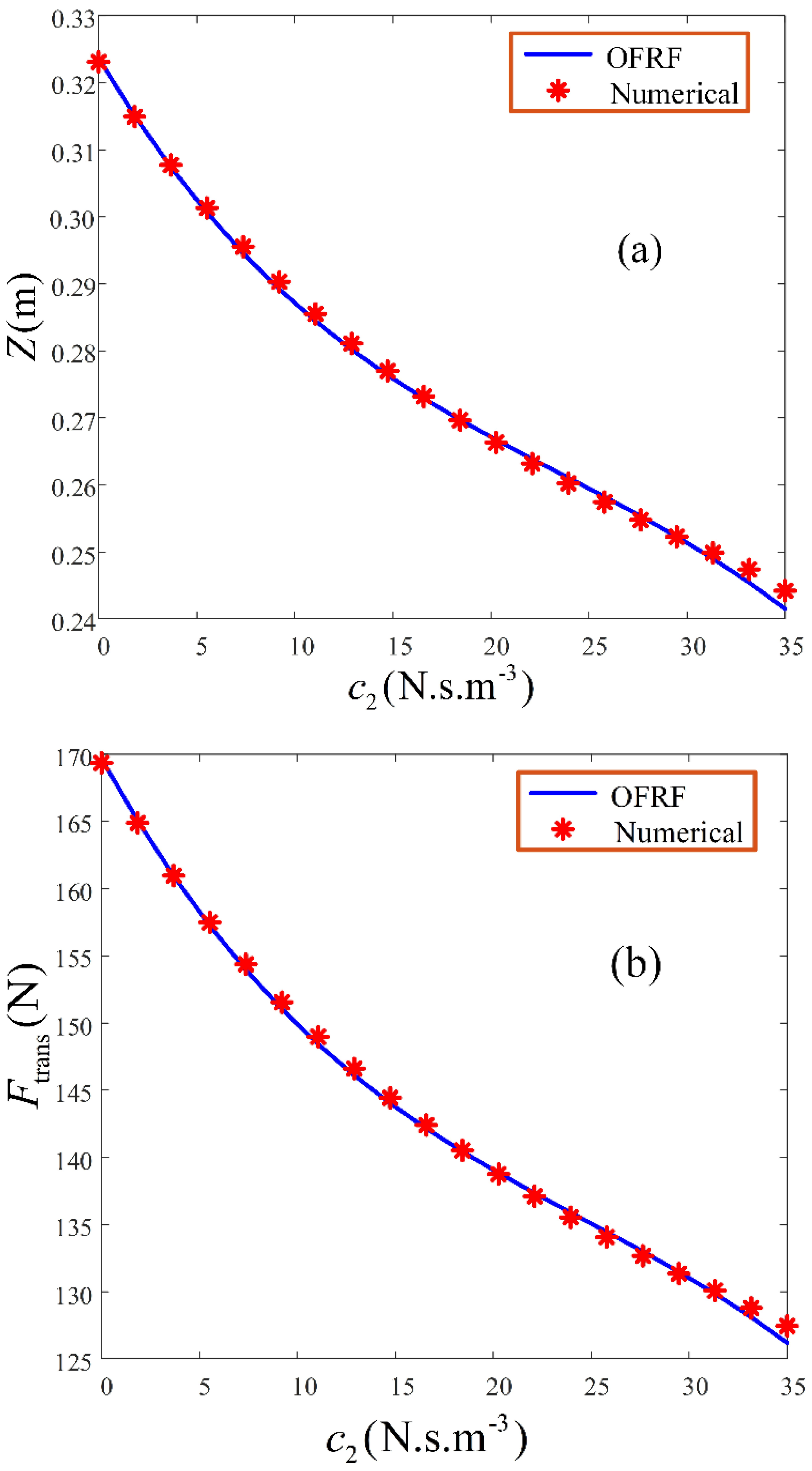
3. The Output Frequency Response Function (OFRF)
4. Determination of the OFRF Representation
4.1. Determination of the OFRF Monomials
4.2. Determination of the OFRF Coefficients
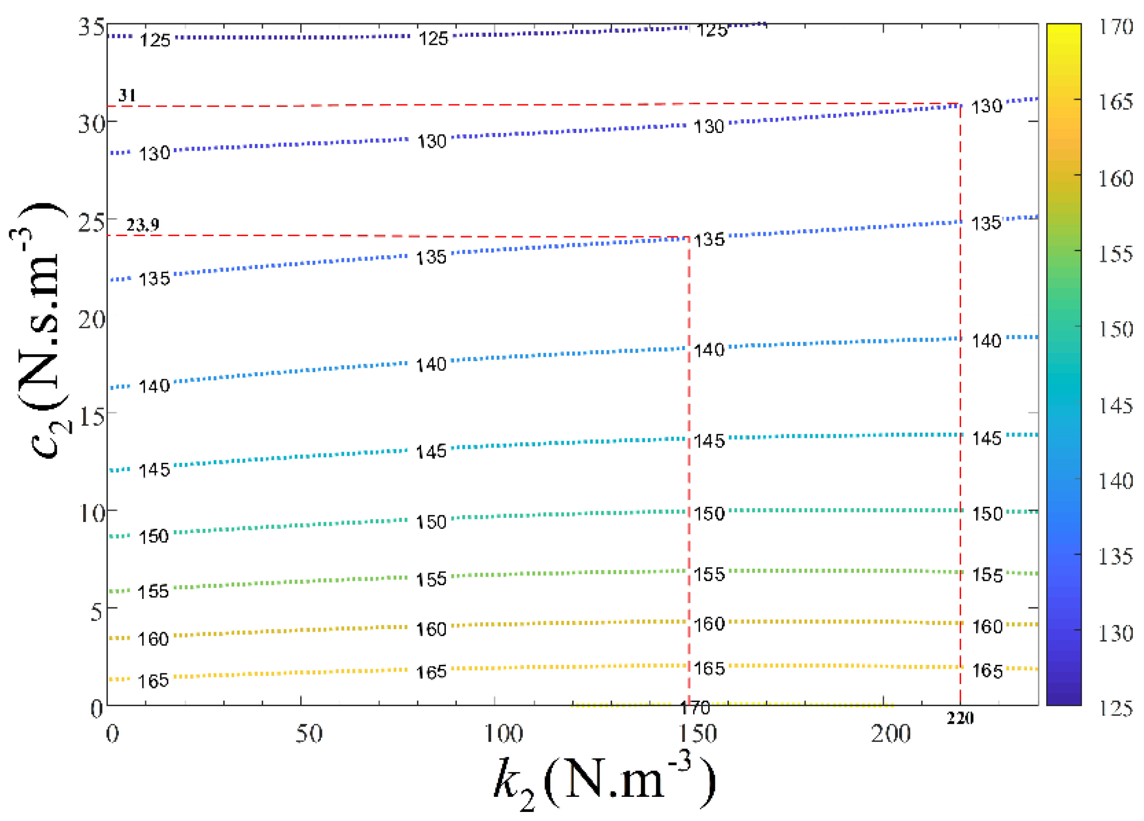
5. System Optimisation
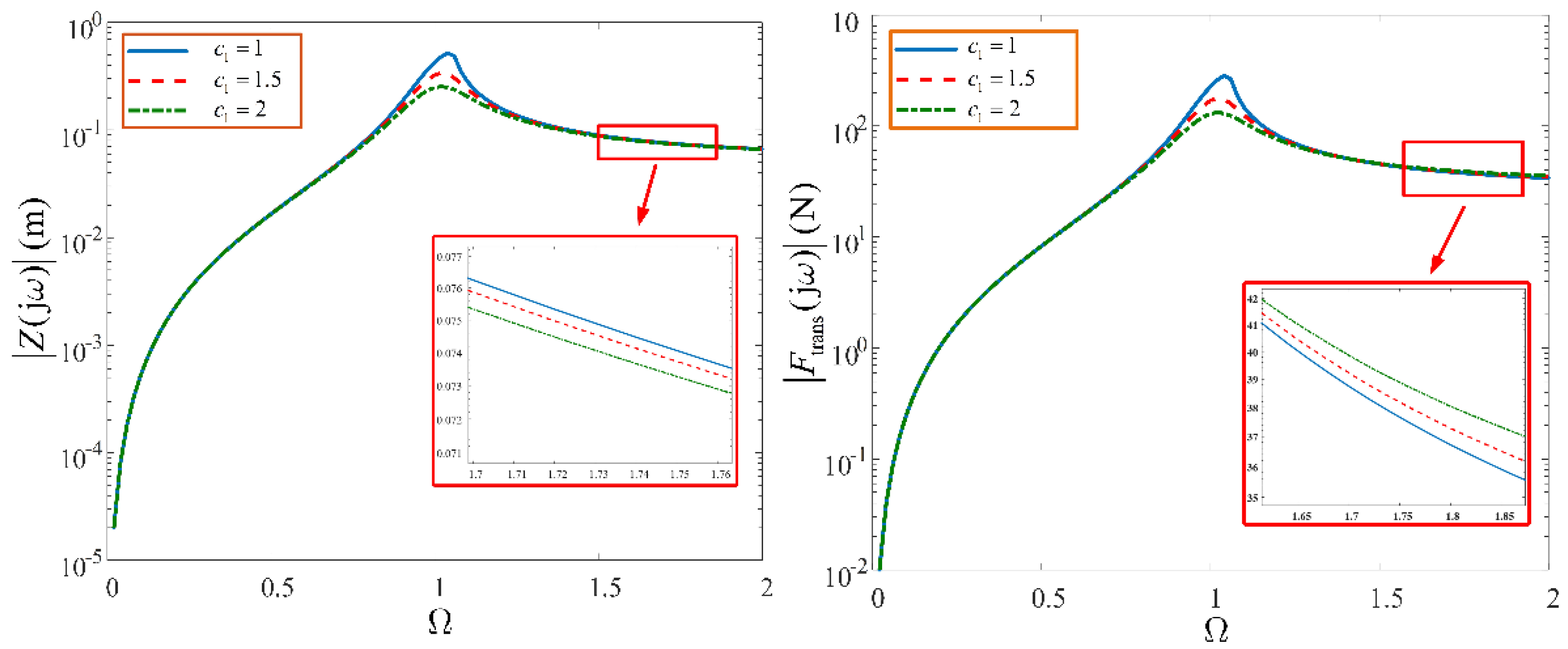
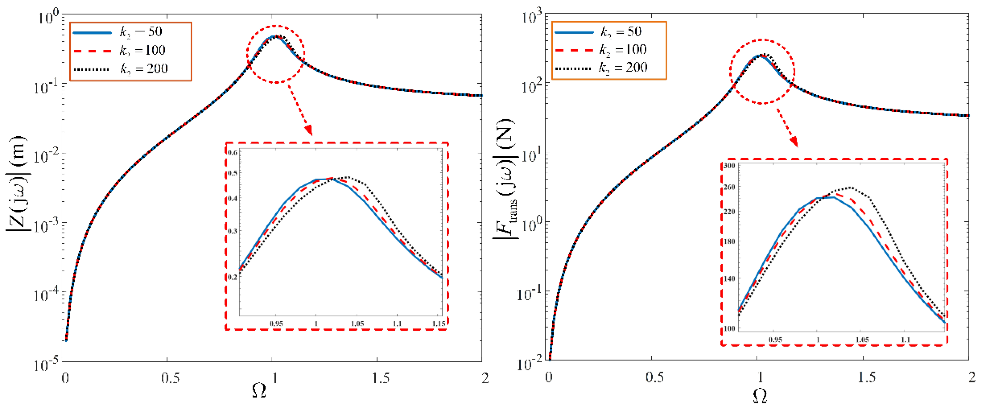
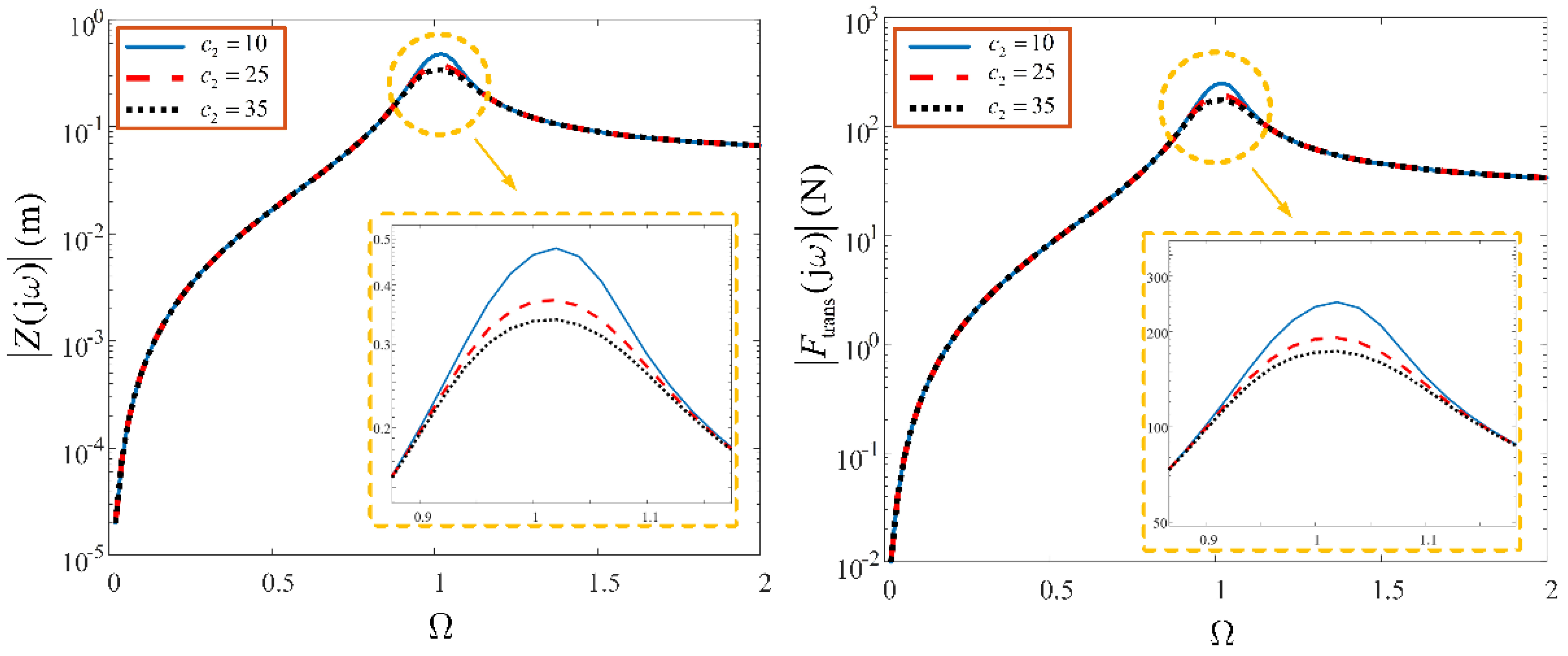
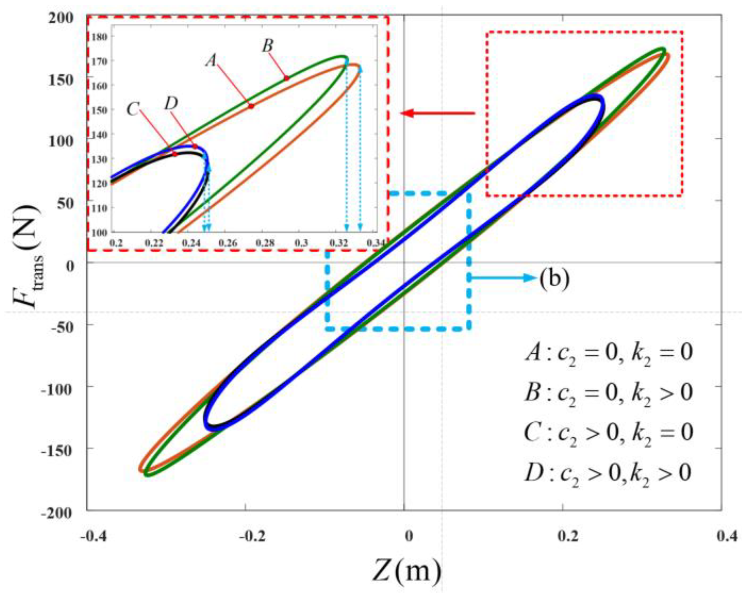
6. Numerical Studies
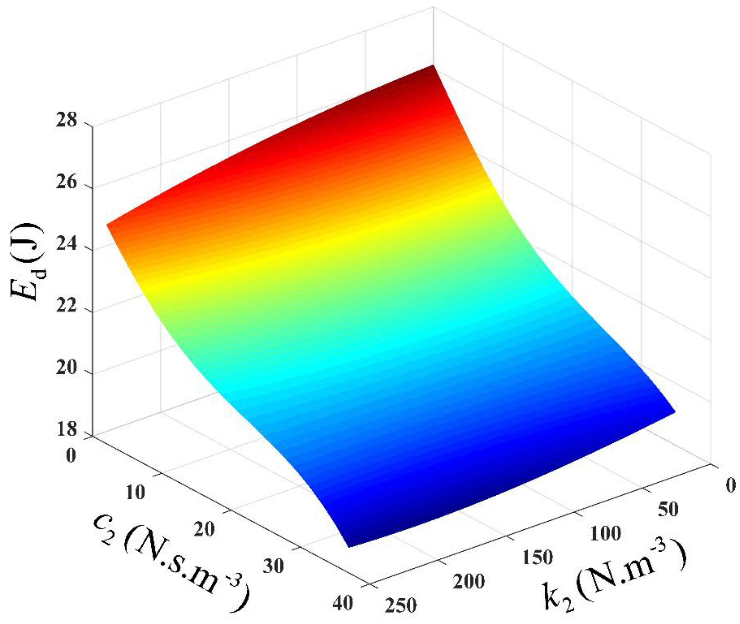
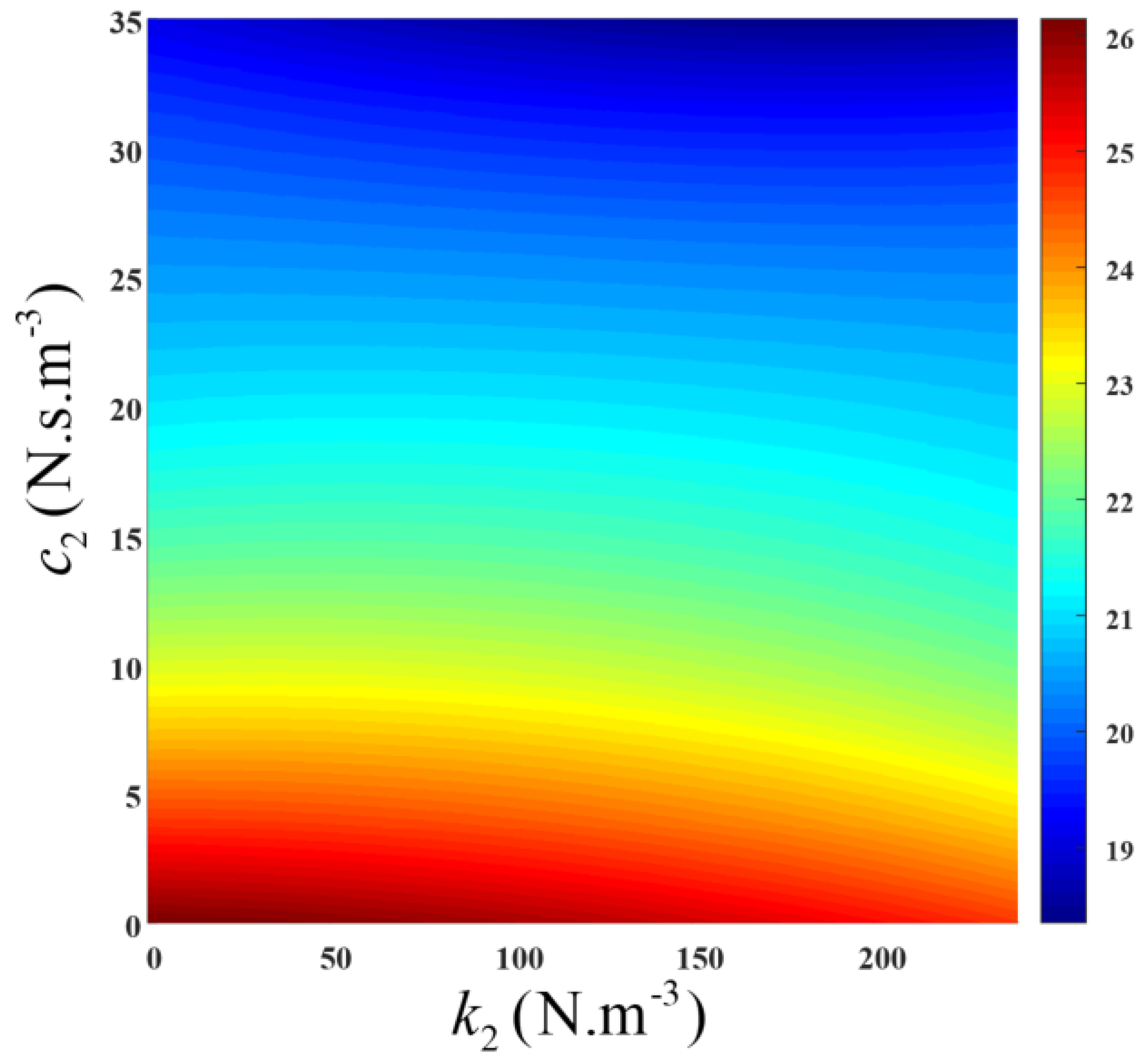
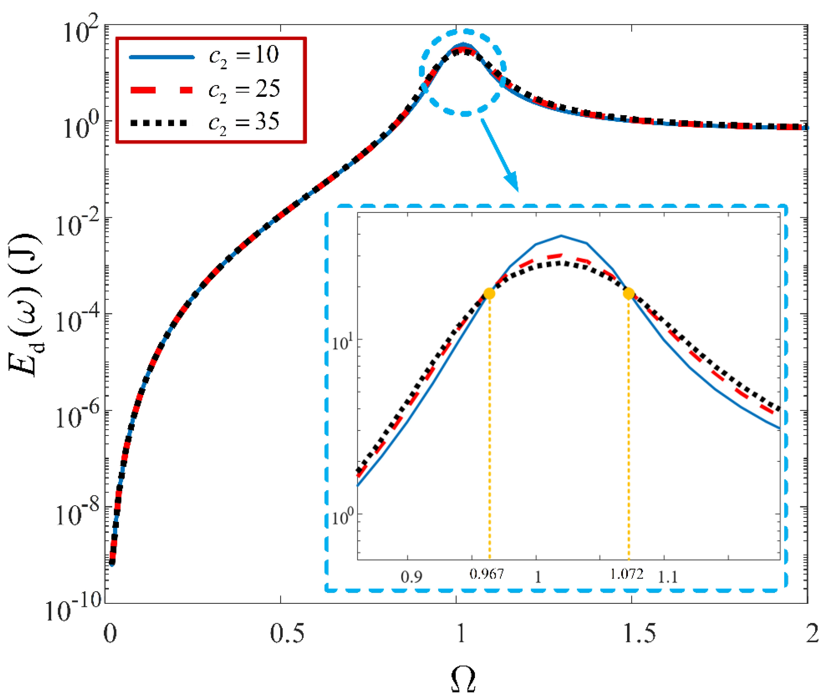
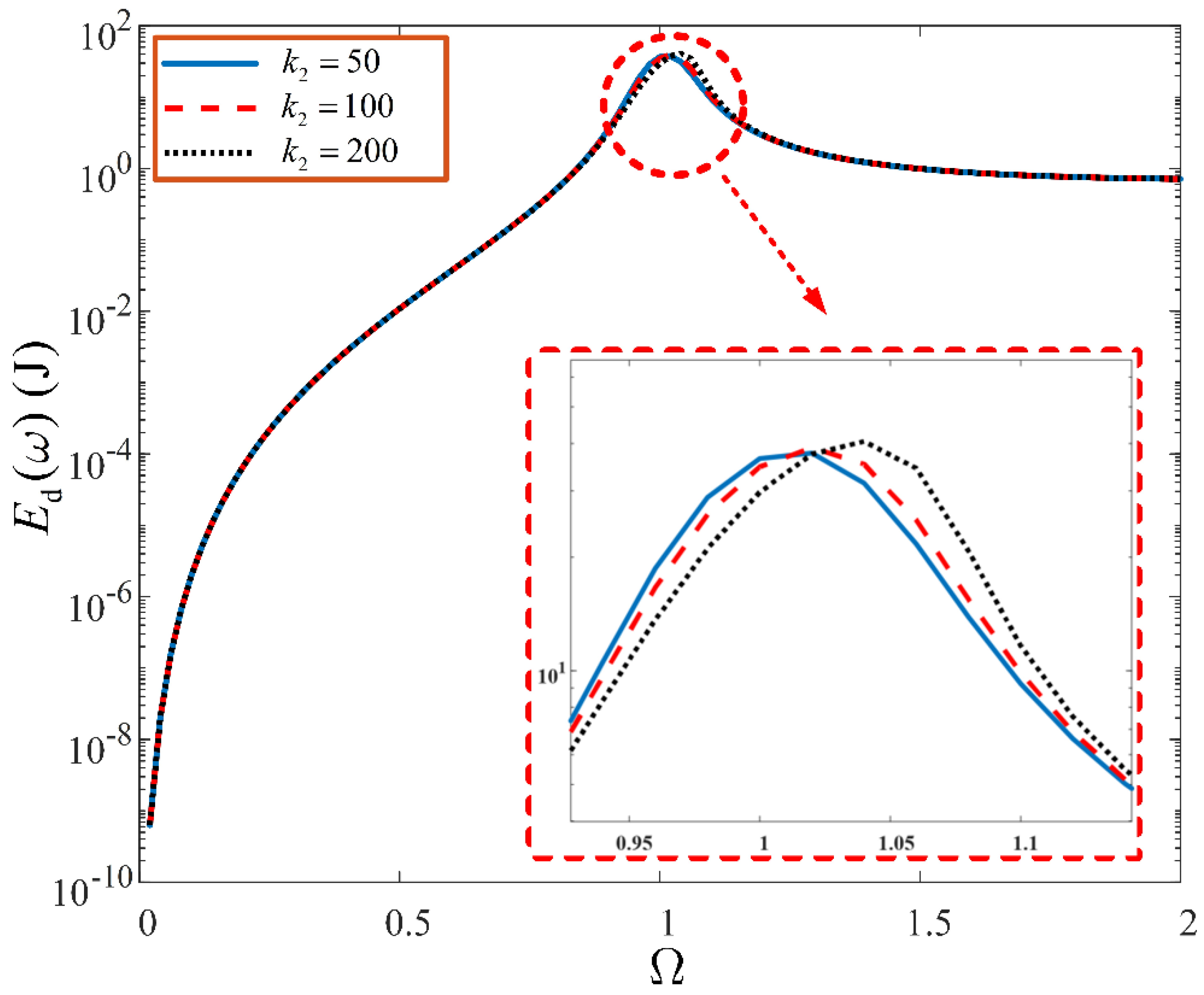
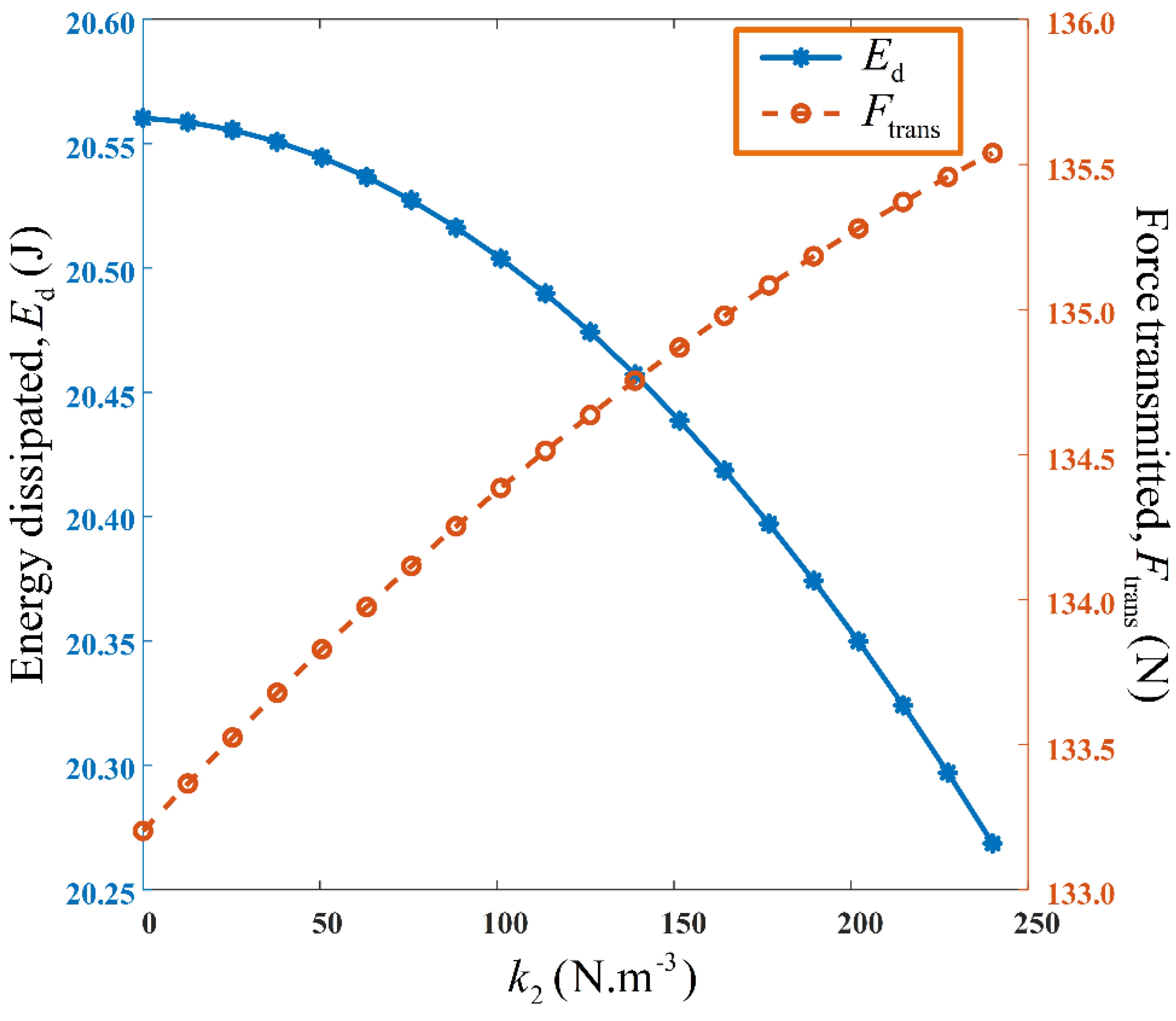
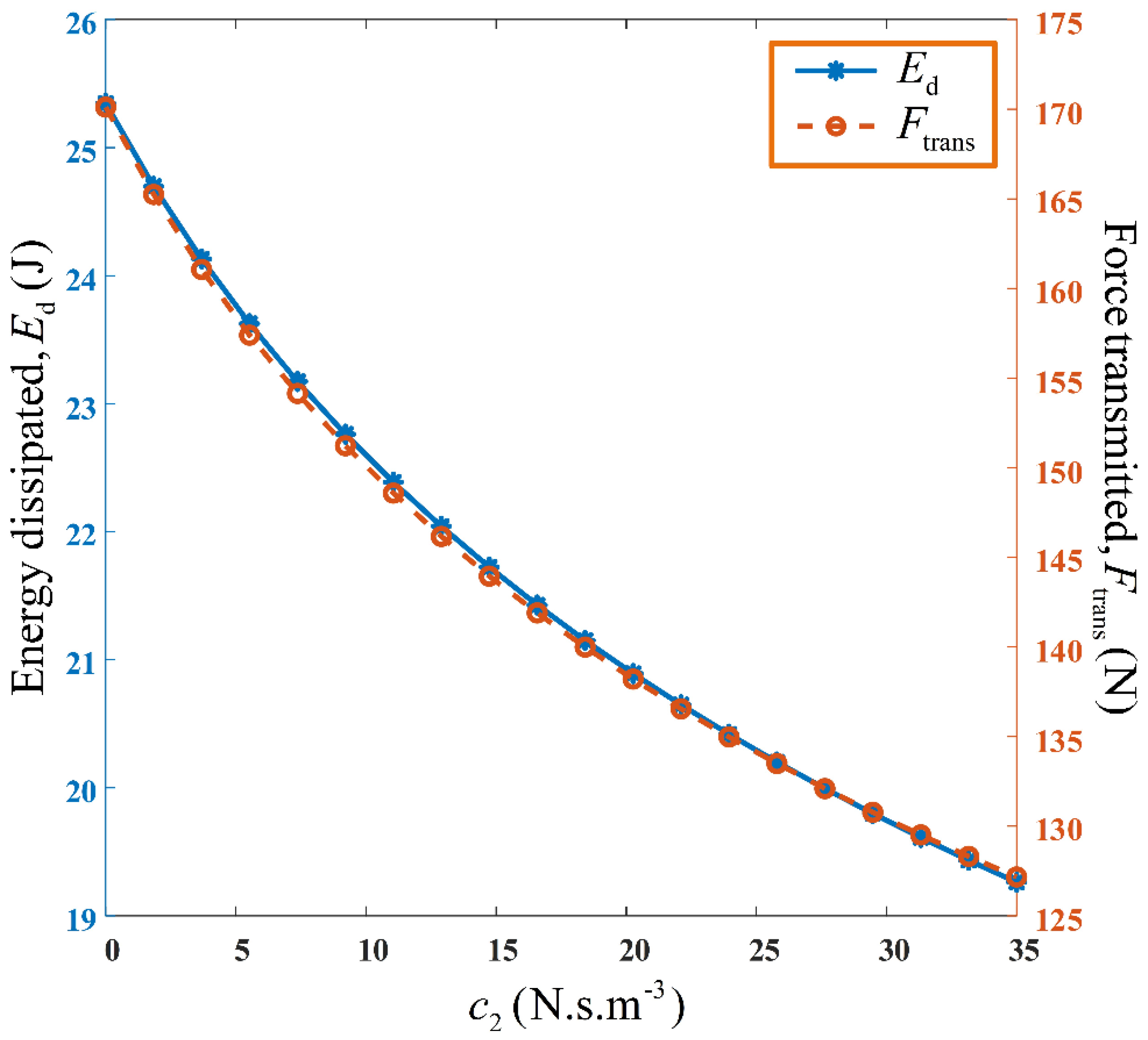
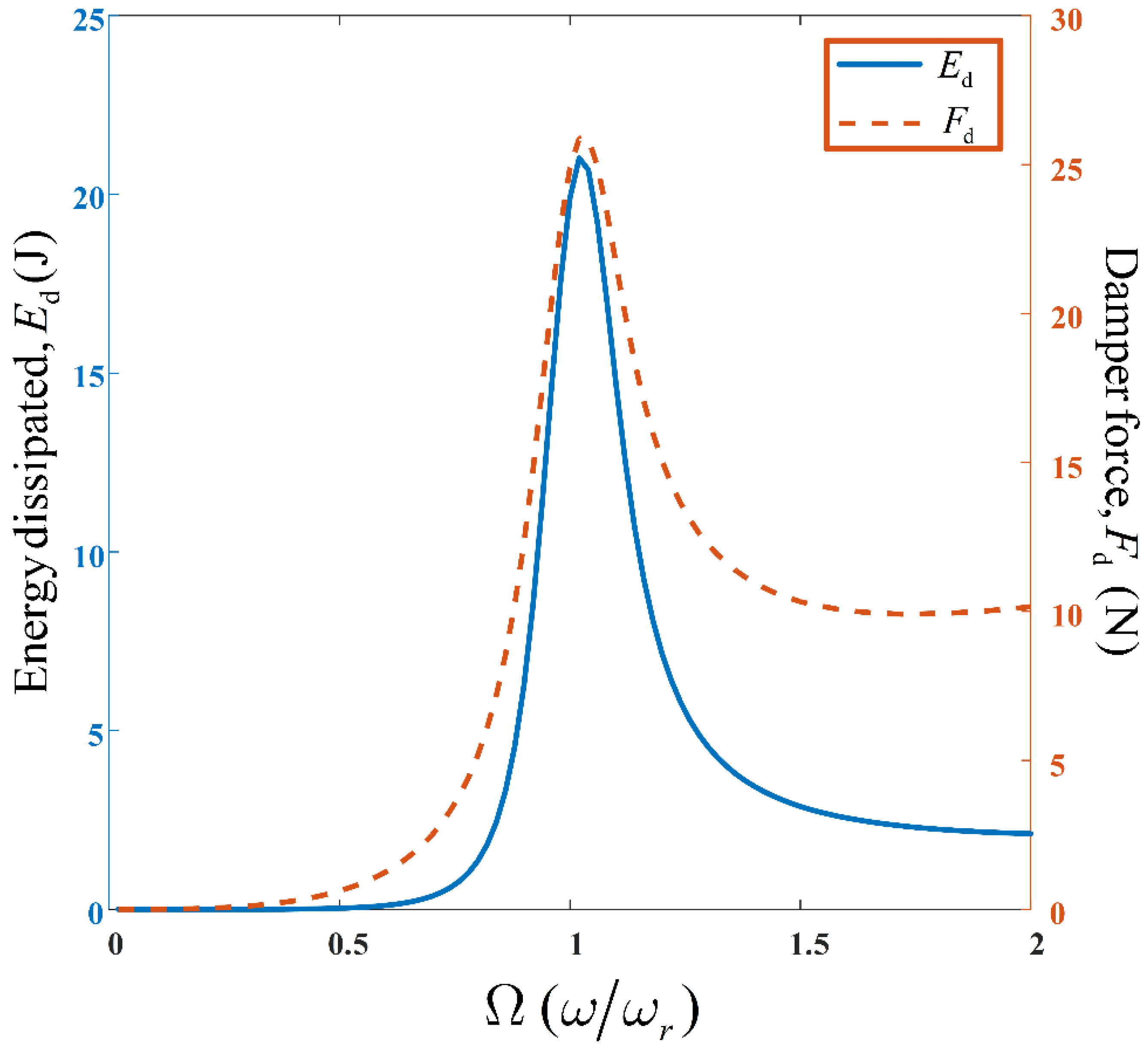
7. Energy Dissipation Analysis
8. Conclusions
Author Contributions
Funding
Data Availability Statement
Conflicts of Interest
References
- Cai, L. W. (2016). Fundamentals of mechanical vibrations. John Wiley & Sons.
- Borowiec, M., Sen, A. K., Litak, G., Hunicz, J., Koszałka, G., & Niewczas, A. (2010). Vibrations of a vehicle excited by real road profiles. Forschung im Ingenieurwesen, 74(2), 99-109.
- Soliman, J. I., & Ismailzadeh, E. (1974). Optimization of unidirectional viscous damped vibration isolation system. Journal of sound and vibration, 36(4), 527-539. [CrossRef]
- Liu, M., Gu, F., & Zhang, Y. (2017). Ride comfort optimisation of in-wheel-motor electric vehicles with in-wheel vibration absorbers. Energies, 10(10), 1647. [CrossRef]
- Arana, C., Evangelou, S. A., & Dini, D. (2014). Series active variable geometry suspension for road vehicles. IEEE/ASME transactions on mechatronics, 20(1), 361-372. [CrossRef]
- Alleyne, Andrew, and J. Karl Hedrick. “Nonlinear adaptive control of active suspensions.” IEEE transactions on control systems technology 3, no. 1 (1995): 94-101. [CrossRef]
- Deringöl, A. H., & Güneyisi, E. M. (2021, December). Influence of nonlinear fluid viscous dampers in controlling the seismic response of the base-isolated buildings. In Structures (Vol. 34, pp. 1923-1941). Elsevier. [CrossRef]
- Kumar, S., Medhavi, A., & Kumar, R. (2021). Optimization of nonlinear passive suspension system to minimize road damage for heavy goods vehicle. Int. J. Acoust. Vib, 26(1), 56-63. https://link.gale.com/apps/doc/A659376667/AONE?u=anon~b7686b90&sid=googleScholar&xid=fdd7cfc4.
- Tiwari, V., Sharma, S. C., & Harsha, S. P. (2022). Ride comfort analysis of high-speed rail vehicle using laminated rubber isolator based secondary suspension. Vehicle System Dynamics, 1-27. [CrossRef]
- Lu, Z., Wang, Z., Zhou, Y., & Lu, X. (2018). Nonlinear dissipative devices in structural vibration control: A review. Journal of Sound and Vibration, 423, 18-49. [CrossRef]
- He, S., Chen, K., Xu, E., Wang, W., & Jiang, Z. (2019). Commercial vehicle ride comfort optimization based on intelligent algorithms and nonlinear damping. Shock and Vibration, 2019. [CrossRef]
- Wei, C. (2023). Design and Analysis of a Novel Vehicle-Mounted Active QZS Vibration Isolator. Iranian Journal of Science and Technology, Transactions of Mechanical Engineering, 1-11. [CrossRef]
- Suman, S., Balaji, P. S., Selvakumar, K., & Kumaraswamidhas, L. A. (2021). Nonlinear vibration control device for a vehicle suspension using negative stiffness mechanism. Journal of Vibration Engineering & Technologies, 1-10. [CrossRef]
- Shafiei, B. (2021). Investigating the impact of the velocity of a vehicle with a nonlinear suspension system on the dynamic behavior of a Bernoulli–Euler bridge. SN Applied Sciences, 3(3), 293. [CrossRef]
- Fernandes, J. C. M., Gonçalves, P. J. P., & Silveira, M. (2020). Interaction between asymmetrical damping and geometrical nonlinearity in vehicle suspension systems improves comfort. Nonlinear Dynamics, 99(2), 1561-1576. [CrossRef]
- Borowiec, M., Litak, G., & Friswell, M. I. (2006). Nonlinear response of an oscillator with a magneto-rheological damper subjected to external forcing. Applied Mechanics and Materials, 5, 277-284. [CrossRef]
- Jones, J. P. (2003). Automatic computation of polyharmonic balance equations for nonlinear differential systems. International Journal of Control, 76(4), 355-365. [CrossRef]
- Elliott, A. M., Bernstein, M. A., Ward, H. A., Lane, J., & Witte, R. J. (2007). Nonlinear averaging reconstruction method for phase-cycle SSFP. Magnetic resonance imaging, 25(3), 359-364. [CrossRef]
- Stanzhitskii, A. N., & Dobrodzii, T. V. (2011). Study of optimal control problems on the half-line by the averaging method. Differential Equations, 47, 264-277. [CrossRef]
- Xing, X. N., & Zhang, D. M. (2010). Realization of Nonlinear Describing Function Method Virtual Experiment System Based on LabVIEW. In International Conference of China Communication (ICCC2010). https://file.scirp.org/pdf/31-3.38.pdf.
- Attari, M., Haeri, M., & Tavazoei, M. S. (2010). Analysis of a fractional order Van der Pol-like oscillator via describing function method. Nonlinear Dynamics, 61, 265-274. [CrossRef]
- Lang, Z. Q., Billings, S. A., Yue, R., & Li, J. (2007). Output frequency response function of nonlinear Volterra systems. Automatica, 43(5), 805-816. [CrossRef]
- Jing, X. J., Lang, Z. Q., & Billings, S. A. (2008). Output frequency response function-based analysis for nonlinear Volterra systems. Mechanical systems and signal processing, 22(1), 102-120. [CrossRef]
- Jing, X. J., Lang, Z. Q., Billings, S. A., & Tomlinson, G. R. (2006). The parametric characteristic of frequency response functions for nonlinear systems. International Journal of Control, 79(12), 1552-1564. [CrossRef]
- Jazar, G. N., Houim, R., Narimani, A., & Golnaraghi, M. F. (2006). Frequency response and jump avoidance in a nonlinear passive engine mount. Journal of Vibration and Control, 12(11), 1205-1237. [CrossRef]
- Peng, Z. K., & Lang, Z. Q. (2008). The effects of nonlinearity on the output frequency response of a passive engine mount. Journal of Sound and Vibration, 318(1-2), 313-328. [CrossRef]
- Milovanovic, Z., Kovacic, I., & Brennan, M. J. (2009). On the displacement transmissibility of a base excited viscously damped nonlinear vibration isolator. Journal of Vibration and Acoustics, 131 (5). [CrossRef]
- Zhu, Y., & Lang, Z. Q. (2017). Design of nonlinear systems in the frequency domain: an output frequency response function-based approach. IEEE Transactions on Control Systems Technology, 26(4), 1358-1371. [CrossRef]
- Denoël, V., & Degée, H. (2002). Analysis of linear structures with nonlinear dampers. In Proceeding of the Eurodyn Conference 2002. https://orbi.uliege.be/handle/2268/13026.





















| Parameter | Value | Unit |
|---|---|---|
| 0.2 | kg | |
| 1.5 | N.s.m−1 | |
| 0.05 | m |
|
Desired output response, |
Actual output response |
|||
|---|---|---|---|---|
| 135 | 150 | 23.9 | 134.8924 | 7.9767 × 10−2 |
| 130 | 220 | 31 | 130.1583 | -1.2162 × 10−1 |
Disclaimer/Publisher’s Note: The statements, opinions and data contained in all publications are solely those of the individual author(s) and contributor(s) and not of MDPI and/or the editor(s). MDPI and/or the editor(s) disclaim responsibility for any injury to people or property resulting from any ideas, methods, instructions or products referred to in the content. |
© 2024 by the authors. Licensee MDPI, Basel, Switzerland. This article is an open access article distributed under the terms and conditions of the Creative Commons Attribution (CC BY) license (http://creativecommons.org/licenses/by/4.0/).