Submitted:
07 August 2024
Posted:
08 August 2024
You are already at the latest version
Abstract
Keywords:
Introduction
Materials And Methods
Site Characteristics
Experimental Design
Measurement of Environmental Variables
Soil Sample Collection and Laboratory Analysis
Soil Respiration Measurement
Harvesting and Biomass Measurements
Statistical Analysis
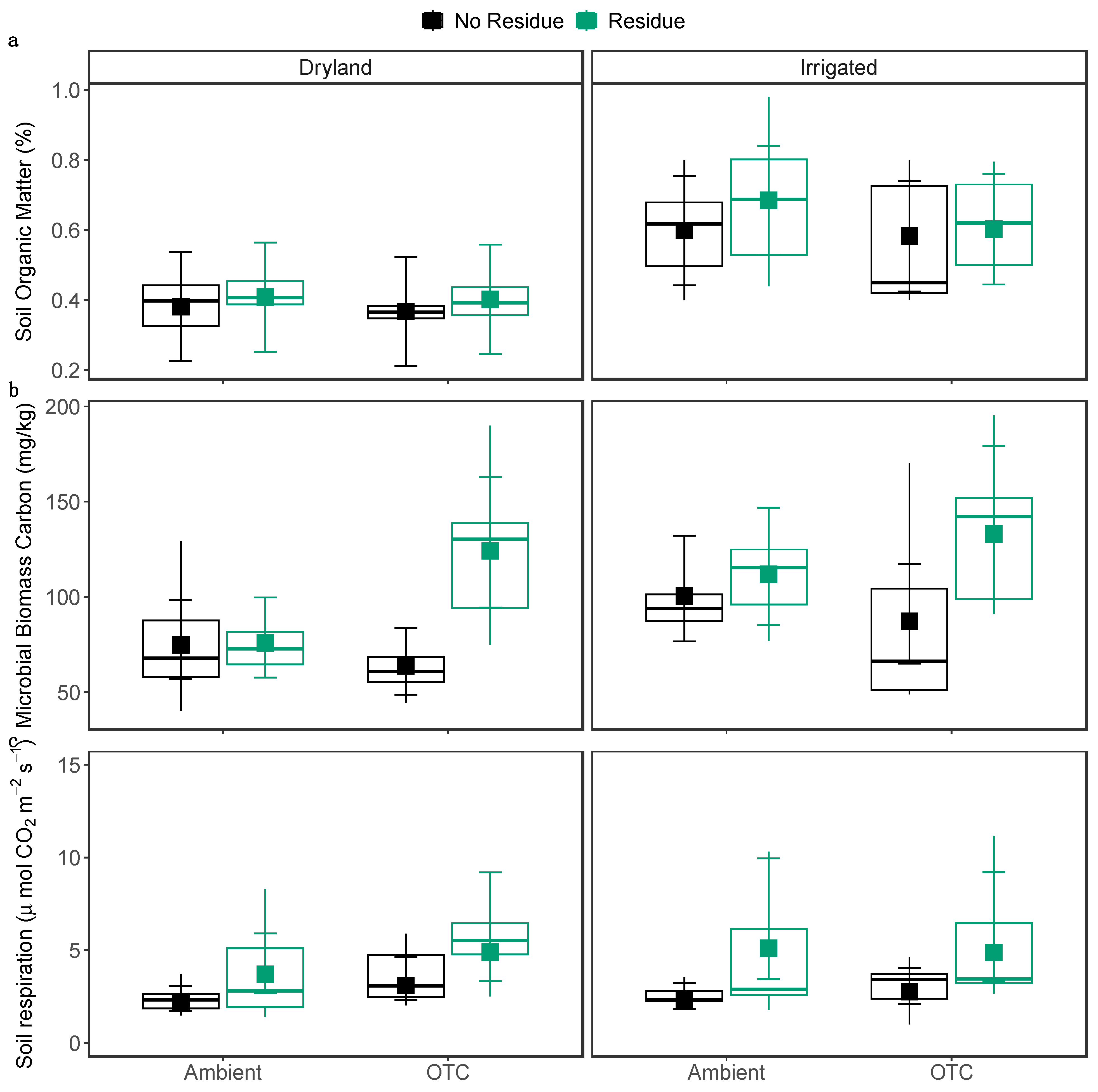
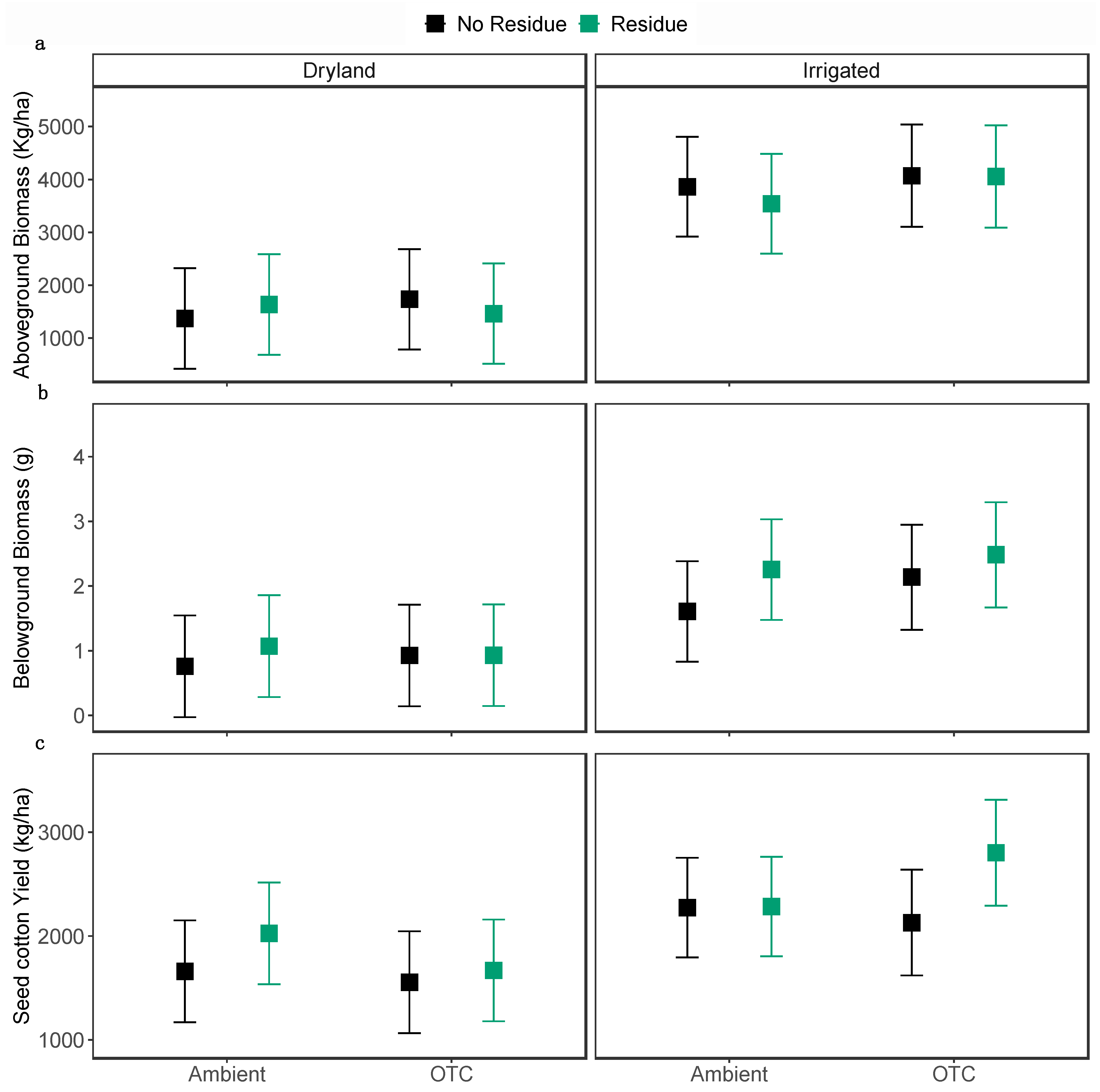
Results
Discussion
Residue Reduced the Soil Temperature and Moisture Fluctuation in Warmed Dryland Soils
Residue Addition Increased Microbial Biomass and Soil Respiration, but Had No Effect on Soil Organic Matter
Soil Moisture Had Stronger Effects on Cotton Biomass Production and Yield than Warming in Semi-Arid Regions
Conclusion
Author Contributions
Funding
Institutional Review Board Statement
Informed Consent Statement
Data Availability Statement
Conflicts of Interest
References
- USDA-NASS Annual Cotton Review; 2023.
- Lauer, S.; Sanderson, M.R. Producer Attitudes Toward Groundwater Conservation in the U.S. Ogallala-High Plains. Groundwater 2020, 58, 674–680. [Google Scholar] [CrossRef] [PubMed]
- Dorminey, B. Dryland Farmers Work Wonders without Water in U.S. West. Available online: https://www.scientificamerican.com/article/dryland-farmers-work-wonders-without-water-us-west/ (accessed on 24 July 2024).
- Hailu, T.; Devkota, P.; Osoko, T.O.; Singh, R.K.; Zak, J.C.; van Gestel, N. No-till and crop rotation are promising practices to enhance soil health in cotton-producing semiarid regions: insights from on-farm research. Biol Fert Soils (under Review).
- Zhou, M.; Liu, C.; Wang, J.; Meng, Q.; Yuan, Y.; Ma, X.; Liu, X.; Zhu, Y.; Ding, G.; Zhang, J.; et al. Soil Aggregates Stability and Storage of Soil Organic Carbon Respond to Cropping Systems on Black Soils of Northeast China. Sci Rep 2020, 10, 265. [Google Scholar] [CrossRef] [PubMed]
- Rawls, W.J.; Pachepsky, Y.A.; Ritchie, J.C.; Sobecki, T.M.; Bloodworth, H. Effect of Soil Organic Carbon on Soil Water Retention. Geoderma 2003, 116, 61–76. [Google Scholar] [CrossRef]
- Benbi, D.K.; Sharma, S.; Toor, A.S.; Brar, K.; Sodhi, G.P.S.; Garg, A.K. Differences in Soil Organic Carbon Pools and Biological Activity between Organic and Conventionally Managed Rice-Wheat Fields. Org. Agr. 2018, 8, 1–14. [Google Scholar] [CrossRef]
- Lal, R.; Negassa, W.; Lorenz, K. Carbon Sequestration in Soil. Current Opinion in Environmental Sustainability 2015, 15, 79–86. [Google Scholar] [CrossRef]
- Godde, C.M.; Thorburn, P.J.; Biggs, J.S.; Meier, E.A. Understanding the Impacts of Soil, Climate, and Farming Practices on Soil Organic Carbon Sequestration: A Simulation Study in Australia. Front. Plant Sci. 2016, 7. [Google Scholar] [CrossRef] [PubMed]
- Luo, Z.; Wang, E.; Sun, O.J. Soil Carbon Change and Its Responses to Agricultural Practices in Australian Agro-Ecosystems: A Review and Synthesis. Geoderma 2010, 155, 211–223. [Google Scholar] [CrossRef]
- Mandal, A.; Patra, A.K.; Singh, D.; Swarup, A.; Ebhin Masto, R. Effect of Long-Term Application of Manure and Fertilizer on Biological and Biochemical Activities in Soil during Crop Development Stages. Bioresource Technology 2007, 98, 3585–3592. [Google Scholar] [CrossRef] [PubMed]
- Page, K.L.; Dang, Y.P.; Dalal, R.C. The Ability of Conservation Agriculture to Conserve Soil Organic Carbon and the Subsequent Impact on Soil Physical, Chemical, and Biological Properties and Yield. Front. Sustain. Food Syst. 2020, 4. [Google Scholar] [CrossRef]
- Iqbal, R.; Raza, M.A.S.; Valipour, M.; Saleem, M.F.; Zaheer, M.S.; Ahmad, S.; Toleikiene, M.; Haider, I.; Aslam, M.U.; Nazar, M.A. Potential Agricultural and Environmental Benefits of Mulches—a Review. Bulletin of the National Research Centre 2020, 44, 75. [Google Scholar] [CrossRef]
- El-Beltagi, H.S.; Basit, A.; Mohamed, H.I.; Ali, I.; Ullah, S.; Kamel, E.A.R.; Shalaby, T.A.; Ramadan, K.M.A.; Alkhateeb, A.A.; Ghazzawy, H.S. Mulching as a Sustainable Water and Soil Saving Practice in Agriculture: A Review. Agronomy 2022, 12, 1881. [Google Scholar] [CrossRef]
- Russel, J.C. The Effect of Surface Cover on Soil Moisture Losses by Evaporation. Soil Science Society of America Journal 1940, 4, 65–70. [Google Scholar] [CrossRef]
- Luo, Z.; Wang, E.; Viscarra Rossel, R.A. Can the Sequestered Carbon in Agricultural Soil Be Maintained with Changes in Management, Temperature and Rainfall? A Sensitivity Assessment. Geoderma 2016, 268, 22–28. [Google Scholar] [CrossRef]
- Potter, K.N.; Velazquez-Garcia, J.; Scopel, E.; Torbert, H.A. Residue Removal and Climatic Effects on Soil Carbon Content of No-till Soils. Journal of Soil and Water Conservation 2007, 62, 110–114. [Google Scholar]
- Zhao, G.; Bryan, B.A.; King, D.; Luo, Z.; Wang, E.; Song, X.; Yu, Q. Impact of Agricultural Management Practices on Soil Organic Carbon: Simulation of Australian Wheat Systems. Global Change Biology 2013, 19, 1585–1597. [Google Scholar] [CrossRef] [PubMed]
- Bardgett, R.D.; Freeman, C.; Ostle, N.J. Microbial Contributions to Climate Change through Carbon Cycle Feedbacks. The ISME Journal 2008, 2, 805–814. [Google Scholar] [CrossRef] [PubMed]
- Bradford, M.A.; Wieder, W.R.; Bonan, G.B.; Fierer, N.; Raymond, P.A.; Crowther, T.W. Managing Uncertainty in Soil Carbon Feedbacks to Climate Change. Nature Clim Change 2016, 6, 751–758. [Google Scholar] [CrossRef]
- Knorr, W.; Prentice, I.C.; House, J.I.; Holland, E.A. Long-Term Sensitivity of Soil Carbon Turnover to Warming. Nature 2005, 433, 298–301. [Google Scholar] [CrossRef]
- Davidson, E.A.; Janssens, I.A. Temperature Sensitivity of Soil Carbon Decomposition and Feedbacks to Climate Change. Nature 2006, 440, 165–173. [Google Scholar] [CrossRef]
- van Gestel, N.; Shi, Z.; van Groenigen, K.J.; Osenberg, C.W.; Andresen, L.C.; Dukes, J.S.; Hovenden, M.J.; Luo, Y.; Michelsen, A.; Pendall, E.; et al. Predicting Soil Carbon Loss with Warming. Nature 2018, 554, E4–E5. [Google Scholar] [CrossRef]
- Lloyd, J.; Taylor, J.A. On the Temperature Dependence of Soil Respiration. Functional Ecology 1994, 8, 315–323. [Google Scholar] [CrossRef]
- Lefèvre, R.; Barré, P.; Moyano, F.E.; Christensen, B.T.; Bardoux, G.; Eglin, T.; Girardin, C.; Houot, S.; Kätterer, T.; van Oort, F.; et al. Higher Temperature Sensitivity for Stable than for Labile Soil Organic Carbon – Evidence from Incubations of Long-Term Bare Fallow Soils. Global Change Biology 2014, 20, 633–640. [Google Scholar] [CrossRef]
- Rustad, L.; Campbell, J.; Marion, G.; Norby, R.; Mitchell, M.; Hartley, A.; Cornelissen, J.; Gurevitch, J. ; GCTE-NEWS A Meta-Analysis of the Response of Soil Respiration, Net Nitrogen Mineralization, and Aboveground Plant Growth to Experimental Ecosystem Warming. Oecologia 2001, 126, 543–562. [Google Scholar] [CrossRef]
- Wang, X.; Liu, L.; Piao, S.; Janssens, I.A.; Tang, J.; Liu, W.; Chi, Y.; Wang, J.; Xu, S. Soil Respiration under Climate Warming: Differential Response of Heterotrophic and Autotrophic Respiration. Global Change Biology 2014, 20, 3229–3237. [Google Scholar] [CrossRef]
- Zhang, K.; Dang, H.; Zhang, Q.; Cheng, X. Soil Carbon Dynamics Following Land-Use Change Varied with Temperature and Precipitation Gradients: Evidence from Stable Isotopes. Global Change Biology 2015, 21, 2762–2772. [Google Scholar] [CrossRef] [PubMed]
- Piao, S.; Friedlingstein, P.; Ciais, P.; Zhou, L.; Chen, A. Effect of Climate and CO2 Changes on the Greening of the Northern Hemisphere over the Past Two Decades. Geophysical Research Letters 2006, 33. [Google Scholar] [CrossRef]
- Liu, J.; Wennberg, P.O.; Parazoo, N.C.; Yin, Y.; Frankenberg, C. Observational Constraints on the Response of High-Latitude Northern Forests to Warming. AGU Advances 2020, 1, e2020AV000228. [Google Scholar] [CrossRef]
- Keenan, T.F.; Riley, W.J. Greening of the Land Surface in the World’s Cold Regions Consistent with Recent Warming. Nature Clim Change 2018, 8, 825–828. [Google Scholar] [CrossRef]
- Luo, Y. Terrestrial Carbon–Cycle Feedback to Climate Warming. Annual Review of Ecology, Evolution, and Systematics 2007, 38, 683–712. [Google Scholar] [CrossRef]
- Chapin, F.S.; Matson, P.A.; Vitousek, P.M. Decomposition and Ecosystem Carbon Budgets. In Principles of Terrestrial Ecosystem Ecology; Chapin, F.S., Matson, P.A., Vitousek, P.M., Eds.; Springer: New York, NY, 2011; pp. 183–228. ISBN 978-1-4419-9504-9. [Google Scholar]
- Robertson, G.P.; Paul, E.A. Decomposition and Soil Organic Matter Dynamics. In Methods in Ecosystem Science; Sala, O.E., Jackson, R.B., Mooney, H.A., Howarth, R.W., Eds.; Springer: New York, NY, 2000; pp. 104–116. ISBN 978-1-4612-1224-9. [Google Scholar]
- Jia, Y.; Kuzyakov, Y.; Wang, G.; Tan, W.; Zhu, B.; Feng, X. Temperature Sensitivity of Decomposition of Soil Organic Matter Fractions Increases with Their Turnover Time. Land Degradation & Development 2020, 31, 632–645. [Google Scholar] [CrossRef]
- Dolschak, K.; Gartner, K.; Berger, T.W. The Impact of Rising Temperatures on Water Balance and Phenology of European Beech (Fagus Sylvatica L.) Stands. Model. Earth Syst. Environ. 2019, 5, 1347–1363. [Google Scholar] [CrossRef]
- Licht, M.A.; Al-Kaisi, M. Strip-Tillage Effect on Seedbed Soil Temperature and Other Soil Physical Properties. Soil and Tillage Research 2005, 80, 233–249. [Google Scholar] [CrossRef]
- Abu-Hamdeh, N.H. Thermal Properties of Soils as Affected by Density and Water Content. Biosystems Engineering 2003, 86, 97–102. [Google Scholar] [CrossRef]
- Yin, H.; Li, Y.; Xiao, J.; Xu, Z.; Cheng, X.; Liu, Q. Enhanced Root Exudation Stimulates Soil Nitrogen Transformations in a Subalpine Coniferous Forest under Experimental Warming. Global Change Biology 2013, 19, 2158–2167. [Google Scholar] [CrossRef]
- Carlyle, C.N.; Fraser, L.H.; Turkington, R. Tracking Soil Temperature and Moisture in a Multi-Factor Climate Experiment in Temperate Grassland: Do Climate Manipulation Methods Produce Their Intended Effects? Ecosystems 2011, 14, 489–502. [Google Scholar] [CrossRef]
- Eisenhauer, N.; Lanoue, A.; Strecker, T.; Scheu, S.; Steinauer, K.; Thakur, M.P.; Mommer, L. Root Biomass and Exudates Link Plant Diversity with Soil Bacterial and Fungal Biomass. Sci Rep 2017, 7, 44641. [Google Scholar] [CrossRef] [PubMed]
- Bell, T.H.; Klironomos, J.N.; Henry, H.A.L. Seasonal Responses of Extracellular Enzyme Activity and Microbial Biomass to Warming and Nitrogen Addition. Soil Science Society of America Journal 2010, 74, 820–828. [Google Scholar] [CrossRef]
- Qi, R.; Li, J.; Lin, Z.; Li, Z.; Li, Y.; Yang, X.; Zhang, J.; Zhao, B. Temperature Effects on Soil Organic Carbon, Soil Labile Organic Carbon Fractions, and Soil Enzyme Activities under Long-Term Fertilization Regimes. Applied Soil Ecology 2016, 102, 36–45. [Google Scholar] [CrossRef]
- Zhou, X.; Chen, C.; Wang, Y.; Xu, Z.; Han, H.; Li, L.; Wan, S. Warming and Increased Precipitation Have Differential Effects on Soil Extracellular Enzyme Activities in a Temperate Grassland. Science of The Total Environment 2013, 444, 552–558. [Google Scholar] [CrossRef]
- Liu, W.; Allison, S.D.; Xia, J.; Liu, L.; Wan, S. Precipitation Regime Drives Warming Responses of Microbial Biomass and Activity in Temperate Steppe Soils. Biol Fertil Soils 2016, 52, 469–477. [Google Scholar] [CrossRef]
- Yamada, H.; Miller, J.; Stockton, J. Desiccated Grass Mulch Increases Irrigation Efficiency for Cotton. Hilgardia 1963, 17, 12–13. [Google Scholar]
- Adekalu, K.O.; Olorunfemi, I.A.; Osunbitan, J.A. Grass Mulching Effect on Infiltration, Surface Runoff and Soil Loss of Three Agricultural Soils in Nigeria. Bioresource Technology 2007, 98, 912–917. [Google Scholar] [CrossRef]
- Lauer, S.; Sanderson, M.R.; Manning, D.T.; Suter, J.F.; Hrozencik, R.A.; Guerrero, B.; Golden, B. Values and Groundwater Management in the Ogallala Aquifer Region. Journal of Soil and Water Conservation 2018, 73, 593–600. [Google Scholar] [CrossRef]
- NOAA Lubbock 1991-2020 Climate Normals. Available online: https://www.weather.gov/lub/climate-klbb-norm-2020 (accessed on 25 July 2024).
- Vance, E.D.; Brookes, P.C.; Jenkinson, D.S. An Extraction Method for Measuring Soil Microbial Biomass C. Soil Biology and Biochemistry 1987, 19, 703–707. [Google Scholar] [CrossRef]
- Nunan, N.; Morgan, M.A.; Herlihy, M. Ultraviolet Absorbance (280 Nm) of Compounds Released from Soil during Chloroform Fumigation as an Estimate of the Microbial Biomass. Soil Biology and Biochemistry 1998, 30, 1599–1603. [Google Scholar] [CrossRef]
- Joergensen, R.G.; Mueller, T. The Fumigation-Extraction Method to Estimate Soil Microbial Biomass: Calibration of the kEN Value. Soil Biology and Biochemistry 1996, 28, 33–37. [Google Scholar] [CrossRef]
- R Core Team R: The R Project for Statistical Computing 2024.
- Bates, D.; Mächler, M.; Bolker, B.; Walker, S. Fitting Linear Mixed-Effects Models Using Lme4. Journal of Statistical Software 2015, 67, 1–48. [Google Scholar] [CrossRef]
- Fox, J.; Weisberg, S. An R Companion to Applied Regression; SAGE Publications, 2018; ISBN 978-1-5443-3648-0.
- Searle, S.R.; Speed, F.M.; Milliken, G.A. Population Marginal Means in the Linear Model: An Alternative to Least Squares Means. The American Statistician 1980, 34, 216–221. [Google Scholar] [CrossRef]
- Wickham, H. Ggplot2: Elegant Graphics for Data Analysis; Springer: New York, NY, 2009; ISBN 978-0-387-98140-6. [Google Scholar]
- Hollister, R.D.; Elphinstone, C.; Henry, G.H.R.; Bjorkman, A.D.; Klanderud, K.; Björk, R.G.; Björkman, M.P.; Bokhorst, S.; Carbognani, M.; Cooper, E.J.; et al. A Review of Open Top Chamber (OTC) Performance across the ITEX Network. Arctic Science 2023, 9, 331–344. [Google Scholar] [CrossRef]
- Welshofer, K.B.; Zarnetske, P.L.; Lany, N.K.; Thompson, L.A.E. Open-Top Chambers for Temperature Manipulation in Taller-Stature Plant Communities. Methods in Ecology and Evolution 2018, 9, 254–259. [Google Scholar] [CrossRef]
- Hollister, R.D.; Webber, P.J.; Nelson, F.E.; Tweedie, C.E. Soil Thaw and Temperature Response to Air Warming Varies by Plant Community: Results from an Open-Top Chamber Experiment in Northern Alaska. Arctic, Antarctic, and Alpine Research 2006, 38, 206–215. [Google Scholar] [CrossRef]
- León-Sánchez, L.; Nicolás, E.; Goberna, M.; Prieto, I.; Maestre, F.T.; Querejeta, J.I. Poor Plant Performance under Simulated Climate Change Is Linked to Mycorrhizal Responses in a Semi-Arid Shrubland. Journal of Ecology 2018, 106, 960–976. [Google Scholar] [CrossRef]
- Escolar, C.; Martínez, I.; Bowker, M.A.; Maestre, F.T. Warming Reduces the Growth and Diversity of Biological Soil Crusts in a Semi-Arid Environment: Implications for Ecosystem Structure and Functioning. Philosophical Transactions of the Royal Society B: Biological Sciences 2012, 367, 3087–3099. [Google Scholar] [CrossRef] [PubMed]
- Turmel, M.-S.; Speratti, A.; Baudron, F.; Verhulst, N.; Govaerts, B. Crop Residue Management and Soil Health: A Systems Analysis. Agricultural Systems 2015, 134, 6–16. [Google Scholar] [CrossRef]
- Blanco-Canqui, H.; Lal, R. Crop Residue Removal Impacts on Soil Productivity and Environmental Quality. Critical Reviews in Plant Sciences 2009, 28, 139–163. [Google Scholar] [CrossRef]
- Greiser, C.; Hederová, L.; Vico, G.; Wild, J.; Macek, M.; Kopecký, M. Higher Soil Moisture Increases Microclimate Temperature Buffering in Temperate Broadleaf Forests. Agricultural and Forest Meteorology 2024, 345, 109828. [Google Scholar] [CrossRef]
- Irmak, S. CropWatch. June 21 2016.
- Ma, L.; Shao, M.; Li, T. Characteristics of Soil Moisture and Evaporation under the Activities of Earthworms in Typical Anthrosols in China. Sustainability 2020, 12, 6603. [Google Scholar] [CrossRef]
- Qin, S.; Chen, L.; Fang, K.; Zhang, Q.; Wang, J.; Liu, F.; Yu, J.; Yang, Y. Temperature Sensitivity of SOM Decomposition Governed by Aggregate Protection and Microbial Communities. Science Advances 2019, 5, eaau1218. [Google Scholar] [CrossRef]
- Li, Y.; Lv, W.; Jiang, L.; Zhang, L.; Wang, S.; Wang, Q.; Xue, K.; Li, B.; Liu, P.; Hong, H.; et al. Microbial Community Responses Reduce Soil Carbon Loss in Tibetan Alpine Grasslands under Short-Term Warming. Global Change Biology 2019, 25, 3438–3449. [Google Scholar] [CrossRef]
- Bond-Lamberty, B.; Thomson, A. Temperature-Associated Increases in the Global Soil Respiration Record. Nature 2010, 464, 579–582. [Google Scholar] [CrossRef]
- Carrillo, Y.; Tissue, D.T.; Bruna, S.; Maier, C.; Dijkstra, F.A. Drought Impacts on Tree Root Traits Are Linked to Their Decomposability and Net Carbon Release. Front. For. Glob. Change 2022, 5. [Google Scholar] [CrossRef]
- Ma, W.; Tang, S.; Dengzeng, Z.; Zhang, D.; Zhang, T.; Ma, X. Root Exudates Contribute to Belowground Ecosystem Hotspots: A Review. Front Microbiol 2022, 13, 937940. [Google Scholar] [CrossRef]
- Shen, X.; Yang, F.; Xiao, C.; Zhou, Y. Increased Contribution of Root Exudates to Soil Carbon Input during Grassland Degradation. Soil Biology and Biochemistry 2020, 146, 107817. [Google Scholar] [CrossRef]
- Jones, D.L.; Nguyen, C.; Finlay, R.D. Carbon Flow in the Rhizosphere: Carbon Trading at the Soil–Root Interface. Plant Soil 2009, 321, 5–33. [Google Scholar] [CrossRef]
- Schimel, J.P. Life in Dry Soils: Effects of Drought on Soil Microbial Communities and Processes. Annual Review of Ecology, Evolution, and Systematics 2018, 49, 409–432. [Google Scholar] [CrossRef]
- Schimel, J.; Balser, T.C.; Wallenstein, M. Microbial Stress-Response Physiology and Its Implications for Ecosystem Function. Ecology 2007, 88, 1386–1394. [Google Scholar] [CrossRef]
- van Gestel, N.C.; Dhungana, N.; Tissue, D.T.; Zak, J.C. Seasonal Microbial and Nutrient Responses during a 5-Year Reduction in the Daily Temperature Range of Soil in a Chihuahuan Desert Ecosystem. Oecologia 2016, 180, 265–277. [Google Scholar] [CrossRef]
- Conant, R.T.; Ryan, M.G.; Ågren, G.I.; Birge, H.E.; Davidson, E.A.; Eliasson, P.E.; Evans, S.E.; Frey, S.D.; Giardina, C.P.; Hopkins, F.M.; et al. Temperature and Soil Organic Matter Decomposition Rates – Synthesis of Current Knowledge and a Way Forward. Global Change Biology 2011, 17, 3392–3404. [Google Scholar] [CrossRef]
- Chen, J.; Elsgaard, L.; van Groenigen, K.J.; Olesen, J.E.; Liang, Z.; Jiang, Y.; Lærke, P.E.; Zhang, Y.; Luo, Y.; Hungate, B.A.; et al. Soil Carbon Loss with Warming: New Evidence from Carbon-Degrading Enzymes. Global Change Biology 2020, 26, 1944–1952. [Google Scholar] [CrossRef] [PubMed]
- Allison, S.D.; Wallenstein, M.D.; Bradford, M.A. Soil-Carbon Response to Warming Dependent on Microbial Physiology. Nature Geosci 2010, 3, 336–340. [Google Scholar] [CrossRef]
- Tajik, S.; Ayoubi, S.; Zeraatpisheh, M. Digital Mapping of Soil Organic Carbon Using Ensemble Learning Model in Mollisols of Hyrcanian Forests, Northern Iran. Geoderma Regional 2020, 20, e00256. [Google Scholar] [CrossRef]
- Schnecker, J.; Borken, W.; Schindlbacher, A.; Wanek, W. Little Effects on Soil Organic Matter Chemistry of Density Fractions after Seven Years of Forest Soil Warming. Soil Biology and Biochemistry 2016, 103, 300–307. [Google Scholar] [CrossRef]
- Hamido, S.; Guertal, E.; Wood, W. Seasonal Variation of Carbon and Nitrogen Emissions from Turfgrass. American Journal of Climate Change 2016, 5, 448–463. [Google Scholar] [CrossRef]
- Winsome, T.; Silva, L.C.R.; Scow, K.M.; Doane, T.A.; Powers, R.F.; Horwath, W.R. Plant-Microbe Interactions Regulate Carbon and Nitrogen Accumulation in Forest Soils. Forest Ecology and Management 2017, 384, 415–423. [Google Scholar] [CrossRef]
- Córdova, S.C.; Olk, D.C.; Dietzel, R.N.; Mueller, K.E.; Archontouilis, S.V.; Castellano, M.J. Plant Litter Quality Affects the Accumulation Rate, Composition, and Stability of Mineral-Associated Soil Organic Matter. Soil Biology and Biochemistry 2018, 125, 115–124. [Google Scholar] [CrossRef]
- Ågren, G.I.; Bosatta, N. Theoretical Analysis of the Long-Term Dynamics of Carbon and Nitrogen in Soils. Ecology 1987, 68, 1181–1189. [Google Scholar] [CrossRef]
- Sinsabaugh, R.L.; Manzoni, S.; Moorhead, D.L.; Richter, A. Carbon Use Efficiency of Microbial Communities: Stoichiometry, Methodology and Modelling. Ecology Letters 2013, 16, 930–939. [Google Scholar] [CrossRef] [PubMed]
- Li, N.; Lin, H.; Wang, T.; Li, Y.; Liu, Y.; Chen, X.; Hu, X. Impact of Climate Change on Cotton Growth and Yields in Xinjiang, China. Field Crops Research 2020, 247, 107590. [Google Scholar] [CrossRef]
- Pettigrew, W.T. The Effect of Higher Temperatures on Cotton Lint Yield Production and Fiber Quality. Crop Science 2008, 48, 278–285. [Google Scholar] [CrossRef]
- Hatfield, J.L.; Prueger, J.H. Temperature Extremes: Effect on Plant Growth and Development. Weather and Climate Extremes 2015, 10, 4–10. [Google Scholar] [CrossRef]
- Arshad, A.; Raza, M.A.; Zhang, Y.; Zhang, L.; Wang, X.; Ahmed, M.; Habib-ur-Rehman, M. Impact of Climate Warming on Cotton Growth and Yields in China and Pakistan: A Regional Perspective. Agriculture 2021, 11, 97. [Google Scholar] [CrossRef]
- Reddy, K.R.; Davidonis, G.H.; Johnson, A.S.; Vinyard, B.T. Temperature Regime and Carbon Dioxide Enrichment Alter Cotton Boll Development and Fiber Properties. Agronomy Journal 1999, 91, 851–858. [Google Scholar] [CrossRef]
- Bibi, A.; Oosterhuis, D.; Gonias, E. Molecular Biology and Physiology Photosynthesis, Quantum Yield of Photosystem Ii and Membrane Leakage as Affected by High Temperatures in Cotton Genotypes. J. Cotton Sci. 2008, 12. [Google Scholar]
- DeLaune, P.B.; Mubvumba, P.; Ale, S.; Kimura, E. Impact of No-till, Cover Crop, and Irrigation on Cotton Yield. Agricultural Water Management 2020, 232, 106038. [Google Scholar] [CrossRef]
- Ale, S.; Himanshu, S.K.; Mauget, S.A.; Hudson, D.; Goebel, T.S.; Liu, B.; Baumhardt, R.L.; Bordovsky, J.P.; Brauer, D.K.; Lascano, R.J.; et al. Simulated Dryland Cotton Yield Response to Selected Scenario Factors Associated With Soil Health. Front. Sustain. Food Syst. 2021, 4. [Google Scholar] [CrossRef]
- Broughton, K.J.; Bange, M.P.; Baker, J.T.; Yates, C.; Tan, D.K.Y.; Tissue, D.T.; Payton, P. Effects of Elevated CO2 and Warmer Temperature on Early Season Field-Grown Cotton in High-Input Systems. Crop Science 2021, 61, 657–671. [Google Scholar] [CrossRef]
- Wang, J.; Du, G.; Tian, J.; Jiang, C.; Zhang, Y.; Zhang, W. Mulched Drip Irrigation Increases Cotton Yield and Water Use Efficiency via Improving Fine Root Plasticity. Agricultural Water Management 2021, 255, 106992. [Google Scholar] [CrossRef]
- Anderson, T.-H.; Domsch, K.H. Ratios of Microbial Biomass Carbon to Total Organic Carbon in Arable Soils. Soil Biology and Biochemistry 1989, 21, 471–479. [Google Scholar] [CrossRef]






Disclaimer/Publisher’s Note: The statements, opinions and data contained in all publications are solely those of the individual author(s) and contributor(s) and not of MDPI and/or the editor(s). MDPI and/or the editor(s) disclaim responsibility for any injury to people or property resulting from any ideas, methods, instructions or products referred to in the content. |
© 2024 by the authors. Licensee MDPI, Basel, Switzerland. This article is an open access article distributed under the terms and conditions of the Creative Commons Attribution (CC BY) license (http://creativecommons.org/licenses/by/4.0/).
